- 易迪拓培训,专注于微波、射频、天线设计工程师的培养
一种超宽脉冲发生器的设计
摘要:超宽带UWB是一种利用纳秒级窄脉冲发送信息的技术。重点讨论了一种采用级联雪崩晶体管结构UWB极窄脉冲发生器,并对其电路及雪崩晶体管的工作原理进行了具体分析。实验获得的UWB输出脉冲宽度约为1.22ns,上升时间约为863ps。
关键词:UWB(Ultra Wideband) 超宽带 雪崩晶体管 脉冲发生器
目前,UWB技术已经成为国际无线通信技术研究的新热点,日益受到重视和关注。2002年2月14日,美国FCC(联邦通信委员会)首次批准了UWB产品的民用销售和使用。
UWB即超宽带,它是一种利用纳秒级极窄脉冲发送信息的技术,其信号相对带宽即信号带宽与中心频率之比大于25%。一个典型的中心频率为2GHz(即宽度为500ps)的UWB脉冲信号的时域波形及其频谱图分别如图1所示。

一般通信技术都是把信号从基带调制到载波上,而UWB则是通过对具有很陡上升和下降时间的冲激脉冲进行直接调制,从而具有GHz量级的带宽。UWB具有发射信号功率谱密度低(数十mW范围)、难以截获、抗多径、低成本、极好的穿透障碍物能力等优点,尤其适用于室内等密集多径场所的高速无线接入和通信、雷达、定位、汽车防撞、液面感应和高度测量应用。
UWB信息调制方式需结合UWB传播特性和脉冲产生方法综合考虑,通常可采用脉冲位置调制(Pulse Position Modulation)和正反极性调制(Antipodal Modulation),这里采用PPM调制。
从本质上看,UWB无线技术是发射和接收超短电磁能量脉冲的技术,它采用极窄脉冲直接激励天线。因此,极窄脉冲的产生就显得尤为重要。目前,UWB极窄脉冲的产生方法主通过雪崩三极管、隧道二极管或阶跃恢复二极管实现。其中隧道二极管和阶跃恢复二极管所产生的脉冲,上升时间可以达几十至几百皮秒,但其幅度较小,一般为毫伏级。采用了利用雪崩三极管的雪崩效应的方案,同时采用雪崩三极管级联结构来产生极窄脉冲,最后得到输出脉冲上升时间约为863ps,幅度约为1.2V。
1 雪崩效应理论
当NPN型晶体管的集电极电压很高时,收集结空间电荷区内电场强度比放大低压运用时大得多。进入收集结的载流子被强电场加速,从而获得很大能量,它们与晶格碰撞时产生了新的电子-空穴时,新产生的电子、空穴又分别被强电场加速而重复上述过程。于是流过收集结的电流便“雪崩”式迅速增长,这就是晶体管的雪崩倍增效应。

晶体管在雪崩区的运用具有如下主要特点:
(1)电流增益增大到正常运用时的M倍,其中M为雪崩倍增因子。
(2)由于雪崩运用时集电结加有很高的反向电压,集电结空间电荷区向基区一侧的扩展使有效基区宽度大为缩小,因而少数载流子通过基区的渡越时间大为缩短。换言之,晶体管的有效截止频率大为提高。
(3)在雪崩区内,与某一给定电压值对应的电流不是单值的。并且随电压增加可以出现电流减小的现象。也就是说,雪崩运用时晶体管集电极-发射极之间呈负阻特性。
(4)改变雪崩电容与负载电阻,所对应的输出幅度是不同的。换言之,输出脉冲与雪崩和负载电阻有关。
下面对雪崩管的动态过程进行分析。在雪崩管的动态过程中,工作点的移动相当复杂,现结合原理图形示电路(图4)进行分析(这里主要分析雪崩管Q1的工作过程,其余类同)。
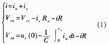
在电路中近似地将雪崩管静态负载电阻认为是Rc,当基极未触发时,基极处于反偏,雪崩管截止。根据电路可列出雪崩管过程的方程为:

式中:i为通过雪崩管的总电流,ic为通过静态负载Rc的电流,ia为雪崩电流,uc(0)为电容C初始电压,R为动态负载电阻,C为雪崩电容,tA为雪崩时间。Vce为雪崩管Q1集-射极电压,Vcc为电路直接偏置电压。
从(1)式可求解出雪崩过程动态负载线方程式为:

在具体的雪崩管电路中,Rc为几千欧(本实验中取为6.8kΩ),而R则为几十欧(本实验中取为51Ω),因此Rc>>R。雪崩时雪崩电流ia比静态电流ic大得多,即ia>>ic,所以i≈ia。于是(2)式可简化为:

因为0~tA这段雪崩时间很短,因此可以略去,即得
i=1/R[uc(0)-Vce] (4) 另外,电路还采用了雪崩管极联的设计,原理上可以看作是一个Marx发生器。这样可以增加所产生脉冲的幅度,同时还可以使脉冲的宽度变得更窄。首先,通可雪崩管的级联,使加在各级雪崩管集电极的电压递增(每级的增量约为Vcc)。而集电极电压的增大可以使雪崩管的导通内阻减小,从而缩短脉冲的上升时间tr。其次,基极注入电流Ib会随之增大,tr也将减小。另外,雪崩管的级联结构还可以相当于对各级的输出脉冲进行了乘积,这样也会使脉冲的上升时间tr得到进一步的减小。这里关键是解决雪崩管触发的同时性问题,由于脉冲很宽,这一眯就尤为突出。如果雪崩管不能很好地同时触发,反而会增加输出脉冲的宽度。为了获得同时触发,就必须要尽量选用触发参数相同的雪崩管。如果有的雪崩管触发参数不同,则需要调整电路中的元件参数,使其同时触发。实验中A、B、C各点输出脉冲的宽度分别为:2.43ns、1.76ns、1.22ns;上升时间分别为1.2ns、1.12ns、863ps。与理论分析所得结论相符。 从图5中可以看到输出脉冲的幅度约为1.2V,宽度约为1.22ns(半宽度),上升时间约为863ps。采用的雪崩三极管为3DB2B型(tr≤2ns)。触发脉冲的周期为1μs,占空比为50%。该波形是用Agilent公司的Infiniium 60MHz示波器测得的。
式(3)和式(4)表明雪崩状态下,动态负载线是可变的。
雪崩管在雪崩区形成负阻特性,负阻区处于Bvceo与Bvcbo之间,当电流再继续加大时,则会出现二次击穿现象,如图2所示。
图2中,电阻负载线I贯穿了两个负阻区。若加以适当的推动,工作点a会通过负阻区交点b到达c,由于雪崩管的推动能力相当强,c点通常不能被封锁,因而通过第二负阻区交点d而推向e点。工作点从a到e一共经过两个负阻区,即电压或电流信号经过两次正反馈的加速。因此,所获得的信号其电压或电流的幅度上当大,其速度也相当快。
当负载很陡时,如图2中负载线II所示,它没有与二次击穿曲线相交而直接推而饱和区,这时就不会获得二次负阻区的加速。
本文介绍的超宽带UWB极窄脉冲发生器即是利用雪崩管的二次负阻区加速作用,来达到产生极窄脉冲的目的。
2 UWB脉冲产生电路及分析

2.1 电路原理图
UWB发射机系统的简化框图如图3所示,系统的信息调制采用PPM调制。本文主要讨论UWB脉冲产生电路的设计,电路原理图如图4所示。
2.2 电路分析
当触发脉冲尚未到达时,雪崩管截止,电容C2、C4在Vcc的作用下分别通过电阻R1、R和R2、R3充电。电容C通过Rc充电(充电后其电压近似等于电源电压Vcc)。当一个足够大的触发脉冲到来后,使晶体管工作点运动到不稳定的雪崩负阻区,Q1雪骨击穿,产生快速增大的雪崩电流,导致电容C经由晶体管Q1快速放电,从而在负载电阻R上形成一个窄脉冲。由于雪崩电流很大,因此获得的窄脉冲有较高的峰值;又由于电容C储存的电荷很有限(一般电容量只有几皮法至几百皮法),因此脉冲宽度也有限。也就是说,当开始雪崩以后,由于晶体管本身以及电路分布参数的影响,使得雪崩电流即电容C的放电电流只能逐渐增大;而到达某一峰值后,又出于电容C上电荷的减少使得放电电流逐渐减小。前者形成了脉冲的前沿,而后者形成了脉冲的后沿。
Q1雪崩击穿后,电容C放电注入负载R。这人电压经过电容C2,导致Q2过压并且雪崩击穿。同理Q3也依次快速雪崩击穿。由于雪崩过程极为迅速,因此这种依次雪崩的过程还是相当快的,从宏观上可以把它看作是同时触发的。因此,在负载上就可以得到一个上升时间非常短的UWB极窄脉冲。
2.3 元件参数选择
雪崩晶体管电路中应选择的电路参数主要为雪崩晶体管Vcc、C、Rc及加速电容等。
①雪崩晶体管:雪崩晶体管的选择依据主要是雪崩管的输出振幅及边沿应满足要求。
②偏置电压Vcc:必须适当选择偏置电压Vcc,使雪崩晶体管能够发生雪崩效应,同时还应当满足Vcc≤Bvcbo。
③雪崩电压:雪崩电容C不应选择太大,C太大,输出脉冲宽度加宽,电路恢复期太长;但也不能太小,C太小,输出脉冲振幅减小,而且影响电容分布。通常取为几皮法到几十皮法。一般应选用瓷片电容或云母电容。
在一定范围内,电容C值越小,脉冲宽度也越小,但幅度也会变得越小。这个结果由仿真和实验均得到验证如表1所示。
表1 实验结果
| 电容C(pF) | 10 | 5.6 | 3 |
| 输出脉冲电压振幅Um(V) | 6.8 | 3.6 | 1.2 |
| A点处输出脉冲宽度(ns) | 4.1 | 3.4 | 2.43 |
当电容C值小于3皮法时,由于其他寄存参数的影响,宽度的减小已不明显。
④集电极电阻Rc:集电极电阻Rc应保证雪崩电路能够在静止期内恢复完毕,即(3~5)(Rc+RL)C≤Ts,式中Ts为触发脉冲重复周期。
通常Rc选为几千欧姆到几十千欧姆。若取Rc=5kΩ、C=50pF,则Ts≈1μs,触发脉冲重复频率应小于100kHz。Rc不能选得太小,否则雪崩晶体管可能长时间处于导通状态,导致温度过度而烧坏。
⑤加速电容:电路中C3、C5为加速电容,它们的主要作用是帮助加速基带脉冲,减少脉冲的延迟时间和上升时间。
2.4 实验结果
实验中采用两级级联结构,最后得到输出脉冲波形,如图5所示。

笔者采用雪崩管级联的方法,成功地完成了一种超宽带(UWB)脉冲产生电路的设计,最后得到的输出脉其宽度和上升时间均较好地符合了要求。今后的工作将致力于提高输出脉冲的幅度,进一步减小脉冲的宽度和上升时间。
上一篇:诚信指数检定系统开发
下一篇:频率特性测试仪的设计


