- 易迪拓培训,专注于微波、射频、天线设计工程师的培养
运算放大器电路固有噪声的分析与测量
录入:edatop.com 点击:
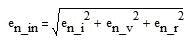
第三部分:电阻噪声与计算示例 在第二部分中,我们给出了将产品说明书上噪声频谱密度曲线转换为运算放大器噪声源模型的方法。在本部分中,我们将了解如何用该模型计算简单运算放大器电路的总输出噪声。总噪声参考输入 (RTI) 包含运算放大器电压源的噪声、运算放大器电流源的噪声以及电阻噪声等。上述噪声源相加,再乘以运算放大器的噪声增益,即可得出输出噪声。图 3.1 显示了不同噪声源及各噪声源相加再乘以噪声增益后的情况。

图 3.1:噪声源相结合
噪声增益是指运算放大器电路对总噪声参考输入 (RTI) 的增益。在某些情况下,这与信号增益并不相同。图 3.2 给出的实例显示了信号增益(1)与噪声增益(2)不同的情况。Vn 信号源是指不同噪声源的噪声影响。请注意,通常在工程设计中,我们会在非反向输入端将所有噪声源结合为单个的噪声源。我们的最终目标是计算出运算放大器电路的噪声参考输出 (RTO)。

图 3.2:噪声增益与信号增益

方程式 3.1:简单运算放大器电路的噪声增益
在上一篇文章中,我们了解到如何计算电压噪声输入,不过我们如何将电流噪声源转换为电压噪声源呢?一种办法就是对每个电流源进行独立的节点分析,并用叠加法将结果求和。这时我们要注意,要用和的平方根 (RSS) 对每个电流源的结果进行求和。通过方程式 3.2 和 3.3,我们可将简单运算放大器电路的电流噪声转换为等效电压噪声源。图 3.3 给出了有关图示。附录 3.1 给出了该电路的整个演算过程。
方程式 3.2与3.3:将简单运算放大器的电流噪声转换为电压噪声 (RTI)

图 3.3:将电流噪声转换为电压噪声(等效电路)
我们还必须考虑的另一因素是运算放大器电路中电阻器的热电压噪声。我们可用节点分析法来独立分析电压源。我们可用叠加法与 RSS 添加法将结果相结合。通过方程式 3.4 与 3.5,我们可将所有热噪声源相结合,从而得到单个的噪声源参考输入。该噪声输入参考热噪声源表现为等效电阻。图 3.4 给出了相关示图。附录 3.2 给出了该电路的整个演算过程。

方程式 3.4与3.5:简单运算放大器电路的热噪声 RTI

图 3.4:简单运算放大器电路的热噪声 RTI(等效电路)
计算噪声的最后一步就是将所有噪声源相结合,再乘以噪声增益,从而计算出输出噪声。该均方根噪声乘以 6 通常用于估算峰值对峰值噪声。我们记得,在第一部分中,瞬时噪声测量结果小于均方根噪声乘以 6 的概率达 99.7%。根据方程式 3.6、3.7 及 3.8,即可计算出输出噪声。
方程式 3.6:所有噪声源 RTI 相加
方程式 3.7:乘以噪声增益
方程式 3.8:转换为峰值对峰值噪声
计算实例
现在,我们终于可以讨论实际情况了。有时,许多工程师因为难以完成所需的大量计算工作而不能得出最终结果。实际上,我们可用模拟软件来执行部分繁琐的计算工作。不过,了解理论背景非常重要,因为这将帮助我们更好地了解噪声的原理。此外,我们还应在模拟电路前对数字进行简短分析,这样才能知道模拟结果是否准确。在第四部分中,我们将探讨如何用 SPICE 仿真器套件来进行相关分析。
图 3.5 显示了用于本例分析的简单运算放大器的配置情况。请注意,本例所用的参数源于 OPA627 产品说明书,您可从 TI 网站下载该产品说明书 (www.ti.com)。

图 3.5:电路实例
分析要做的第一步就是测定电路的噪声增益与噪声带宽。运用方程式 3.2,可计算出噪声增益即:噪声增益 = Rf/R1 + 1 = 100k/1k + 1 = 101。信号带宽受到运算放大器的闭环带宽的影像。根据产品说明书中的单位增益带宽,我们可用方程式 3.9 来确定闭环带宽。图 3.6 显示了有关情况。

方程式 3.9:简单非反向放大器的闭环带宽

图 3.6:简单非反向放大器的闭环带宽
分析的下一步就是根据产品说明书获得宽带与 1/f 噪声频谱密度参数。有时我们给出相关参数的图示(见图 3.7),有时给出列表进行总结(见图 3.8)。频谱密度值与闭环带宽可用于计算总输入电压噪声。例 3.1 演示了总输入噪声计算过程。

图 3.7:OPA627 噪声频谱密度参数

图 3.8:OPA627 噪声频谱密度参数(表格)
例 3.1:计算电压噪声参考输入的幅度
下面,我们需要将电流噪声转换为等效输入参考电压噪声。首先,我们要将电流噪声频谱密度转换为电流源,然后将电流源乘以等效输入电阻,即可得出输入电压噪声。请注意,本例中无须进行 1/f 计算,因为放大器是 J-FET 输入。J-FET 放大器通常不含有 1/f 电流噪声。例 3.2 演示了整个计算过程。请注意,本计算示例中所采用的方程式均列在附录 3.1 中。该附录显示了电流噪声包含1/f 区域的情况。
例 3.2:将电流噪声频谱密度转换为等效输入噪声电压

例 3.3 列出了输入参考电阻噪声的整个计算过程。请注意,本例中,电阻噪声的幅度与运算放大器噪声幅度相类似,因此将对输出噪声造成很大影响。

例 3.3:将电阻噪声转换为等效输入噪声电压

既然我们已计算出了所有噪声大小,那么接下来我们就可确定总噪声参考输入 (RTI) 。将所得的结果乘以噪声增益,即可计算出噪声参考输出。最后,我们将根据表 1.1 给出的转换系数来估算峰值对峰值的输出噪声(详情见例 3.4)。
例 3.4:计算总峰值对峰值输出噪声

本文总结与下文内容简介
在噪声系列文章中,本部分全面介绍了简单运算放大器电路噪声的演算过程。采用上述方法并根据产品说明书中的参数,便可估算出峰值对峰值的输出噪声。对示例中电路的配置情况而言,我们估算出的峰值对峰值输出噪声为 1.94mVpp。我们在随后几篇文章中还将参考上述示例,并测定本文通过测量与 SPICE 分析所得的输出噪声估算值确实是准确的。
尽管我们在此仅给出了简单电路配置情况下的计算方法,但该方法同样也适用于更复杂的电路。在以后的文章中,我们还将介绍如何用电路模拟软件包 (TINA SPICE)来进行噪声分析。不过,我们应注意到,在进行电路模拟之前必须先用手算分析方法进行计算,这样才能确保进行适当模拟。
致谢!
特别感谢以下 TI人员提供的技术意见:
Rod Bert,高级模拟 IC 设计经理
Bruce Trump,线性产品经理
Tim Green,应用工程设计经理
Neil Albaugh,高级应用工程师
参考书目
Robert V. Hogg 与 Elliot A Tanis 共同编著的《概率与统计推断》,第三版,麦克米兰出版公司 (Macmillan Publishing Co.) 出版;
C. D. Motchenbacher 与 J. A. Connelly 共同编著的《低噪声电子系统设计》,Wiley-Interscience Publication 出版。
关于作者:
Arthur Kay是 TI 的高级应用工程师。他专门负责传感器信号调节器件的支持工作。他于 1993 年毕业于佐治亚理工学院 (Georgia Institute of Technology),并获得电子工程硕士学位。他曾在 Burr-Brown 与 Northrop Grumman 公司担任过半导测试工程师。Art 的联系方式如下:kay_art@ti.com。
附录 3.1:电流噪声转换为电压噪声的演算过程;

附录 3.2:简单运算放大器电阻噪声转换为电压噪声的演算过程;

附录 3.2:电阻噪声转换为电压噪声的演算过程(续);

附录 3.2:电阻噪声转换为电压噪声的演算过程(续);

附录 3.3:简单运算放大器电路的电压噪声计算方程式;

附录3.4:简单运算放大器电路的电流噪声计算方程式;

附录 3.5:简单运算放大器电路的电阻与总噪声计算方程式。

上一篇:应用灵活的解决方案进行毫米波测量
下一篇:集成电路的电磁兼容测试


