- 易迪拓培训,专注于微波、射频、天线设计工程师的培养
浅谈变频器的电气试验与测试仪表(二)
1、 测量仪器仪表简介
目前常见的测量仪表很多,这里仅介绍几种常见的仪表。
1) 动铁式仪表
这种仪表测量的是有效值,它的值由固定线圈磁场与其内可动铁之间相互作用的电磁力所确定的偏转角度而确定。读数误差由动铁的磁饱和以及谐波对线圈内电感的影响引起。仪表精度一般是0.5级。
2) 整流式仪表
交流电流经整流然后作用于动圈式直流表,按交流电流的有效值确定刻度。其有效值是由整流平均值乘以波形系数求出的。市场上可买到的该种仪表基本是用于测量正弦电流的。而正弦电流的波形系数是π/(2 )=1.11。因此在测量非正弦电流的波形时.应该注意波形系数。典型的仪表精度是1.0级。
3) 热电式仪表
温升与测量电流产生的热量成正比,这个温升被热电偶转换为直流电动力,其电流有效值由直流毫伏表指示。
4) 电动式仪表
电流指示值具有均匀的刻度,其指针偏转角度等于两个线圈间的力,也就是它的驱动转矩(Im×IF×dT/dθ)电流IF是与负载串联的固定线圈内的电流;电流Im正比于动圈中的电压)。典型精度为0.5级。
5) 谐波分析仪
输入信号经高速A/D采样,经过数字运算,将数据存储于缓冲存储器内,结果显示在屏幕上。可测量电压、电流、有功功率、无功功率、功率因数等,以及进行谐波分析,测量显示电压、电流、功率等的基波值和各次谐波值,并显示其曲线。
目前最常用的变频器主电路一般为交—直—交组成,外部输入工频电源,经三相桥路不可控整流成直流电压信号,经滤波电容滤波及大功率晶体管开关元件逆变为频率可变的交流信号。在整流回路中接有大电容,输入电流的波形为不规则的矩形波,波形可进行DFT变换分解为基波和各次谐波。在逆变输出回路中, 输出电压信号是受PWM 载波信号调制的脉冲波形,输出回路电压信号也可分解为只含正弦波的基波和其它各次谐波。其他类型的变频器也类似,输入、输出都不是标准的正弦波,有较多的高次谐波含量。因此,在测量仪器的选择上,与传统的测量就有所不同。
一些传统的仪表一般不适合变频器的测量。目前特别适于变频器测量的仪器是谐波分析仪,主要型号有日本横河(YOKOGAWA)的WT系列谐波分析仪,如WT1600、WT3000等产品。这类产品,不仅可以测量出基本的电参数,并且针对变频器做了一些特殊设计,比如测量模块比较多,可以同时测量输入、输出参数,进行谐波分析,测量真功率因数,而且带宽比较宽,可以从DC到1MHz,精度也很高,一般可以达到0.15级或0.02级。显示也很方便,可以显示数值、波形、谐波柱状图、三相矢量图等。同时,也可以测量变频器驱动的电机的机械输出,如电机转速、扭矩等,这样可以更方便的测量变频器的驱动能力及驱动效果。可以说,一台WT系列的谐波分析仪可以替代一堆传统仪表,提高了测量的准确度、方便性,从而大大提高测试的效率。
2、 变频器测试
对变频器进行测试的电路如图5-1所示。

图5-1测试电路图
此测试电路是一个完整的变频器测试方案,包括三相电源输入、三相输出、驱动的电机的机械输出(转速、扭矩)等。如果被测的变频器功率较大,输入、输出电流超过了仪器的量程,就需要在电流的测量回路里接入CT(电流互感器),把被测电流转变成仪器的测量量程内。
测试电路里的谐波分析仪是横河公司的WT1600(如图5-2)。该仪器有6个模块,可以同时输入6个电压、6个电流,同时有电机测试模块,可以测量电机的转速、扭矩等。一台WT1600不仅可以测量变频器的输入、输出电压、电流、功率、效率等参数,还可以测量电机的扭矩、转速、滑差、机械输出功率、电机效率等,以及变频器系统的总效率。

图5-2 WT1600谐波分析仪背面图
1) 输入侧的测量
变频器输入电源是50Hz交流电源,其测量基本与标准的交流工业电源的测量相同,但是由于变频器的输入侧是整流电路,电流的波形一般不是标准的正弦波。典型的输入波形如图5-3。如果输入电压或电流较大,超过了谐波分析仪的测量量程,可以接入VT或CT。但要注意,由于电流不是正弦波,含有较多的谐波含量,因此,CT选择时要考虑频率范围。

图5-3输入电压、电流波形
输入功率的测量可以采用2表法(3P3W),即测量两个电压线电压Vab、Vcb和2个电流Ia、Ic,从而计算出输入有功功率、功率因数等数据。但是,由于输入端生产设计引起不平衡的,特别是小容量的变频器,其中的一相里往往有变频器本身的消耗,造成三相电流不平衡。这样要测量三个线电压、三相电流,即3V3A法才能够保证测量结果的准确性。
传统的有功功率的计算公式为:
P= Urms × Irms × cosφ (5-1)
式中:
- P:有功功率
- Urms:电压有效值
- Irms:电流有效值
- φ:电压电流夹角
但是,变频器的输入电流包括高次谐波,很难测量出相位角,按传统公式计算会产生较大误差。
横河(YOKOGAWA)的WT系列的谐波分析仪,使用数字采样方法。该法对指定的有效采样周期内获取的瞬时波形数据的总和进行平均。总和由样本数N平均,得出一个功率值(如图5-4)。

图5-4 电压、电流、功率采样结果
计算公式为:
(5-2)
式中:
u(t):时刻“t”的电压瞬时值
i(t):时刻“t”的电流瞬时值
Δt:采样时间间隔
N :总采样样本数
相应的,标准正弦波的功率因数PF=cosφ。对于变频器来说,PF=P/S。
对于三相系统来说,功率因数的计算公式为:
(5-3)
式中:
ΣPF:三相功率因数
ΣP:三相有功功率
ΣS:三相视在功率
但是,对于不同的测量方式,ΣΡ和ΣS的计算公式是不一样的。对于不平衡电路来说,我们一般采用3V3A法测量,因此计算公式如下:
(5-4)
式中:
ΣPF:三相功率因数
P1:第一路有功功率
P2:第二路有功功率
S1:第一路视在功率
S2:第二路视在功率
S3:第三路视在功率
采用谐波分析仪对各次谐波进行分析,然后对系统进行综合分析判断。
电压总的畸变率Uthd:
(5-5)
式中:
U(1):基波电压
U(k):k次谐波电压
Max:最大谐波次数
电流的总畸变率Ithd:
(5-6)
式中:
I(1):基波电流
I(k):k次谐波电流
Max:最大谐波次数
作为对低压配电线的高次谐波的管理指导值,电压的总畸变率应在5%以下。所以当Uthd为5%以上时,请接入交流电抗器或直流电抗器,以抑制高次谐波电流。
2) 输出侧的测量
变频器的输出波形见图5-5,是频率可变的信号,含有较多的高次谐波,而电动机转矩主要依赖于基波电压有效值。因此,需要测量的电压值,或者说一般变频器的额定电压值是基波有效值。对PWM类型的变频器来说,PWM电压的整流平均值正比于其输出电压基波有效值。日本电机学会(JEMA)规定:使用平均整流方法来计算有效值,因为该值更合适地反映了驱动电机的输出转矩。

图5-5 变频器输出波形
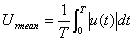
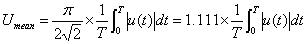
平均整流值的计算公式为:
(5-7)
校正后的平均整流值值的计算公式为:
(5-8)
校正后的值指的是当测量对象是正弦波时,校正值等于有效值。横河公司的WT1600等WT系列谐波分析仪,可以同时测量有效值、整流平均值等数值,用户可以根据需要进行方便的选择。
输出电流、输出功率、功率因数等的测量方法,与上面说的输入侧基本相同,就不再赘述了。
变频器的效率为:
(5-9)
式中:
η:变频器效率
ΣPout:变频器输出有功功率
ΣPin:变频器输入有功功率
WT1600还可以测量电机的机械输出,可测量电机的速度和扭矩传感器的输出,然后计算扭矩、旋转速度、机械功率、同步速度、滑差等,实现在一台仪器上测量电机效率与总效率。
六、结束语
随着变频技术的发展,对测量也提出了更高的要求。而测量仪表厂家,也根据变频器的发展和需求而进行进一步的仪器开发,不断推出新产品,以满足测试的新需求。比如目前变频技术的日益复杂化,一些非标准的正弦调制的PWM波形出现,经常发生输出电压的整流平均值与基波有效值不相等的情况,针对这种情况,横河公司推出WT系列的最新型号WT3000,在不改变测量模式的情况下,改进了设计,使其可以同时测量常规项目如整流有效值以及谐波如基波有效值等,从而使用户可以自己进行数据对比。
总之,产品与测量手段是相辅相成、互相促进的,二者都会随着技术的发展而推陈出新。
参考文献
1. 赵相宾 郭保良 《低压变频器的参数额定值和试验要求》
2. 张燕宾 《SPWM变频调速应用技术》中国电力出版社 2001


