- 易迪拓培训,专注于微波、射频、天线设计工程师的培养
理解RF性能测量中的纹波:理论与实验
在射频(RF)和微波频率下进行器件表征时会出现纹波。RF工程师需要确保测量装置经过正确校准和匹配,以避免纹波带来的测量误差。装置中不匹配和错误的互连、线缆、连接器、SMA启动等都会引起纹波,从而导致增益、输出功率、OIP3、回波损耗和OIP2等器件性能参数测量时出现误差。线缆、评估板线路和封装中阻抗错配会引起多个电磁场反射,导致纹波的形成。因此,进行RF器件表征时,需注意使用正确的测量装置,以最小化这类误差的出现。本报告将为读者详细介绍这些纹波形成背后的理论分析。另外,我们还会讨论一些基本模拟支持的实验室测量。
有时,在RF器件参数表征(例如:增益、线性和回波损耗等)时会出现纹波。出现这些纹波的原因是线缆、连接器、评估板线路、受测器件(DUT)和封装内传输信号的多次反射。这些纹波由这些互连结点的阻抗错配所引起。

图1.(a)基本传输线(b)同轴传输线(c)微波传输带传输线(d)第一错配层边界,和(e)电介质块等价物。
图1a显示了电源VS、电源阻抗ZS、传输线特性阻抗ZO和负载阻抗ZL的基本传输线。为保证输入入射波能完整传输,传输线应匹配电源和负载,例如:ZS=ZO=ZL=50欧姆。如果该传输线(比如:图1b所示同轴线或者图2b所示微波传输带线)的特性阻抗不等于50欧姆,则错配层便会有反射。错配层可以被看作是具有不同电介质属性的两种介质的边界。特性阻抗不等于50欧姆的传输线部分可以表示为绝对介电系数ε2介质,而50欧姆电源和负载可以表示为绝对介电系数ε1介质(图1d和1e)。
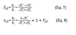
通过仔细研究阻抗错配层的电磁波相互作用情况,我们可以更深入地理解阻抗错配产生的反射。在这些层的电磁波的相互作用导致介质边界出现波反射和传输,其分别被量化表示为反射系数Γ和传输系数τ。反射系数是反射Er和入射Ei电场强度的比率。传输系数是传输Et和入射Ei电场强度的比率:

这些系数直接与增益、输出功率、线性和回波损耗有关。要想理解阻抗错配引起的纹波,我们首先必须理解反射和传输系数,以及在阻抗错配边界电磁场的相互作用。这些系数所反映的内容最终都将出现在性能参数测量中。
理论分析
反射和传输系数与穿过边界的材料或者介质的结构性参数(介电常数、透磁率和传导性)、波传播方向(入射角)以及电场及磁场的方向(波极化)有关。电磁波以横向电磁波模式(TEM)传播,这种模式的特点是:传输线路中没有纵向磁场,线路由两个或者更多导体(同轴线或者微波传输带线)组成。在传播方向上没有电场分量E和磁场分量H的波传播,应出现在图1d所示两个介质的边界处,并且入射角为θi(倾斜入射角)。
斜入射角波。通过电磁波平行║或者垂直┴极化的情况,可获得斜入射角的反射和传输系数。大多数线缆和传输线介质材料相对磁导率μr一样。μr=1时平行极化反射系数Γ║、平行极化传输系数τ║、垂直极化反射系数Γ┴和垂直极化传输系数τ┴的菲涅耳(Fresnel)方程式,请分别见方程式3-6。参考[1]有这些方程式的详细解释。下标“i”、“r”和“t”分别代表入射、反射和传输场。

正常入射波
两个导体传输线内的波传播通过正常入射角为θi=0°的这段传输线。当θi变为0时,菲涅耳场反射和传输系数变得与极化无关。方程式3和5的反射系数以及方程式4和6的传输系数所得到的结果与方程式7和8一样。下标“12”表示波从介质1入射,然后传输至图1d的介质2中。

多次反射时的反射与传输系数
我们将在本小节中计算图1e所示电介质模块多次反射时的反射和传输系数。图2显示了该电介质模块内正常入射平面波多次相互作用。
电介质模块入射的正常平行或者垂直极化平面波可被看作:

其中,w为角频率,d为电介质模块内波传输的距离,而γ为电介质模块的传播常数,其如方程式10所示。传播常数的实数部分为衰减常量α(Np/m),而虚数部分为波长常数β(rad/m)。方程式10中εr和μr为电介质模块(即波传播介质)的相对介电常数和透磁率。

图2.电介质模块内的多次反射。
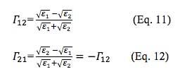
由于方程式7,介质1到介质2以及介质2到介质1的入射波反射系数如方程式11和12所示。

由方程式8,介质1到介质2以及介质2到介质1的入射波传输系数如方程式13和14所示。

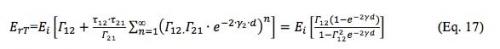
图4显示了总反射电场ErT,其等于单个反射电场(Er1、Er2、Er3…)之和。

其中,每个分量为:

因此,总反射场为:

多次反射的电介质模块的总反射系数ΓT为:

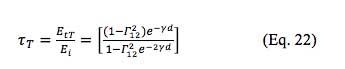
同样,图2所示总传输电场EtT等于单个传输电场(Et1、Et2、Et3…)之和。

因此,多次反射的电介质模块的总传输系数τT为:

无多次反射时,反射与传输系数见图3。

图3.电介质模块内无反射配置。
请思考图3所示电介质模块中无多次反射的假设情况。由方程式7和8,我们可以轻松地写出无多次反射的反射和传输系数,其如方程式23和24所示。下标“nr”代表“无反射”。在一些应用中,会使用一种时域选通(Time Gating)技术来去除多次反射。参考文献[2]说明了选通分析。
理论举例
图4显示的曲线图为:方程式18—多次反射的反射系数,方程式22—多次反射的传输系数,方程式23—无多次反射的反射系数,方程式24—无多次反射的传输系数。为了便于说明,规定电介质模块的相对介电常数为“10”,长度为10cm,并且介质1的相对介电常数为“1”。图4表明,反射和传输系数仅在“多次反射”情况下才呈现纹波,其为多次反射的结果。但是,“无反射”响应并没有显示出任何纹波。通过图5所示时域响应和传输系数时域响应,我们可以看到更好的多次反射。在“无多次反射”情况下,我们只能看到一个大峰值(原因是Et1)。然而,在具有大峰值的“多次反射”情况下,出现两个相对更高水平的峰值(原因是Et2和Et3),表明电介质模块内存在多次反射。

图4.电介质模块内有/无多次反射时的反射和传输系数的频域。

图5.电介质模块内有/无多次反射时的反射和传输系数的时域。
模块观测
图6a显示了50欧姆微波带传输线,图6b显示了30欧姆分流电阻器,我们有意将其放置于传输线的输入和输出端,目的是在输入和输出端形成错配。图7中,红色线条表示50欧姆传输线的传输系数,并且其为0(入射波功率全部供给负载)。不存在纹波,就意味着没有反射。图7中蓝色线条为图6b所示原理图的传输系数,其约为-12dB(表明由于错配,大部分功率被反射)。另外,由于传输线内的多次反射,纹波随之出现。

图6.ADS原理图:(a)50欧姆微波带传输线,(b)30欧姆分流电阻器输入和输出端出现的错配。

图7.有/无多次反射时的模拟传输系数。
实验验证
图8为前面小节中模拟传输线的评估电路板照片。我们将30欧姆电阻器放置于评估电路板(EVM)输入和输出SMA连接器结点处,其以黄色圈出。图9显示了重叠于蓝色模拟线上的红色传输线的测量得传输系数。该测量数据还显示了传输线输入和输出处30欧姆电阻器错配引起反射带来的纹波响应。
RF器件表征有时会出现纹波,主要表现在性能参数(例如:增益、线性、回波损耗等)测量过程中。这些参数直接与反射和传输系数相关。本文中,我们讨论了由模拟和实验室测量提供支持的理论分析,以说明反射和传输系数中纹波的形成过程。并且阻抗错配会引起电磁波多次反射,继而导致纹波的产生。

图8.50欧姆传输线评估电路板。

图9.测量和模拟传输系数。
上一篇:克服多标准无线电基站发射机测试的挑战
下一篇:频率步进雷达系统的仿真与测试


