- 易迪拓培训,专注于微波、射频、天线设计工程师的培养
元器件检测的测量不确定度评定方法与实例
介绍了元器件检测实验室对测量不确定度评定的要求,测量不确定度评定的一般步骤和方法。对元器件检测中的测量不确定度评定的若干问题进行了分析,用一个实例说明了如何在元器件检测中实施测量不确定度评定。
0引言
测量不确定度是与测量结果相联系的参数,表征合理地赋予被测量之值的分散性。是综合考虑包括测量误差等各种影响因素后,对测量结果不能肯定的程度的评定。
对于检测实验室,开展测量不确定度的评定工作是提高检测结果质量、衡量测试过程中各种因素带来的影响的重要手段,也是适应检测实验室发展趋势所必须具备的能力,本文介绍了测量不确定度的评定方法,分析了在元器件检测中不确定度的来源以及据此进行的不确定度评定的实例。
1元器件检测
实验室对测量不确定度评定的要求对于需要通过认可机构认可的实验室,认可依据都使用ISO/IEC17025:2005《检测和校准实验室能力通用要求》或以此为基础的准则。其中规定了检测性质的实验室:“5.4.6.2检测实验室应具有并应用测量不确定度的程序。在某种情况下,检测方法的性质会妨碍对测量不确定度进行严密的计量学和统计学上的有效计算。在这种情况下,实验室至少应努力找出不确定度的所有分量且做出合理判定,并确保结果的报告方式不会对不确定度造成错觉。合理的评定应依据对方法特性的理解和测量范围,并利用诸如过去的经验和确认的数据。”可以看出,由于检测的类型的不同,很多情况下准确的不确定度评定是比较困难的,实验室应基于已有的包括经验在内的各种信息来源尽可能给出不确定度,以使该检测结果在使用中的风险可以控制。所以以CNAS(中国合格评定认可委员会)的规则CNAS-CL07:2011《测量不确定度要求》中的规定为例:“8.2检测实验室应有能力对每一项有数值要求的测量结果进行测量不确定度评定。当不确定度与检测结果的有效性或应用有关、或在用户有要求时、或当不确定度影响到规范限度的符合性时、当测试方法中有规定时和CNAS有要求时(如认可准则在特殊领域的应用说明中有规定),检测报告必须提供测量结果的不确定度。”对于检测实验室,不同于校准实验室必须提供不确定度的规定,只要求具备不确定度评定的能力,允许在特定需要时对结果进行不确定度评定。
对于元器件检测实验室,由于检测的目的是对被测件做定性的结论,面对的客户一般没有不确定度的要求,所以不确定度大多只是有原则性的方法,评定的实例比较少,但即使只判断器件是否符合参数上下限,不确定度的评定对于提高检测结果质量,以及用于评价新的测试方法给出结果时的风险,仍然是非常有价值、值得积极实践的。
例如:如某元器件在检测接收时,一项参数的合格范围为[x,z],如果己知测量的不确定度U,则选择收紧的接收范围为[x+U,z-U],显然会降低接收的风险,而该措施是有IEC政策支撑的。实际工作中常遇到的测试结果卡限的问题也有了合理的解决。
2测量不确定度评定方法
测量不确定度的评定方法主要依据是JJF1059~1999《测量不确定度评定与表示》。认可机构发布的要求和指南也都指向和引用该标准。评定测量不确定度的步骤主要有:
2.1识别不确定度来源
测量不确定度的分量可能来源于:对被测量的定义不完善,实现被测量定义的方法不理想,取样的代表性不够,对测量受环境影响的认识不周全或对环境条件的测量和控制不完善,对模拟仪器的读数存在认为的偏差,测量仪器的分辨力或鉴别力不够,赋予计量标准的值或标准物质的值不准,引用于数据计算的常量和其它参量不准,测量方法和测量程序的相似性和假定性,在表面看来完全相同的条件下,被测量重复观测值的变化。
2.2建立数学模型
(1)确定被测量Y与输入量X1…Xn的函数关系。
(2)输入量X1…Xn包括估计值(测得读数),外部引入的值(如计量获得的修正因子及证书提供的不确定度)。
(3)因难以量化不能明显呈现在函数关系中的分量,在该函数中忽略作为不确定度处理。根据测量的具体特点,一些输入值可以是修正因子(最佳值为0)或修正系数(最佳值为1)。
2.3标准不确定度分量的评估和计算
(1)A类不确定度分量的评估一对观测列进行统计分析所做的评估。(A类和B类的分类是在指出评定方法的不同,A类标准不确定度的分量是由一系列重复观测计算得到的,B类则是根据有关信息来评定的,即通过一个假定的概率密度函数得到的)
1)对输入量Xi进行n次独立的等精度的测量,得到的测量结果为X1,X2…Xn为其平均值,即:

2)A类测量不确定度的评估一般是采取对用于日常开展检测和校准的测试系统和具有代表性的样品预先评估的。
3)进行A类不确定度评估时,充分测量次数应足够多,一般测量次数不少于6次。
(2)B类不确定度分量的评估一当输入量的估计量Xi不是由重复观测得到时,其标准偏差可用对Xi有关信息或资料来评估。信息来源可来自:校准证书、生产厂说明书、检测依据的标准、引用手册的参考数据、以前测量的数据、相关的材料特性等。
1)若资料给出了Xi的扩展不确定度u(Xi)和包含因子K,则Xi的标准不确定度为

其中K为包含因子,在不能确定Xi的分布形式时,根据标准的规定,K选择2,相当于约95%的包含概率,一般给出扩展不确定度时,同时也会给出包含因子。若给出的扩展不确定度为up(Xi)时(p为包含概率),则其Kp与Xi的分布相关,按照正态分布考虑时,如p=0.95,可查表得到Kp=1.960.
2)若资料给出Xi可能值分布区间半宽度为a(通常为允许误差限的绝对值):

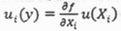
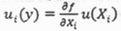
(3)输入量的标准不确定度u(Xi)引起的y的标准不确定度分量ui(y)为:

其中为灵敏系数,等于输入量Xi变化单位量时引起y的变化量,可以由数学模型得到,也可以由实测得到。反映了该输入量的标准不确定度对输出量的不确定度的贡献灵敏程度。
(4)合成标准不确定度uc(y)的计算

实际工作中,若各输入量之间互不相关,或有部分输入量相关,但其相关系数较小(弱相关),即r(Xi,Xj)=0,可化简为:

此时,计算合成不确定度采用的是方和根法,即将各标准不确定度分量平方后求和再开根。
(5)扩展不确定度u的计算1)通常提供的不确定度是特定包含概率下的扩展不确定度,这时需要估计不确定度分量的分布形式,在不确定度较多、其大小比较接近,而无法确定其分布形式时,按照标准的规定取K=2,近似的正态分布其包含概率约为95%,即U=Kuc(y)=2uc(y)。
2)如果可以确定合成不确定度包含的分量中较多分量或占支配地位的分量的概率分布形式,则需要按照其分布形式来确定K值。
3元器件测试中测量不确定度评定实例3.1测试过程信息(1)测试设备为数字电路自动测试系统J750.电压测量能力:量程5V、分辨力0.625mV,测量电压准确度±0.1%+3mV.(2)测试参数及测试结果:在重复性条件下(26.4℃、54%),测量标准样片54LS245的Voh参量(Ioh=3mA),其2次结果如下:

平均值为Ave=2.93477V
3.2测试不确定度来源分析
(1)测试设备固有的不确定度:电压测量分辨力,电压测量准确度。
(2)环境条件。对于元器件测试来说,其环境条件在实验室可以控制在特定的温湿度下,由此引入的不确定度可忽略不计。
(3)测量方法和检测过程。对于元器件较复杂的测试过程中,因各种假设和近似计算等技术因素有时无法分析出不确定度,需要经过多次的试验才能定量描述,对于该例中的加流测压的简单过程,引入的不确定度可忽略不计。
(4)测试夹具、引线等工装辅助装置的残余参数。对于自制或临时增加的该类装置,其残余参数的度量是较复杂的过程,取决于其介质、形状、长度等多种因素,也和测试速度、测试对象有关,该实例中使用的是设备厂家配置的夹具,其残值已包含于系统的误差范围,这里将该因素引入的不确定度忽略不计。
(5)测量重复性引起的不确定度。可以通过多次测量的实验方法得出,该例中的重复测试为6次。
(6)人员素质引起的不确定度。该实例的测量由自动测试设备实现,操作过程符合规程要求,此项因素引入的不确定度可忽略不计。
3.3不确定度评定的计算过程
(1)数学模型Y=Voh
(2)重复测量所引入的不确定度。
A类评定,使用Bessel公式计算重复测量引入的不确定度:

(6)扩展不确定度。
U=K×uc=0.0068V(k=2)
(7)标准样片54LS245在J750上测得的Voh=2.9348V,不确定度为0.0068V.
4结束语
在影响测量结果的各因素受到控制的情况下,不确定度的来源主要为重复测试的分散性和设备自身的偏差,测量不确定度的评定并不复杂,该实例所用样片作为盲样在不同实验室比对得到的测量结果时,表明该次测量结果为满意。其中比对结果值的计算方法:

包含了使用扩展测量不确定度的计算。所以,开展测量不确定度的评定同时也是评价检测方法和过程的合理水平,评价实验室间比对检测结果的必要工作。


