- 易迪拓培训,专注于微波、射频、天线设计工程师的培养
LabVIEW实现水循环温度控制系统
引 言
随着虚拟仪器的功能和性能被不断地提高,在许多应用中已成为传统仪器的主要替代方式。
本文以水循环系统为研究对象,针对水循环的温度,在比较研究不同控制策略的基础上,建立精确的数学模型,对水循环温度控制进行了研究。通过数据采集卡对温度信号进行实时采集,并由软件平台对采集的信号进行分析,然后用数学模型控制算法处理输出,以使当前温度逼近设定值,从而达到温控目的,最后将采集数据保存记录,以备日后读取分析。利用虚拟仪器的巨大优越性改善水循环温度的控制品质,提高控制效果。
1 水循环温度控制系统数学模型的建立
1.1 水循环温控系统介绍
水循环温控系统由储水箱、水泵、传感器、散热器和电加热装置组成,水循环原理图如图1所示。由于本系统对温度要求较高,要保证水管环境温度保持在20℃,故需建立合理的数学模型及控制算法,将温度传感器PT100采样性能通过散热器及电加热器的动态温度值模拟出来,最终达到高精度控制温度的作用。

1.2 水循环温控系统数学模型的建立
水循环温控系统各个部分的温度因管道、散热装置和加热装置的原因会产生很大的变化。为了表达清楚达到预想的结果,就需要建立正确的数学模型。本设计根据实际情况,选择了几个特殊的点来建立模型。如图1所示,A,B,C,D,E,F六个点的温度,将引起变化的原因全部考虑进去,列出函数关系式,然后借助Lab—VIEW编程,由程序控制温度。
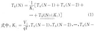
(1)B点的温度函数关系式
B点为采样点,B点的温度跟A点的温度因中间隔水箱会有一个延时K1,取在A点第N个采样值经过K1延时之后的平均值为B点的温度,它的温度函数关系为:

K1)分别为A点第N-1,N-2,…,N-K1个采样时的温度值;V1为水箱的容积,V1=5 L;q为泵流量,q=0.083 L/s;T为采样周期,T=1 s;K1:为注满水箱需要的时间,即延时周期,通过计算K1=60 s。
(2)A点的温度函数关系式
A点的温度与D点的温度因水管而有个延时,故A点的温度函数关系如式(2)所示:

为D点第N-K3个采样点的温度;V3为D点到A点水管的容积,V3=0.5 L;K3为从D点到A点的延时周期,通过计算K3=6 s。
(3)D点的温度函数值
D点的温度与C点温度相比,不仅仅是水管的散失而延时,还与电加热装置有关,函数关系如式(3)所示:

为C点第N-K2个采样点的温度;P为电加热器的功率,P=1 kW;C为水的比热容,C=4.18 kJ/kg·℃;△T为电热前后的温度变化,通过计算△T=3℃;P'为采样占控比,通过验证P'=1或0;V2为C点与D点间水管的容积,V2=1 L;K2为从C点到D点的延时周期,通过计算K2=6 s。
(4)C点的温度函数关系式
C点的温度与F点的温度相近,就是F点延时的某一个温度值,它的函数关系如式(4)所示。

为F点第N-K5个采样点的温度;V5为F点到C点水管的容积,V5=0.5 L;K5为从F点到C点的延时周期,通过计算K5=6 s。
(5)F点的温度函数关系式
F点与E点相比,因为散热器和水管的同时作用,温度也相差很大,该点的温度函数关系如式(5)所示:
![]()
式中:
![]()
为E点第N-K4个采样点的温度;K为制冷系数,K=0.3;T0为环境温度,T0=20℃;V4为E点到F点水管的容积,V4=1 L;K4为从F点到E点的延时周期,通过计算K4=12 s。
(6)E点的温度函数关系式
E点的温度与B点的温度相比也有个延时,该点的温度函数关系如式(6)所示:

为B点第N-K6个采样点的温度;V6为B点到E点的水管的容积,V6=0.5 L;K5为从B点到E点的延时周期,通过计算Ks=6 s。
综上所述,A,B,C,D,E,F六个点的函数关系式及相互联系已经表达清楚,通过LabVtEW建立相应的数学模型。
2 水循环温度控制系统的软件设计
本设计通过数据采集卡对温度传感器传感信号进行实时采集,并由软件平台LabVIEW对采集的信号进行分析,采用上述的数学模型控制算法处理输出,使当前温度以零稳态误差逼近设定值,达到精确控温目的。根据水循环温度控制系统的基本要求,系统划分为五个功能模块,即:用户登录模块、数据存储模块、参数计算模块、控制算法模块等,系统的控制模块框图如图2所示。

2.1 主控模块
系统的主控模块提供了温度控制功能。它通过与其他模块的通讯来完成数据采集与处理、数据的保存等功能。根据模块化的编程思想,用LabVIEW图形化编程语言,可以方便地写出温度控制系统的程序代码。
2.2 参数计算模块
由前面建立的数据模型,通过计算分别可以算出每个点的延时周期K,再由延时周期找到每个点的温度采样值,如图3参数计算程序框图所示。


式中:B点为采样点,该点的温度采样值是A点温度采样值延时之后的所有采样值的平均值,该算法程序框图如图4所示。
2.4 数据采集模块
该模块通过调节控制占空比,进而改变采样占空比,调节控制系统,提高控制质量,如图5所示。

3 程序调试
通过调试各个模块,并将所有功能联系起来,实现水循环自动温度控制系统。调试结果如图6所示。A点和D点,C点和F点,E点和B点温度曲线相近;A点和B点,C点和D点,E点和F点温度曲线相差大,并且采样点B温度波动值仅为0.75℃,较为稳定,从而表明本系统设计的控制方案合理可行,精度达到原设计的技术要求,可预见该系统设计在今后的工业控制实验中具有广阔的应用前景。

4 结 语
在本设计中,利用LabVIEW软件平台构建温度控制系统,具有设计时间短,参数调整灵活,系统仿真结果直观、准确、稳定等特点。实践证明,在LabVIEW环境下能够开发出各种功能强大,开放性好的虚拟仪器软件,构造出经济实用的计算机辅助测试、分析与控制系统。


