- 易迪拓培训,专注于微波、射频、天线设计工程师的培养
电磁学系列2: 电磁学
录入:edatop.com 点击:
上一期我们推出了电磁学中的矢量和场的概念,本期我们给大家带来的是“电磁学”,这些都是一些天线理论中常出现的理论基础知识,我们希望通过这样一种较为浅显易懂的叙述方式,让大家能更容易理解这些知识。
电磁学三:“电磁学”
世间万物都是由原子构成,原子是由带正电荷的“质子”、中性的“电子”和负电荷的“电子”构成(质子和电子构成了原子核,地球和月亮的关系就像原子核与电子一样)。


除了上述四个方程外,还需要有媒质的本构关系式。

当然,一些知识通过如此短小篇幅并无法很好的诠释,但是我们能对这些知识有一个概念和性质上的认知,能帮助我们更好的理解各种文章中所叙述的观点和知识。
世间万物都是由原子构成,原子是由带正电荷的“质子”、中性的“电子”和负电荷的“电子”构成(质子和电子构成了原子核,地球和月亮的关系就像原子核与电子一样)。

那电荷又是个什么东东呢? 其实,现在物理学对电荷是什么,为什么他们之间存在正负且还相互作用影响也没有明确的解释。
我们定义电荷间的作用力叫“库仑力”。同性电荷相互排斥,异性电荷互相吸引。
换而言之,电磁学就是探索电荷活动所引发的现象的一门学问。它将告诉我们电荷是如何影响力的,他们之间的相互吸引或是排斥有会带来什么影响 在1855年至1865年,麦克斯韦在全面地审视了库仑定律(1785)、安培—毕奥—萨伐尔定律(1820)和法拉第定律(1831-1845)的基础上(这三个定律是电磁现象最基本的实验定律),把数学分析方法带进了电磁学的研究领域,由此导致麦克斯韦电磁理论的诞生。
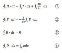
麦克斯韦方程组积分形式(描述电磁场在某一体积或某一面积内的数学模型)
我们定义电荷间的作用力叫“库仑力”。同性电荷相互排斥,异性电荷互相吸引。
换而言之,电磁学就是探索电荷活动所引发的现象的一门学问。它将告诉我们电荷是如何影响力的,他们之间的相互吸引或是排斥有会带来什么影响 在1855年至1865年,麦克斯韦在全面地审视了库仑定律(1785)、安培—毕奥—萨伐尔定律(1820)和法拉第定律(1831-1845)的基础上(这三个定律是电磁现象最基本的实验定律),把数学分析方法带进了电磁学的研究领域,由此导致麦克斯韦电磁理论的诞生。
麦克斯韦方程组积分形式(描述电磁场在某一体积或某一面积内的数学模型)

1.麦克斯韦-安培定律:该定律阐明,磁场可以用两种方法生成:一种是靠传导电流(原本的安培定律),另一种是靠时变电场,或称位移电流(麦克斯韦修正项)。
2.法拉第感应定律:该定律描述时变磁场怎样感应出电场。电磁感应是制造许多发电机的理论基础。例如,一块旋转的条形磁铁会产生时变磁场,这又接下来会生成电场,使得邻近的闭合电路因而感应出电流。
3.高斯磁定律:该定律描述电场与空间中电荷分布的关系。电场线开始于正电荷,终止于负电荷。计算穿过某给定闭曲面的电场线数量,即其电通量,可以得知包含在这闭曲面内的总电荷。更详细地说,这定律描述穿过任意闭曲面的电通量与这闭曲面内的电荷之间的关系。
4.高斯定律:该定律表明,磁单极子实际上并不存在。所以,没有孤立磁荷,磁场线没有初始点,也没有终止点。磁场线会形成循环或延伸至无穷远。换句话说,进入任何区域的磁场线,必需从那区域离开。以术语来说,通过任意闭曲面的磁通量等于零,或者,磁场是一个无源场。
麦克斯韦方程组微分形式(描述每个点在电磁场中的情况)
2.法拉第感应定律:该定律描述时变磁场怎样感应出电场。电磁感应是制造许多发电机的理论基础。例如,一块旋转的条形磁铁会产生时变磁场,这又接下来会生成电场,使得邻近的闭合电路因而感应出电流。
3.高斯磁定律:该定律描述电场与空间中电荷分布的关系。电场线开始于正电荷,终止于负电荷。计算穿过某给定闭曲面的电场线数量,即其电通量,可以得知包含在这闭曲面内的总电荷。更详细地说,这定律描述穿过任意闭曲面的电通量与这闭曲面内的电荷之间的关系。
4.高斯定律:该定律表明,磁单极子实际上并不存在。所以,没有孤立磁荷,磁场线没有初始点,也没有终止点。磁场线会形成循环或延伸至无穷远。换句话说,进入任何区域的磁场线,必需从那区域离开。以术语来说,通过任意闭曲面的磁通量等于零,或者,磁场是一个无源场。
麦克斯韦方程组微分形式(描述每个点在电磁场中的情况)

除了上述四个方程外,还需要有媒质的本构关系式。

ε是媒质的介电常数,μ是媒质的磁导率,σ是媒质的电导率;
通过上面9组关系式才能最终解决场量的求解问题 。
通过上面9组关系式才能最终解决场量的求解问题 。
上一篇:天线设计工程师入门之:电磁学
下一篇:电磁学系列1: 矢量,场, 如何理解电磁学


