- 易迪拓培训,专注于微波、射频、天线设计工程师的培养
深入解读相控阵与阵列天线
录入:edatop.com 点击:
相控阵雷达最大的优点是能够智能的实现大空域内的波束扫描,增益也较大,能够对观察范围内的目标进行准确跟踪、识别,并且能同时跟踪多个目标的动态,反馈信息,进行计算机的分析。
相控阵雷达可以在设定的空域内获取目标信息,根据目标,快速灵活地改变天线波束和指向形状,能够对整个空间内的各频段电磁波进行发送和接收,这是相控阵天线的空域滤波功能,即可对多个目标实现搜索、跟踪、捕获、识别等任务的精确完成。
一、机械扫描与电扫描
波束扫描方式不同
相控阵天线的发展以相控阵雷达为基础,相控阵雷达是20世纪60年代发展起来的一种电扫描式雷达,改进了之前的机械扫描式雷达。
1. 机械扫描式雷达是通过转动雷达天线实现波束扫描。
2. 电扫描式雷达则是通过控制天线阵元馈电方法灵活控制波束指向。
换句话说,相控阵天线的波束图变化是通过计算机控制的,它的天线参数会随着波束扫描角的变化而变化,此外相控阵天线的结构参数也会影响天线的波束方向图形状,(阵元间距、阵元排列形式,馈电系统等参数)
AN/FPS-115
“铺路爪”相控阵雷达,是上世纪70年代研制出来的远程预警雷达。即使是今天,5000+公里的探测距离也是相当不错的。
AN/FPS-115 “铺路爪” 雷达
它是由两个平面阵组成,两个圆形无线阵面彼此成60度,每个阵面后倾20度,直径约30米,由2000个阵元组成。扫描一次所需时间为6秒,平均无故障工作时间可达450小时。用来探测弹道导弹,测试各个参数,如速度、位置、发射和着落点等,可以覆盖240°的方位角以及3°~85°的高低仰角,探测距离一般为4800公里,对高弹道、雷达截面为10平方米的潜射弹道导弹的探测距离可达5550公里。

二、阵列天线分类
阵元排列结构
1. 线阵
2. 面阵
3. 圆形阵
4. 共面阵
性能分类
1. 一般阵列
2. 自适应阵
3. 相控阵
4. 信号处理阵列
相控阵
1. 无源相控阵雷达的天线不能产生雷达波,它的多个阵元共同使用一个发射机、接收机。
2. 有源相控阵雷达的每个天线阵元均采用独立的T/R模块,且每个组件都能发送和产生高频电磁能量。(在功率、效率、波束控制、测量精确度等方面有较大优势,并且重量轻于无源相控阵,但造价要明显高)
有源& 无源
有源阵列
每个阵元采用独立T/R模块

无源阵列
多个阵元公用一个T/R

三、馈电结构
馈电结构
通过馈电网络来激励阵元复电流,从而控制波束指向和形状。下面介绍两种馈电结构:传输线馈电,三维空间馈电,多波束阵列馈电。
传输线馈电

这种传输线馈电是等线长的。

空间三维馈电

初级馈源辐射出的电磁波经透镜控制阵列得到相位激励(空间透镜)

空间透镜反射阵,两图波前的方向不同;透镜具有相移功能。
多波束阵列馈电

“矩阵馈电”,移相器是非常关键的部件,对天线的相位变化起决定性作用,属于——相控阵天线,国内研制较多。

“透镜馈电”的一个同时多波束天线,馈电原理,利用大量的准光学技术代替移相器。馈电网络在整个波束系统内通过微带实现。属于多波束天线。
四、阵列天线的基本参量
基本参量
1. 辐射图:天线辐射功率在空间中相对分布随方向变化的图。(主E面辐射图包含辐射场最大值和电场矢量E,主H面辐射图内包含最大辐射值和磁场矢量H。)
2. 方向性:表征天线辐射电磁场能量在空间分布情况的性能参量。(方向性函数是“单位立体角内的辐射功率”和“单位立体角内的平均辐射功率”比的函数。也可用场强方向图、极化方向图以及相位方向图来描述)
3. 增益:(单位立体角内的辐射功率与输入辐射功率比值的函数)
4. 带宽:阵列天线的带宽取决于阵元形式、阵元间距、馈电电流的幅度及相位等因素。
(绝对带宽用频率范围表示;相对带宽用相对于中心频率的百分比表示;)
窄带天线指(相对带宽小于10%),天线性能会随频率变化而变化,例如微带天线,喇叭天线等;
宽带天线指(相对带宽大于10%小于30%),天线频率改变不会对性能指标产生很大的影响,如对数周期,锥形天线等。
超宽带天线(相对带宽大于30%)
5. 波瓣宽度:天线方向图的主瓣宽度。
6. 旁瓣:主瓣之外的辐射波瓣成为旁瓣。高旁瓣会引入杂波,降低天线的接受性能。
7. 栅瓣:除主瓣以外的其他扫描范围内出现了(由于辐射场同相叠加形成的波瓣)。对于固定频率,阵列天线阵元间距过大,会导致栅瓣形成,占据天线辐射能量,影响天线增益和效率。
主瓣&旁瓣&栅瓣

主瓣是天线的最大辐射方向;
高旁瓣会引入杂波,影响接受效率;
栅瓣会占据天线辐射能量,影响天线增益和效率。
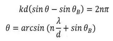
等间距阵列天线&栅瓣

其中
当n=0时,θ= θB阵列天线不会出现栅瓣;
当n≥1时,将在除θB方向外,出现栅瓣;
5、技术结合&应用
技术结合
随着,相控阵雷达处理频段提高到射频以后,它已经结合了许多技术。比如波束扫描、超低旁瓣、波束自适应置零等。
应用
除地面建筑物,它还可以应用在舰载、机载、星载等多个平台中,在推出和应用多功能有源相控阵雷达之后,也加强了国防、舰载、机载及星载预警系统等军用防卫能力,也在卫星通信、气象水文、地球勘探、生物医学等民用领域得到广泛使用,未来还会有更多的应用。
上一篇:看懂微带天线设计,这一篇足够了
下一篇:天线与电波传播复习,史上最实用版


