- 易迪拓培训,专注于微波、射频、天线设计工程师的培养
天线基本原理
录入:edatop.com 点击:
一、 天线的基本概念
1. 天线的作用
在任何无线电通信设备中,总存在一个向空间辐射电磁能量和从空间接收电磁能量的装置,这个装置就是天线。
天线的作用就是将调制到射频频率的数字信号或模拟信号发射到空间无线信道,或从空间无线信道接收调制在射频频率上的数字或模拟信号。
2. 天线问题的实质
从电磁场理论出发,天线问题实质上就是研究天线所产生的空间电磁场分布,以及由空间电磁场分布所决定的电特性。空间任何一点的电磁场满足电磁场方程——麦克斯韦方程及其边界条件。因此,天线问题是时变电磁场问题的一种特殊形式。
从信号系统的角度出发,天线问题可以理解为考察由一个电磁波激励源产生的电磁响应特性。从通信系统的角度出发,天线可以理解为信号发射和接收器,收发天线之间的无线电信号强度满足通道传输方程和多径衰落特性。
3. 对天线结构的概念理解
采用不同的模型,对天线可以有不同的理解。典型的模型比如:
l 开放的电容
[思考] 野外电台或电视发射塔,无线电视或电台接收机,为什么能构成一个天线,其电流回路在什么地方?
l 开放的传输线
从传输线理论理解,天线可以看做是将终端开路的传输线终端掰开。
l TMmn型波导
将天线辐射看做是在4π空间管道中传输的波导,则对应的传输波型是TM型波,但在传输过程中不断遇到波导的不连续性,因此不断激励高次模。
l 由电磁波源和电磁波传输媒质形成电磁波传输的机构
波的形成都需要波源和传输媒质。在一盆水中形成机械波纹,可以使用点激励源产生波,并在水面上传播。波的传播特性只与媒质特性有关而与波源无关。将一个肉包子扔出去,这个肉包子可能产生不同的结果,或者被狗吃了,或者掉在什么地方了,都与扔包子的人不再有任何关系。而对天线来说,馈点的激励源就是这种波源,天线导体和外界空间就是传输媒质。不过电磁波的传输媒质可以是真空。
[思考] 电磁波具有波粒二象性。频率越低,波动性越强;频率越高,粒子性越强。所以光波主要表现出粒子性,而长波表现出波动性。射频电磁波就是介于这二者之间的一种电磁波,它既有显著的波动性,又有显著的粒子性。只要认清这一点,许多问题就会变得易于理解。认清事物的本质规律我们才能很好地利用它,我们不能把一头驴当马使,否则就会出现许多荒唐的错误。有人认为射频很复杂,有人认为很简单,就是这个道理。
[哲学启示] 电磁波由于看不见,摸不着,所以在很多人看来它很抽象。但考虑到世界是普遍联系的,尽管不同的事物也有许多不相同点,但找到它们之间的联系,就能获得认识抽象事物的“火眼金睛”。
二、 电磁场基本方程
1. 麦克斯韦方程
(电生磁。若电场变化,则磁场随之变化)
(磁生电。若磁场变化,则电场随之变化)
(磁力线是无始无终的封闭闭合曲线)
(电力线出发和终止于自由电荷)
麦克斯韦方程的物理含义:变化的电场可以产生磁场,变化的磁场可以产生电场,这是电磁波可以脱离辐射体在空间存在的物理基础。
[思考] 自然界存在一些有趣的现象,尽管机理与电磁波不完全一致,但是其过程却可以帮助我们加深对我们问题的理解。请大家考虑一下,孩童吹肥皂泡时,肥皂泡能够脱离吹管而在空气中独立存在的条件是什么?
[哲学启示] 电磁波看不见,摸不着,但它是一种不依赖于人的意识的客观存在,因此属于辩证唯物哲学中物质的范畴。微波炉中的一盘鸡,看不见有火苗,是谁把它烤熟了?就是电磁波这种物质。要研究任何所谓抽象的事物,必须跳出“巧妇难为无米之炊”这种传统思维模式,要知道没有米还可以用面。
2. 边界条件
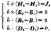
两种不同媒质的分界面,媒质参数会发生突变,引起某些场分量的不连续。电磁场边界条件是:
(媒质分界面处磁场切向不连续)
(媒质分界面处切向电场连续)
(媒质分界面处法向磁感应强度连续)
(媒质分界面处法向电位移矢量不连续)
根据电磁场边界条件,在媒质分界面处电场的切向分量和磁感应强度的法向分量是连续的。这是非常重要的概念。
[思考] 在天线导体和大气空间中,尽管导体和大气中的电场满足不同的分布规律,导体中电场集中在导体边缘,而大气中的电场则呈瑞利指数分布,但是在导体和大气分界面处的导体上和空间切向电场却是完全相同。这是为什么?
[哲学启示] 自然界不存在绝对无限大的事物,大海和宇宙都很大,但都有边界,电磁场也不例外。所有数学物理问题,只有确定的边界条件才有确定的解。
3. 电流连续性方程
根据电荷守恒定律,电流和电荷的关系是:
(电荷的波动导致电流密度的变化)
该方程反映了流入一个封闭面积和流出该封闭面积的电流之间的差异,都是由于该面积内包含的电荷在“兴风作浪”。这也是物质不灭定律在电磁学领域中的反映。
4. 本构方程(媒质特性方程)
(电位移矢量和电场强度的关系)
(磁感应强度和磁场强度的关系)
(电流密度和电场的关系)
这几个方程反映了在特定的媒质中电场强度和电位移矢量、磁场强度和磁感应强度、电流和电场之间的关系,等式右边的矢量与媒质无关,左侧矢量与媒质相关。这几个方程反映了媒质的电特性,是麦克斯韦方程的三个辅助方程。
5. 波印亭定理
空间电磁场的能量关系满足能量守恒定律。电磁场能量守恒定律由矢量波印亭定理描述。

该方程的物理含义是:包围在封闭体积内的电场和磁场能量总和等于传输能量和损耗的能量之和。
称为波印亭矢量,它代表功率通量。
6. 矢量波动方程
从麦克斯韦方程出发,利用矢量公式和相关边界条件,可以得到电磁场的矢量波动方程:
给定电流密度
和电荷密度
,求解矢量波动方程就可以得到麦氏方程的解。
矢量波动方程不是一组独立的方程。本质上它与麦克斯韦方程及其边界条件一致。天线问题可以通过求解矢量波动方程得到,也可以通过直接求解麦克斯韦方程得到。
[问题] 既然已有麦克斯韦方程,为什么还要矢量波动方程?
l 麦克斯韦方程是一个严格方程,但它的求解非常复杂。由于过去的计算手段非常落后,许多电磁问题只能通过手工计算得到,在这种情况下直接求解麦克斯韦方程非常困难;
l 麦克斯韦方程不仅是天线的理论基础,也是传输线和光纤的理论基础。麦克斯韦方程与不同的边界条件可以分别导出矢量波动方程,电报方程和射线方程,但只有矢量波动方程才代表天线;
l 导出矢量波动方程并在不同的具体应用条件对该方程作简化,往往可以获得某些规则天线的准确解,这在当时非常有意义;
l 近年来随着计算机和电磁仿真工具的发展,直接求解麦克斯韦方程才逐渐成为可能。
[注意] 麦克斯韦方程和矢量波动方程之间不能划等号。矢量波动方程是天线方程,而麦克斯韦方程必须连同特定的边界条件才构成天线方程。
在无耗媒质(非导电媒质)和时谐电场中,上式变为:

其中
,k称为波数。
无源区域退化为齐次亥姆霍兹方程:

三、 电磁场唯一性定理和电磁场方程的求解方法
1. 电磁场唯一性定理:满足特定边界条件的电磁场是唯一的。因此不论采取什么方法,只要得到了一个符合边界条件的电磁场解,这个解正是需要寻找的解。
2. 电磁问题的求解方法
l 特定的少数具有规则几何形状和简单几何条件下的电磁场问题,可以采用一些技巧性方法进行严格的数学求解。这些方法有分离变量法、镜像法、格林函数法等。
l 少数简单几何形状的电磁问题可以采用辅助函数法求解,如矢量磁位和标量磁位法,微分函数法和积分函数法。
l 大多形状不规则的电磁问题不能进行严格的数学方法进行求解,或者数学方程过于复杂。此时可以借助计算机工具对麦克斯韦方程或矢量波动方程进行数值求解。这些方法有矩量法、有限元法和有限时域差分法等。
四、 辐射条件
对天线来说,不仅需要满足麦克斯韦波动方程及其边界条件,而且还应满足辐射条件。天线的激励源分布在有限区域,无穷远处不存在场源,因此满足齐次波动方程。求解该方程即得到辐射条件。
这个方程的物理含义是,在无穷远处,位函数和场为0,即只有出射波,没有入射波。这是天线问题与一般电磁场问题的根本区别之处。只有同时满足矢量波动方程和辐射条件,才能形成天线。
五、 天线的近场和远场
满足条件kr<<1的场区称为天线的近场,又称感应场。近场的场强与半径的平方或更高次方成反比。即随着半径的减小,场强迅速增大。从这个概念还可以看出,近场场强与天线的形状相关。
满足条件kr>>1的场区称为天线的远场,又称辐射场。远场的场强与半径成反比。远场场强与天线形状关系不大,但与观察方向有关。
天线的近场与远场分解点可用以下公式表达:
,其中D是天线的最大尺寸,
是工作波长。
近场与远场之间通过快速傅立叶变换相关联。因此天线的近场测试与远场测试在一定范围内是等效的,只是精度会有所不同。
六、 天线的电参数
1. 输入阻抗和带宽
天线的输入阻抗即馈电端输入电压和输入电流的比值。输入到天线的功率被输入阻抗吸收,并被天线转换成辐射功率。
天线的输入阻抗由两部分组成,即:
。其中ZA称为天线的输入电阻,
称为天线的输入电抗。理想情况下,天线的输入阻抗是纯电阻并等于馈线的特性阻抗,这时馈线终端没有功率反射。天线匹配电路的作用就是消除天线输入阻抗中的电抗分量,使电阻分量尽可能接近馈线的特性阻抗。描述匹配的优劣常用的参数是驻波比和回波损耗。
假设馈线的特性阻抗是Z0,则馈点处的反射系数由下式定义:
Γ=(ZA- Z0)/(ZA+ Z0)
驻波比定义为:VSWR=(1+|Γ|)/(1-|Γ|)
其值在1和无穷大之间。完全匹配状态下(ZA = Z0),驻波比为1;完全失配状态下(馈线终端短路或开路,ZA =0或无穷大)驻波比为无穷大。手机天线一般要求驻波比小于2.5。
回波损耗(RL)定义为:RL=20log(|Γ|)
它是反射系数绝对值的倒数,以分贝值表示。回波损耗值在0dB到负无穷大之间,其绝对值越大表示匹配越好。0dB表示全反射,负无穷大表示完全匹配。手机天线一般要求回波损耗小于-7dB左右。
驻波比(VSWR)和回波损耗(RL)两个参数之间有固定的数值对应关系:

天线的输入阻抗取决于天线本身的结构、工作频率并受环境因素的影响,一般它只能通过实验确定。输入阻抗测试等效于驻波比和回波损耗测试。
在天线谐振频率附近,可使电气性能(回波损耗或驻波比)满足使用要求的频带范围称为天线的带宽。
2. 方向系数
天线的方向系数描述电磁能量集中程度以描述方向特性,又称为方向增益,最大辐射方向的方向系数定义为:
其中F是场强方向函数。方向系数的物理含义是,天线辐射的最大方向上获得与该点相同功率所需的点源的总辐射功率与实际天线辐射总功率的比值。
3. 辐射效率
天线的辐射效率用于衡量天线将高频电流或导波能量转换为无线电波能量的有效程度,它是天线辐射的总功率和天线从馈线得到的净功率之比:
采用电阻表示,则:
式中分子为天线的辐射电阻,分母为辐射电阻与损耗电阻之和。所以,提高天线辐射效率的途径就是尽可能提高辐射电阻,降低损耗电阻。对电小尺寸天线来说(尺寸在0.1波长以下),辐射效率低是致命的缺陷,应采取措施降低损耗提高天线效率。
4. 增益
方向系数描述天线辐射电磁能量的集中程度,效率表示天线能量转换效能,这二者集中起来表示能量集束程度和能量转换效率的总增益,称为天线增益。
天线增益描述天线在某一方向的辐射强度和天线以同一输入功率向空间均匀辐射的辐射强度之比,即:
并有:
。
描述天线在空间各方向辐射场强的图形称为辐射方向图,一般在远场测试。方向图的主波瓣相对场强即对应于天线增益。
通常所说的增益都是相对于点源的增益(dBi)和相对半波振子的增益(dBd)。理想点源的增益是1(0dBi);半波振子的增益是1.64(2.43dBi)。
5. 极化方向
指天线发射的电磁波电场或磁场的振动方向。如果电磁波传播过程中电场振动方向始终平行于发射源的电场方向,则称为线极化,如果传播过程中电场矢量端点的轨迹是一个圆,则称为圆极化。
七、 互易定理
互易定理的基本内容是:将天线辐射场中的电场和磁场相关的对偶矢量互换,导出的结论仍然是正确的。由互易定理可以导出的一个重要结论是:同一天线作为发射天线和接收天线,其电性能完全相同。
1. 天线的作用
在任何无线电通信设备中,总存在一个向空间辐射电磁能量和从空间接收电磁能量的装置,这个装置就是天线。
天线的作用就是将调制到射频频率的数字信号或模拟信号发射到空间无线信道,或从空间无线信道接收调制在射频频率上的数字或模拟信号。
2. 天线问题的实质
从电磁场理论出发,天线问题实质上就是研究天线所产生的空间电磁场分布,以及由空间电磁场分布所决定的电特性。空间任何一点的电磁场满足电磁场方程——麦克斯韦方程及其边界条件。因此,天线问题是时变电磁场问题的一种特殊形式。
从信号系统的角度出发,天线问题可以理解为考察由一个电磁波激励源产生的电磁响应特性。从通信系统的角度出发,天线可以理解为信号发射和接收器,收发天线之间的无线电信号强度满足通道传输方程和多径衰落特性。
3. 对天线结构的概念理解
采用不同的模型,对天线可以有不同的理解。典型的模型比如:
l 开放的电容
[思考] 野外电台或电视发射塔,无线电视或电台接收机,为什么能构成一个天线,其电流回路在什么地方?
l 开放的传输线
从传输线理论理解,天线可以看做是将终端开路的传输线终端掰开。
l TMmn型波导
将天线辐射看做是在4π空间管道中传输的波导,则对应的传输波型是TM型波,但在传输过程中不断遇到波导的不连续性,因此不断激励高次模。
l 由电磁波源和电磁波传输媒质形成电磁波传输的机构
波的形成都需要波源和传输媒质。在一盆水中形成机械波纹,可以使用点激励源产生波,并在水面上传播。波的传播特性只与媒质特性有关而与波源无关。将一个肉包子扔出去,这个肉包子可能产生不同的结果,或者被狗吃了,或者掉在什么地方了,都与扔包子的人不再有任何关系。而对天线来说,馈点的激励源就是这种波源,天线导体和外界空间就是传输媒质。不过电磁波的传输媒质可以是真空。
[思考] 电磁波具有波粒二象性。频率越低,波动性越强;频率越高,粒子性越强。所以光波主要表现出粒子性,而长波表现出波动性。射频电磁波就是介于这二者之间的一种电磁波,它既有显著的波动性,又有显著的粒子性。只要认清这一点,许多问题就会变得易于理解。认清事物的本质规律我们才能很好地利用它,我们不能把一头驴当马使,否则就会出现许多荒唐的错误。有人认为射频很复杂,有人认为很简单,就是这个道理。
[哲学启示] 电磁波由于看不见,摸不着,所以在很多人看来它很抽象。但考虑到世界是普遍联系的,尽管不同的事物也有许多不相同点,但找到它们之间的联系,就能获得认识抽象事物的“火眼金睛”。
二、 电磁场基本方程
1. 麦克斯韦方程
(电生磁。若电场变化,则磁场随之变化)
(磁生电。若磁场变化,则电场随之变化)
(磁力线是无始无终的封闭闭合曲线)
(电力线出发和终止于自由电荷)
麦克斯韦方程的物理含义:变化的电场可以产生磁场,变化的磁场可以产生电场,这是电磁波可以脱离辐射体在空间存在的物理基础。
[思考] 自然界存在一些有趣的现象,尽管机理与电磁波不完全一致,但是其过程却可以帮助我们加深对我们问题的理解。请大家考虑一下,孩童吹肥皂泡时,肥皂泡能够脱离吹管而在空气中独立存在的条件是什么?
[哲学启示] 电磁波看不见,摸不着,但它是一种不依赖于人的意识的客观存在,因此属于辩证唯物哲学中物质的范畴。微波炉中的一盘鸡,看不见有火苗,是谁把它烤熟了?就是电磁波这种物质。要研究任何所谓抽象的事物,必须跳出“巧妇难为无米之炊”这种传统思维模式,要知道没有米还可以用面。
2. 边界条件
两种不同媒质的分界面,媒质参数会发生突变,引起某些场分量的不连续。电磁场边界条件是:
(媒质分界面处磁场切向不连续)
(媒质分界面处切向电场连续)
(媒质分界面处法向磁感应强度连续)
(媒质分界面处法向电位移矢量不连续)
根据电磁场边界条件,在媒质分界面处电场的切向分量和磁感应强度的法向分量是连续的。这是非常重要的概念。
[思考] 在天线导体和大气空间中,尽管导体和大气中的电场满足不同的分布规律,导体中电场集中在导体边缘,而大气中的电场则呈瑞利指数分布,但是在导体和大气分界面处的导体上和空间切向电场却是完全相同。这是为什么?
[哲学启示] 自然界不存在绝对无限大的事物,大海和宇宙都很大,但都有边界,电磁场也不例外。所有数学物理问题,只有确定的边界条件才有确定的解。
3. 电流连续性方程
根据电荷守恒定律,电流和电荷的关系是:
(电荷的波动导致电流密度的变化)该方程反映了流入一个封闭面积和流出该封闭面积的电流之间的差异,都是由于该面积内包含的电荷在“兴风作浪”。这也是物质不灭定律在电磁学领域中的反映。
4. 本构方程(媒质特性方程)
(电位移矢量和电场强度的关系)(磁感应强度和磁场强度的关系)
(电流密度和电场的关系)
这几个方程反映了在特定的媒质中电场强度和电位移矢量、磁场强度和磁感应强度、电流和电场之间的关系,等式右边的矢量与媒质无关,左侧矢量与媒质相关。这几个方程反映了媒质的电特性,是麦克斯韦方程的三个辅助方程。
5. 波印亭定理
空间电磁场的能量关系满足能量守恒定律。电磁场能量守恒定律由矢量波印亭定理描述。

该方程的物理含义是:包围在封闭体积内的电场和磁场能量总和等于传输能量和损耗的能量之和。
称为波印亭矢量,它代表功率通量。6. 矢量波动方程
从麦克斯韦方程出发,利用矢量公式和相关边界条件,可以得到电磁场的矢量波动方程:
给定电流密度
和电荷密度
,求解矢量波动方程就可以得到麦氏方程的解。矢量波动方程不是一组独立的方程。本质上它与麦克斯韦方程及其边界条件一致。天线问题可以通过求解矢量波动方程得到,也可以通过直接求解麦克斯韦方程得到。
[问题] 既然已有麦克斯韦方程,为什么还要矢量波动方程?
l 麦克斯韦方程是一个严格方程,但它的求解非常复杂。由于过去的计算手段非常落后,许多电磁问题只能通过手工计算得到,在这种情况下直接求解麦克斯韦方程非常困难;
l 麦克斯韦方程不仅是天线的理论基础,也是传输线和光纤的理论基础。麦克斯韦方程与不同的边界条件可以分别导出矢量波动方程,电报方程和射线方程,但只有矢量波动方程才代表天线;
l 导出矢量波动方程并在不同的具体应用条件对该方程作简化,往往可以获得某些规则天线的准确解,这在当时非常有意义;
l 近年来随着计算机和电磁仿真工具的发展,直接求解麦克斯韦方程才逐渐成为可能。
[注意] 麦克斯韦方程和矢量波动方程之间不能划等号。矢量波动方程是天线方程,而麦克斯韦方程必须连同特定的边界条件才构成天线方程。
在无耗媒质(非导电媒质)和时谐电场中,上式变为:

其中
,k称为波数。无源区域退化为齐次亥姆霍兹方程:

三、 电磁场唯一性定理和电磁场方程的求解方法
1. 电磁场唯一性定理:满足特定边界条件的电磁场是唯一的。因此不论采取什么方法,只要得到了一个符合边界条件的电磁场解,这个解正是需要寻找的解。
2. 电磁问题的求解方法
l 特定的少数具有规则几何形状和简单几何条件下的电磁场问题,可以采用一些技巧性方法进行严格的数学求解。这些方法有分离变量法、镜像法、格林函数法等。
l 少数简单几何形状的电磁问题可以采用辅助函数法求解,如矢量磁位和标量磁位法,微分函数法和积分函数法。
l 大多形状不规则的电磁问题不能进行严格的数学方法进行求解,或者数学方程过于复杂。此时可以借助计算机工具对麦克斯韦方程或矢量波动方程进行数值求解。这些方法有矩量法、有限元法和有限时域差分法等。
四、 辐射条件
对天线来说,不仅需要满足麦克斯韦波动方程及其边界条件,而且还应满足辐射条件。天线的激励源分布在有限区域,无穷远处不存在场源,因此满足齐次波动方程。求解该方程即得到辐射条件。
这个方程的物理含义是,在无穷远处,位函数和场为0,即只有出射波,没有入射波。这是天线问题与一般电磁场问题的根本区别之处。只有同时满足矢量波动方程和辐射条件,才能形成天线。
五、 天线的近场和远场
满足条件kr<<1的场区称为天线的近场,又称感应场。近场的场强与半径的平方或更高次方成反比。即随着半径的减小,场强迅速增大。从这个概念还可以看出,近场场强与天线的形状相关。
满足条件kr>>1的场区称为天线的远场,又称辐射场。远场的场强与半径成反比。远场场强与天线形状关系不大,但与观察方向有关。
天线的近场与远场分解点可用以下公式表达:
,其中D是天线的最大尺寸,
是工作波长。近场与远场之间通过快速傅立叶变换相关联。因此天线的近场测试与远场测试在一定范围内是等效的,只是精度会有所不同。
六、 天线的电参数
1. 输入阻抗和带宽
天线的输入阻抗即馈电端输入电压和输入电流的比值。输入到天线的功率被输入阻抗吸收,并被天线转换成辐射功率。
天线的输入阻抗由两部分组成,即:
。其中ZA称为天线的输入电阻,
称为天线的输入电抗。理想情况下,天线的输入阻抗是纯电阻并等于馈线的特性阻抗,这时馈线终端没有功率反射。天线匹配电路的作用就是消除天线输入阻抗中的电抗分量,使电阻分量尽可能接近馈线的特性阻抗。描述匹配的优劣常用的参数是驻波比和回波损耗。假设馈线的特性阻抗是Z0,则馈点处的反射系数由下式定义:
Γ=(ZA- Z0)/(ZA+ Z0)
驻波比定义为:VSWR=(1+|Γ|)/(1-|Γ|)
其值在1和无穷大之间。完全匹配状态下(ZA = Z0),驻波比为1;完全失配状态下(馈线终端短路或开路,ZA =0或无穷大)驻波比为无穷大。手机天线一般要求驻波比小于2.5。
回波损耗(RL)定义为:RL=20log(|Γ|)
它是反射系数绝对值的倒数,以分贝值表示。回波损耗值在0dB到负无穷大之间,其绝对值越大表示匹配越好。0dB表示全反射,负无穷大表示完全匹配。手机天线一般要求回波损耗小于-7dB左右。
驻波比(VSWR)和回波损耗(RL)两个参数之间有固定的数值对应关系:

天线的输入阻抗取决于天线本身的结构、工作频率并受环境因素的影响,一般它只能通过实验确定。输入阻抗测试等效于驻波比和回波损耗测试。
在天线谐振频率附近,可使电气性能(回波损耗或驻波比)满足使用要求的频带范围称为天线的带宽。
2. 方向系数
天线的方向系数描述电磁能量集中程度以描述方向特性,又称为方向增益,最大辐射方向的方向系数定义为:
其中F是场强方向函数。方向系数的物理含义是,天线辐射的最大方向上获得与该点相同功率所需的点源的总辐射功率与实际天线辐射总功率的比值。
3. 辐射效率
天线的辐射效率用于衡量天线将高频电流或导波能量转换为无线电波能量的有效程度,它是天线辐射的总功率和天线从馈线得到的净功率之比:
采用电阻表示,则:
式中分子为天线的辐射电阻,分母为辐射电阻与损耗电阻之和。所以,提高天线辐射效率的途径就是尽可能提高辐射电阻,降低损耗电阻。对电小尺寸天线来说(尺寸在0.1波长以下),辐射效率低是致命的缺陷,应采取措施降低损耗提高天线效率。
4. 增益
方向系数描述天线辐射电磁能量的集中程度,效率表示天线能量转换效能,这二者集中起来表示能量集束程度和能量转换效率的总增益,称为天线增益。
天线增益描述天线在某一方向的辐射强度和天线以同一输入功率向空间均匀辐射的辐射强度之比,即:
并有:
。描述天线在空间各方向辐射场强的图形称为辐射方向图,一般在远场测试。方向图的主波瓣相对场强即对应于天线增益。
通常所说的增益都是相对于点源的增益(dBi)和相对半波振子的增益(dBd)。理想点源的增益是1(0dBi);半波振子的增益是1.64(2.43dBi)。
5. 极化方向
指天线发射的电磁波电场或磁场的振动方向。如果电磁波传播过程中电场振动方向始终平行于发射源的电场方向,则称为线极化,如果传播过程中电场矢量端点的轨迹是一个圆,则称为圆极化。
七、 互易定理
互易定理的基本内容是:将天线辐射场中的电场和磁场相关的对偶矢量互换,导出的结论仍然是正确的。由互易定理可以导出的一个重要结论是:同一天线作为发射天线和接收天线,其电性能完全相同。
上一篇:专家讲堂:扒开天线说原理
下一篇:微带传输线阻抗匹配工程实例


