- 易迪拓培训,专注于微波、射频、天线设计工程师的培养
How to probe spiral antenna in CST
Does anybody knows how to probe the spiral antenna in CST, just like the one in the pic

Thanks
Hiya suraya,
I'm not sure I know what you mean by "probe" the antenna...? If you want to excite/add an s-parameter port to the structure, you can use a 'discrete port' at a given set of (x,y,z) coordinates. Alternatively, if you want to visualise the fields/surface currents within the structure, add the appropriate "field monitor" found under the Solve/ menu bar item.
Hi thylacine,
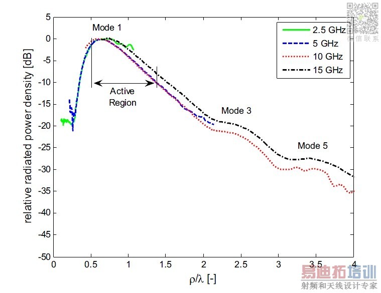
Thanks for your quick reply! Actually I wanted to observe the higher order modes of a 2arm spiral antenna, i.e. Mode 3 & Mode 5, by trying to probe the spiral at different position (like the one in the prev fig) to observe the relative power density at those modes. It is expected that the power density will start to decrease as the mode increases (as mode1 is the active region, fig2). Please, do you have any idea how to do this?

fig.2
Hmm - still not sure I exactly follow. If you connect a discrete port at the centre of the spiral (connected to each of the two spiral arms), configure a 0 - 15 GHz frequency sweep, request the calculation of a "current density" plot at the frequencies of interest and hit 'go' on the transient solver - you'll end up with the plot of Fig 1 (at each of your frequencies)
It'll take a better CST user than me to tell you how to generate Fig 2. though :)
Fig2 is actually a result from a recent paper on spiral antenna. I also had no idea how he did it =)
Btw, do you know what is the function of the probe in CST (Solve-Probes)?
u can use discrete port for simulation of spiral antenna
申明:网友回复良莠不齐,仅供参考。如需专业解答,请学习易迪拓培训专家讲授的CST视频培训教程。
上一篇:Interconnect Cap Verification of Cadence Layout with CST MWS
下一篇:Need help with structure in CST Microwave studio

