- 易迪拓培训,专注于微波、射频、天线设计工程师的培养
高速数字电路设计之串音分析
由于目前大部分的数字电路中,要求时序控制时间已达到 psec 的范围。因此,在这些系统中,各种组件相互链接的导体不应再只被看作是一根简单的导线,而应将视之为呈现了高频效应的传输线。如果这些传输线没有经过合理的设计,而仍然以低频的角度来看待这些传输线,那么它们将破坏讯号的完整性(Signal Integrity;SI),而却无法分析之。
就以计算机内部中央处理器(CPU)的速度来说,目前P4的中央处理器的速度约达到3.0 GHZ左右。试想,如此高速的频率,相对所产生的传输线效应一定更为显著,因此在设计时就需更加的注意。当电路的处理效能达到高速阶段时(所谓高速是以其讯号的上升时间与导线的长度来做判断),其传输线高频的效应便会呈现出来,开始有了种种电气特性上的问题,例如:导线上的传输延迟、特性阻抗的改变、阻抗不匹配所产生的反射、导线间耦合所产生的串音等等。
基于上述的种种传输线高频效应,会破坏数字信号的完整性,使电路产生误动作,因此在设计电路之前,若能对高速数字电路设计有所了解,便可免除日后Debug的程序,且提高工作效率,相对的也降低了所需的成本,一举数得。
本文将针对高速数字电路设计(High-Speed Digital System Design)中最常见的串音噪声作一分析与探讨。
串音机制
「串音」常普遍的被考虑其对信号的影响在两导线之间会有哪些噪声的干扰,就是指一条导线上的能量耦合到其他导线上。它是由导线上通以信号所引起的电磁场交互作用而产生的;包括芯片(Chip)内部、PCB(Printed Circuit Board)板、链接器(Connector)、芯片封装,以及通信电缆中,都可能出现。而随着技术的发展,消费者对产品的要求越来越倾向于小而快,在这种情况下,就必须更加注意数字电路系统中的串音现象;因此为了避免和减小这些串音,学习并了解串音的原理和如何在设计中避免这些现象的发生就显得相当重要。
过度的导线耦合,即串音噪声过大时,将造成不良的影响有:
1.改变信号的完整性
2.改变传输线的时序(timing)
3.改变传输线的特性阻抗。
针对以上所提的串音问题,可以利用SPEED2000或是HSPICE进行时域模拟与分析,观察其在电路板上的电气特性行为。
图1.1为两耦合导线间的等效电路架构,导线1代表干扰线、导线2代表受扰线。在此已考虑了传输线效应,所以可用离散模型以一个( )LC网络来描述耦合传输线的结构,实际上等效电路应包含R、L、G、C四个组件,但因此处暂不考虑传输线损耗的情形下,所以只需考虑L、C两组件即可。值得注意的地方是整条传输线应是由不断延伸多对的LC网络所组合而成的,并非只有一段L、C电路( 此方式有一个要素就是每个LC网络的导线延迟时间须远小于信号的波长或是上升时间 )。由图可看出两耦合导线间的等效电路中存在着互感(Lm)、自感(Ls)、互容(CM)与自容(Cs)。
图1.1 耦合导线间的等效电路架构
互感Lm感应电流从干扰线到受扰线,感应电流是因为磁场的缘故。事实上,如果受扰线很邻近于干扰线,那么磁场将传递到达了受扰线(如图2.2所示),受扰在线便会感应出电流噪声。互感Lm注入一个噪声电压 到受扰线,噪声电压 的大小取决于干扰线电流 对时间的变化率。其计算式为:
-------------------------(1)
的大小和 的变化率成正比。Lm则是和导线间回路的距离成反比;导线间距越大,Lm越小。
图1.2 磁场的分布
互容Cm感应电压从干扰线到受扰线,感应电压是因为电场的缘故。基本上,如果受扰线很邻近于干扰线,那么电场将传递到达了受扰线(如图1.3所示),受扰在线便会感应出电压噪声。
图1.3 电场的分布
互容Cm注入一个噪声电流
到受扰线,噪声电流
的大小取决于干扰线电压
对时间的变化率。其计算式为:
----------------------(2)
的大小和
的变化率成正比。Cm则是和导线间的距离成反比;导线间距越大,Cm越小。
此外,在多导体的系统中,则必须考虑电感和电容系数来全面评估传输线的电气特性。而用以描述反映寄生耦合效应影响传输线系统性能的典型方法便是,电感矩阵和电容矩阵( 被通称为传输线矩阵 )。
在此举一个实际PCB板上两导体的例子来说明电容与电感矩阵。参照(图 1.1)。
Capacitance matrix
Inductance
matrix
其中
,
,
,
所以可知 
若有N个导体,则其矩阵应改写为:


串音噪声分析
串音是由于临近两导体之间的互容和互感所引起的。因而在临近传输在线引起的感应噪声大小和他们之间的互感和互容大小都有关系,而其大小是由两导体的几何参数与介质系数所决定。串音噪声一般分为两种:近端串音(Near-End Crosstalk)和远程串音(Far-End Crosstalk)。近端串音是指在受扰在线靠近干扰线的驱动端的串音(有时候也将这个串音称为后向串音(Backward Crosstalk)。
将受扰在线靠近干扰线接收端方向的串音称为远程串音(有时候也称为前向串音(Forward Crosstalk)。如图2.1所示,如果一信号进入导线1,由于互感Lm互容Cm的作用,将在导线2上产生感应噪声电流,而由互容引起的电流经由两导体间的电容分流后分别向受扰线的两个方向流动,远程和近端。而由互感引起的电流从受扰线的远程流向近端,这是因为互感是由磁场所引起产生的以及因为冷次定律的关系,所以会使得电流总是与干扰线中的电流方向相反。

图2.1 互容互感引起的串音电流示意图
当时间t=TD时( 表示干扰线的延迟时间),信号上升缘由导线1传播到达右边端点,而当时间 时,最后的近端噪声信号才会传递到达受扰线的左端,因为它必须传送整个导线的长度返回。延迟时间(Time Delay)的计算式:
---------------------------------(3)
X表示导线的长度,L、C表示每单位线长的自感值、自容值。
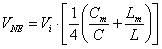
近端串音其波形开始于时间t=0,且持续两倍的延迟时间(2TD )。而振幅的大小为近端串音系数和输入电压(Vi)的乘积(如图2.2),其近端串音计算公式为:
---------------------------------(4)

图2.2 近端串音波形
远程串音开始于一倍的延迟时间之后(t=TD),且持续大约为导线的上升时间(rise time;tr)。而振幅的大小为远程串音系数和输入电压的乘积(如图2.3),其远程串音计算公式为:
------------------------------(5)

图2.3 远程串音波形
由式(4)、(5)可以知道,近端串音噪声大小与电容(感)系数有关,而波宽与导线长度有关;远程串音噪声的大小与电容(感)系数、输入信号的上升时间与导线长度有关。
上述的情形都是假设在传输线阻抗匹配之下。假设受扰线的负载与传输线的特性阻抗不匹配,在此一条件之下的近端反射、远程反射必须加上一个串音电压的修正量(反射系数),其计算式:
----------------------------- (6)
Z0是指导线的特性阻抗(Characteristic Impedance) 计算式为:
----------------------------- (7)
L、C表示每单位线长的自感值、自容值。
是受扰线的串音在近端或远程非理想状态下被调整过后的值, 为受扰线的负载,Z0是传输线的特性阻抗, 是假设在理想状况(无反射)的近端或远程电压值。
在不同的结构中,近、远程串音值都会有不同的变化,那是因为不同的结构决定了传输线中的耦合系数C、Cm、L、Lm这四个参数。在不同结构中这些耦合系数的变化趋势是一个设计者必须要知道的,因为这些认知可以于设计时间时考虑在内,可避免掉一些日后烦杂的Debug程序。以下就针对(图2.4)的串音结构图,在微带线的结构中改变S(Spacing)、H(介质层高度)以及W(线宽)对串音值的影响绘制了曲线图以供设计时参考。
图2.4 串音结构图

图2.5 微带线结构中S与串音噪声的关系

图2.6 微带线结构中H与串音噪声的关系

图2.7 微带线结构中W与串音噪声的关系
上述的讨论中,Source端都是输入一个理想的步阶信号,这是为了方便分析与探讨。当有了这些观念后,便可引用这些观念来探讨实际PCB上的数字信号所造成的串音干扰。因为一个完整的数字信号有上升及下降时间,因此便不难想象到受扰在线之近远程串音噪声也会产生一正一负的情形,如(图2.8)所示。就(图2.6)的电路将输入信号改为数字信号,振幅不变。

图2.8 连续数字信号传送时的串音噪声
多导体信号切换模式的效应
当多根传输线相互之间靠得很近的时候,传输线之间的电场和磁场将互相交互作用的更为复杂,传输在线的信号切换(switching)状态决定了以何种模式的传输,这种相互作用的重要性在于会改变传输线有效的特性阻抗和传输速率。特别是当很多非常靠近的传输线同时切换,这种现象尤为严重,它会使总线出现特性阻抗和延迟时间产生变化,从而影响总线的传输效能。因此,在系统设计中必须考虑到这些方面的影响。以下说明两种改变特性阻抗和传输速度的结构。
奇模(Odd Mode)
当两根耦合的传输线相互之间的驱动信号振幅大小相同但相位相差180度的时候,就是一个奇模传输的模型。此情况下,传输线的等效电容增大,但是等效电感变小。为了算出两相邻的传输线在奇模传输模式下,传输线特征阻抗和传输速率的变化情况,我们可以参考(图3.1)与(图3.2)。利用KCL与KVL导出其计算式。

图 3.1奇模等效电感 图 3.2奇模等效电容
其计算式为:
---------------------------(8)
---------------------------(9)
偶模(Even Mode)
当两根耦合的传输线相互之间的驱动信号振幅大小相同且相位也相同时,就是一个偶模传输的模型。此情况下,传输线的等效电容减小,但是等效电感增大。为了算出两相邻的传输线在偶模传输模式下,传输线特征阻抗和传输速率的变化情况,我们可以参考(图3.3)与(图3.4)利用KCL与KVL导出其计算式。
图3.3 偶模等效电感 图3.4 偶模等效电容
其计算式为:
-------------------------------(10)
-------------------------------(11)
而奇、偶模在传播时的电场与磁场示意图,如图(3.5)所示。

图3.5 奇、偶模电磁场分布图
另外有关于阻抗的探讨,奇模的特性阻抗 将比单一条导线的特性阻抗 来的小,是因为:
而偶模的特性阻抗 将比单一条导线的特性阻抗 来的大,是因为:
另外,延迟时间TD也有所改变:
奇模
偶模
接着在此利用仿真软件( SPEED2000或HSPICE )实际模拟上述之奇、偶结构于微带线与带线中,分别观察TDT端点的波形,并验证上述之结果。其仿真结构示意图与仿真结果分别,如图3.6、3.7与3.8所示。
图3.6 奇、偶模仿真电路示意图
图3.7 微带线结构下,奇、偶模之TDT端点波形
图3.8 带线结构下,奇、偶模之TDT端点波形
多导体信号切换模式的效应
当多根传输线相互之间靠得很近的时候,传输线之间的电场和磁场将互相交互作用的更为复杂,传输在线的信号切换(switching)状态决定了以何种模式的传输,这种相互作用的重要性在于会改变传输线有效的特性阻抗和传输速率。特别是当很多非常靠近的传输线同时切换,这种现象尤为严重,它会使总线出现特性阻抗和延迟时间产生变化,从而影响总线的传输效能。因此,在系统设计中必须考虑到这些方面的影响。以下说明两种改变特性阻抗和传输速度的结构。
奇模(Odd Mode)
当两根耦合的传输线相互之间的驱动信号振幅大小相同但相位相差180度的时候,就是一个奇模传输的模型。此情况下,传输线的等效电容增大,但是等效电感变小。为了算出两相邻的传输线在奇模传输模式下,传输线特征阻抗和传输速率的变化情况,我们可以参考(图3.1)与(图3.2)。利用KCL与KVL导出其计算式。
图 3.1奇模等效电感 图 3.2奇模等效电容
其计算式为:
---------------------------(8)
---------------------------(9)
偶模(Even Mode)
当两根耦合的传输线相互之间的驱动信号振幅大小相同且相位也相同时,就是一个偶模传输的模型。此情况下,传输线的等效电容减小,但是等效电感增大。为了算出两相邻的传输线在偶模传输模式下,传输线特征阻抗和传输速率的变化情况,我们可以参考(图3.3)与(图3.4)利用KCL与KVL导出其计算式。
图3.3 偶模等效电感 图3.4 偶模等效电容
其计算式为:
-------------------------------(10)
-------------------------------(11)
而奇、偶模在传播时的电场与磁场示意图,如图(3.5)所示。

图3.5 奇、偶模电磁场分布图
另外有关于阻抗的探讨,奇模的特性阻抗 将比单一条导线的特性阻抗 来的小,是因为:
而偶模的特性阻抗 将比单一条导线的特性阻抗 来的大,是因为:
另外,延迟时间TD也有所改变:
奇模
偶模
接着在此利用仿真软件( SPEED2000或HSPICE )实际模拟上述之奇、偶结构于微带线与带线中,分别观察TDT端点的波形,并验证上述之结果。其仿真结构示意图与仿真结果分别,如图3.6、3.7与3.8所示。
图3.6 奇、偶模仿真电路示意图

图3.7 微带线结构下,奇、偶模之TDT端点波形

图3.8 带线结构下,奇、偶模之TDT端点波形
射频工程师养成培训教程套装,助您快速成为一名优秀射频工程师...
天线设计工程师培训课程套装,资深专家授课,让天线设计不再难...
上一篇:LabVIEW创建DLL
下一篇:基于信号完整性分析的PCB设计方法

