- 易迪拓培训,专注于微波、射频、天线设计工程师的培养
RF电路设计讲座(3)射频传输线的传导原理和应用
电波是由相互垂直的电场(Electric Field)与磁场(Magnetic Field)组成。两者交互变化的强度取决于输至传输线(transmission line)或天线上的交流信号之大小而定。如图一所示。
图一:电波的组成
若依传导(propagation)方向与电场或磁场的关系,可以将电波分成三大类:横向电磁波(Transverse Electromagnetic Wave)或简称TEM波、横向电波(Transverse Electric Wave) 或简称TE波、横向磁波(Transverse Magnetic Wave) 或简称TM波。横向电磁波的定义是,电波的传导方向上没有电场和磁场的成份,电场和磁场的变化方向是在与传导方向垂直的平面上,所以又称为「平面电磁波(Plane Wave)」,图一就是一个典型的平面电磁波。
横向电磁波传输线的一般特性
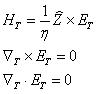
TEM波模式是由下面方程式来描述,而后两者可用来描述等效的二维静电问题:
(TEM模式) (1)
上述方程式中的第二式暗示着 可表示二维静电电位之能量梯度。因此第三式变成拉普拉斯(Laplace)的电位方程式。如此则电场可由下面的方程式取得:
(等效静电问题) (2)
因在静电问题中,电场线必须始于正电荷导体并结束于负电荷导体,所以TEM模式只能在同轴缆线或双芯线(two-wire line)等多导体中被传导。中空的(hollow)波导(waveguide)并不支持TEM模式。
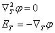
图二是一个双导体传输线的横向截面积。此截面的外形是任意的。

图二:双导体传输线
在静电的解决方案中,这些导体是等电位的(equipotential)。设
、
为两个导体上的电位常数,则导体间的电压差为
。电场线会垂直导体(a)出发并垂直于导体(b)结束。
被认定为等电位线的磁场线,根据方程式(1),垂直于电场线。磁场线本身彼此包围着,并围绕着两个导体。
特别是在导体表面上,磁场是正切的。根据安培定律,每个导体周围磁场的线积分,会在导体的沿z方向,产生流动的总电流
与
,这两个电流是大小相等、方向相反的。
射频工程师养成培训教程套装,助您快速成为一名优秀射频工程师...

