- 易迪拓培训,专注于微波、射频、天线设计工程师的培养
EMI/EMC设计讲座(四)印刷电路板的映像平面
一个映像平面(image plane)是一层铜质导体(或其它导体),它位于一个印刷电路板(PCB)里面。它可能是一个电压平面,或邻近一个电路或讯号路由层(signal routing layer)的0V参考平面。1990年代,映像平面的观念被普遍使用,现在它是工业标准的专有名词。本文将说明映像平面的定义、原理和设计。
映像平面的定义
射频电流必须经由一个先前定义好的路径或其它路径,回到电流源;简言之,这个回传路径(return path)就是一种映像平面。映像平面可能是原先的走线的镜像(mirror image),或位于附近的另一个路径----亦即,串音(crosstalk);映像平面也许就是电源平面、接地平面,或者自由空间(free space)。射频电流会以电容或电感的形式与任何传输线耦合,只要此传输线的阻抗比先前定义好的路径的阻抗小。不过,为了符合EMC标准,必须避免让自由空间成为回传路径。
虽然单面PCB可以降低成本,但是这种简单的结构可能无法符合EMC标准。大多数的2层或4层结构的PCB具有比较高的讯号完整性,并且可以通过EMC测试。高密度(多层板)的PCB堆栈大约可以为每一对映像平面,提供6dB至8dB的射频抑制,这是由于消除磁通量所产生的效果。有一个简单法则可以用来判断何时应该使用多层板:当频率速率超过5MHz,或上升时间比5 ns快,就必须使用多层板。
电感的定义
走线和铜质平面都具有数目有限的电感,当电压施加到走线或传输线时,这些电感会禁止电流产生,所以会使双导线成为不平衡的共模辐射,磁通量因此无法降低。在电路板结构中,具有三种不同的电感型态:
●部份电感:存在于导线或PCB走线的电感。
●自身的部份电感:来自于一个导线区段的电感,相对于无限长的区段。
●共同的部份电感:一个电感区段在第二个电感区段上所产生的效应。
和电容、电阻相比,电感值是最难被测量的。电感代表一个封闭型电流回路的动态特性。电感是通过封闭回路的磁通量和产生磁通量的电流之比值,其数学表述式是:Lij=Ψij / li ,Ψ是磁通量,I是回路中的电流。在一个封闭回路中,电感值与回路形状和大小有关。当设计PCB时,工程师经常会忽视走线的电感大小。电感永远和封闭回路有关。封闭回路的电感效应,可以由部份电感和共同的部份电感的效应来描述。
部份电感
一个导体的内部电感,它是由此导体内部的磁通量产生的。一个封闭回路的部份电感之加总,等于将每个区段的部份电感相加后的和,亦即 。而每一个区段的Li就等于Ψi / li, Ψi表示第i个区段耦合至回路的磁通量,I是在第i个区段的电流量,Li就是部份电感。因此,不同回路将会有不同数值的部份电感。我们关注的是部份电感值,而不是走线的总电感值。而且,利用部份电感可以推导出共同的部份电感。
共同的部份电感
可以让映像平面消除磁通量的主要因素是来自于「共同的部份电感」。磁通量被消除之后,能够让磁力线连结,并为射频电流找到最佳的回传路径。自身的部份电感是指特定的回路区段之电感,和其它回路区段无关。附图一是表示一个自身的部份电感,一条走线回路内的电流是I,Lp是走线区段的自身的部份电感。假设此走线是从有限的一端,一直延伸至无限的另一端。
理论上,虽然自身的部份电感与邻近的导线无关,但实际上,间距很小的相邻导线会互相改变彼此的自身的部份电感值。这是因为一条导线会和其它导线互动,使得在导线的全部长度上的电流分布不再一致化(uniform)。尤其当两导线间隔和半径的比值约小于5:1时,这种情况会更加明显。
图一:自身的部份电感
在两条导线之间,会有共同的部份电感存在。共同的部份电感Mp是以平行走线,或导线区段之间的间距(s)为基础。Mp是「第一条导线内的电流所产生的磁通量(通过第二条导线至很远的地方)」和「第一条导线所产生的电流」之比值。附图二是表示一个共同的部份电感。它的等效电路如附图三所示,此电路的数学表述式如下所示:


图二:共同的部份电感
图三:两导线之间的共同的部份电感
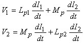
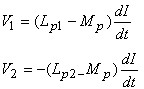
现在以共同的部份电感之观念,来考虑在附图三的电路上传送讯号,譬如:频率讯号。V1是在讯号路径上,V2是在射频电流回传路径上。假设此两导线构成一个讯号路径和它的回传路径,因此I1= I且I2 = -I。要不是有共同的部份电感存在,此两导线将无法互相耦合,此电路也无法正常工作,也不会形成一个封闭回路。在附图三中的电压降将变成:

由上式中可以知道,若要使电压降变小,必须增加共同的部份电感值(Mp)。
而增加共同的部份电感之最简单方法是:将射频回传电流的路径尽量和讯号走线靠近。最佳的设计方法是:在接近讯号走线的附近,使用一个射频回传平面,它们之间的距离在可实现的能力范围之内,应该尽量的小。
部份电感永远存在于导线中,它如同默认值一样。因此,它就等同于一个具有特定的谐振频率的天线。「共同的部份电感」可以降低「部份电感」的效应。缩小两导线的间距,其个别的部份电感就可以降低,这可以符合EMI兼容标准的要求。
为了使共同的部份电感之效应达到最大,在两导线中的电流必须大小相同,但方向相反。这也是为何映像平面(或接地线)能够如此有效的原因。在两条平行的导线之间,有共同的部份电感存在,而这些电感值会随着两导线的间距和长度之不同而变化(可以参考导线的技术规格)。当两平行导线的间距和长度都最小时,它们的共同的部份电感值会最大。
若在电源和接地平面之间以介电材料分开,此时「共同的部份电感」将扮演什么角色呢?同样的,只要这两个平面的间距很小,共同的部份电感值就会很大。此时,在电源平面上所测量到的射频讯号电流应该为零,因为它被大小相同、方向相反的射频回传电流抵销了。
此外,须注意的是,如果降低两导线之间的共同的部份电感值,不仅会减损映像平面的效应,而且会使两平面之间的电容值增加。
射频工程师养成培训教程套装,助您快速成为一名优秀射频工程师...

