- 易迪拓培训,专注于微波、射频、天线设计工程师的培养
电源完整性仿真理论基础
电源分配系统设计主要包括电压调整模块、去耦电容和电源/地平面三方面的设计。设计不当产生的后果是同步切换噪声(SSN),也被称为同步切换输出(SSO)或电源/地弹噪声。SSN主要是由封装和插座电感而引起的,我们把寄生电感看成是集总的。SSN是可以通过建模和仿真来模拟的。首先,我们来考虑一对平面,长为a,宽为b,厚度为d(<<λ)。上下两平面作为PEC(电壁),四周为PMC(磁壁),介电常数为ε,磁导率为μ。我们可以认为所建模型为波导,而波导系统一般都是高通系统,波导内可以传播很多模式,每一个模式都有一个截止频率,高于此频率,则该模式能在该波导内传播。但

是高次模一般到很高的频率,或遇到不连续点才会激发出来。这里之所以会产生高次模是因为我们所建立的模型不是无限大的,当电磁波传播到边界(四周PMC磁壁)不连续点时,就会产生反射,而导致谐振现象的产生。如果用每一点的阻抗来表示每一点的谐振情况,

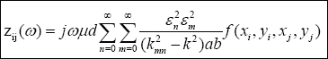
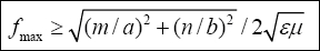
这里( x i y i )和( x j y j )分别代表两个端口的坐标。很显然n和m都是有限的,一方面是因为计算要合理,另外高次模都有截止频率的限制,zij (ω)是综合的阻抗,每一个谐振模式都会在zij (ω)频率图上激发出一个或几个脉冲,这是因为阻抗表达式这些模式上产生了一些极点。从这一点上说,和以前自己写的一篇文章所采用的矢量拟合方法很相似。那么要找的就是我们所关心的频率范围上合适的个数最少的组合模式来近似阻抗。用式子表示如下:

这里, f max就是我们所关心的最大频率。
我们必须注意几点:
(1)算出了最大m和n,并不是说更高的模式不会起作用,而只是说明影响小了一些。要想更精确,就要适当的加入更高的模式。
(2)一般情况下,采用了降低模式阶数技术后,计算出的阻抗,其虚部相对于其实部来说不是很精确,也就是说相对于测量会有更大的误差。
(3)就算是计算出了最大的m和n,也不能说明每一个模式组合都会起决定性的作用。
(4)如果有对称性的存在,会出现不同模式在相同的频率下产生谐振。
按照矢量拟合原理,我们可以通过频域阻抗来得到等效SPICE模型,但是我们并不清楚平面对的特性阻抗。就算知道,由原来的一维模型变成现在的二维模型,计算量会增加,而且模型会相当复杂。
当我们遇到的不是规则的长方形平面对时,可以用两种方法来解决这个问题,一种是分割成规则的长方形,分割后采用基尔霍夫电压电流定理是各个分割部分连接起来,连接个数越多越精确。另一种方法是补形成规则图形,然后
进行分析得到能量分配阻抗。
准确地计算能量分配阻抗有助于估计地弹噪声的大小和电磁干扰对数字系统的影响。为了解决上面两大问题,加退耦电容是必不可少的,因为加了它可以通过改变能量分配阻抗而减少地弹噪声和电磁干扰。改变了多少呢?由下面的式子可以知道,

这里, Z 是原来的能量分配阻抗,而'' Z 是加了去耦电容之后的, c Z 是去耦电容的阻抗。由此可知,加电容之后的阻抗,是原来的阻抗和电容阻抗的并联。用图表示如下,

由仿真可知,加退耦电容可以降低能量分配阻抗某些频率上的阻抗峰值,但可能也会在其他频率点上激发出新的阻抗峰值。如果我们把电源/地平面看成是集中电容,经仿真我们可以看到只有在很低的频率下,计算出的阻抗才与用分配系统算出的阻抗相一致。
在高速PCB设计中,电源完整性经常被设计工程师所忽略,最后达不到设计要求。无极线PCB预计,电源完整性问题将在未来成为信号完整性最主要的方面。
射频工程师养成培训教程套装,助您快速成为一名优秀射频工程师...
天线设计工程师培训课程套装,资深专家授课,让天线设计不再难...
上一篇:PCB清洗技术简介
下一篇:PCB
Layout
3W
&
20H
rule

