- 易迪拓培训,专注于微波、射频、天线设计工程师的培养
高速PCB板设计技术九
时间区域上的同样信息由图 24 表示。图的顶部表示源;图的底部表示负载端信号。注意,经过 5个完全的循环,信号的强度才衰减到输入极限以下。传输延迟从 2ns/ft到 5ns/ft。当t PD=3ns/ft 而且线长 6 英寸的时候,线的延迟就是 1.5ns。信号在从源传输后 13.5ns内都可以被认为是正确有效的。
图 24 时域上反射信号的表示:a)在源端 b)在负载端
图 25 终端匹配电阻的终接方式
上面例子里面讲的反射量对于大多数系统来说可能都太大了。必须采用某种技术来消除, 至少要减小反射。由于Z l =Z0 的时候反射就被消除,所以使得Z l =Z0非常必要。
要理解这些,必须要了解 PAL 设备的输入输出阻抗的特性。如前文提到的,输入阻抗比较高,当 CMOS 在 10kW 范围内时,双极(bipolar)就在 10kW 范围内。输出设备则一般有比较小的阻抗。
有两种中断方案:将 L Z 减小到Z0 以消除反射;或者将 Zs 增大到 Z0 以消除二次反射。在负载端并联一个电阻可以减小 ZL ——并联终端; 将源串联一个电阻可以增大Zs ——串联终端。
并联终端如图 25a。由于大多数设备的输入阻抗很高,Rl 可以做的与Z0 相等。
这样的设计方案有一个缺点:电流损耗(current drain)在高输出(HIGH-output)状态下很高。对一个 50Ω的终端,损耗可能会高达 48mA。大多数驱动器的额定电流是
I oh =3.2mA。很显然,这已经超出了设备可以承受并提供足够的Voh的水平。
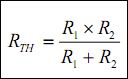
终端 Vcc 会有所帮助,因为一般来说,I OL 比I OH 高一些。但是,大多数为板极应用设计的 CMOS设备 (CMOS devices designed for board-level applications) 的驱动器额定电流IOL为 24mA或者更小。这仍然不足以提供足够的电流来支持一条低阻抗传输线需要的V OL 。如图 25b 使用 2 个电阻可以有效减小电流。这两个电阻分压,得到的 thevenin 电压为:

得到的 thevenin 电阻为:
尽管这是个不错的解决方案, 由于电阻放在 Vcc和地线之间, 所以电源供电电流比较高。 另外一个降低负载电流的方案是将电阻放在V OH 与V OL 之间的正电压之间(图 25c) 。从3v到 5v 流经一个 50w的电阻的电流,会比流经同一个电阻,但是从 3v 流到地线的电流小得多。这样不会给信号带来任何问题,因为 DC 的参考电压是 AC 地线。但是,找到一个可以飞快从 sinking 电流切换到 sourcing电流, 切换速度快得可以来得及回应传输 (respond to the transitions)的终端电压源,是很困难的。
射频工程师养成培训教程套装,助您快速成为一名优秀射频工程师...
天线设计工程师培训课程套装,资深专家授课,让天线设计不再难...
上一篇:如何突破高速PCB设计瓶颈
下一篇:高速PCB板设计技术十四

