- 易迪拓培训,专注于微波、射频、天线设计工程师的培养
高速PCB板设计技术八
2.4 反射定量化
由于信号线的长度已经足以使其被认为是一条传输线,反射信号的大小将依赖于 Z0 与ZL的差。numerical indicatior百分比,或者被返回的原信号,被称为反射系数(KR)。等于:
对于开路或者短路负载来说,全部的信号都反射了,没有衰减。 Kr在短路情况下是一个负值。这表示反射信号与原信号是反向的。
在一块印刷线路板上,估计出可遇见的不匹配是有可能的 0 Z 的范围一般是从 30Ω到150Ω。输入阻抗的范围从 10kW(对于双极设备)到 100kW 以上(对 CMOS 设备)。输出阻抗可以很小。一个 CMOS PAL 设备,比如 PALCE16V8,一般它的最低输出阻抗在电压0.2V,电流24mA时候得到,约为 8Ω;它的最高输出阻抗大约为 50Ω,和期望的 0 Z 差不多。
我们考虑一个比较早期的微波传输带,负载为一个 CMOS 设备。下面我们讨论在从高到低的传输过程中会发生些什么。 (what happens on the HIGH to LOW transition.)
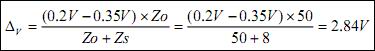
设备的输出阻抗(Zs)为:
我们可以从输出电流/电压曲线上得到更精确的数字:
负载的输入阻抗大于 100kΩ。这远大于 0 Z (67Ω) ,所以负载端的 Kr 几乎可以说等于 1. 源的 Kr为:
电源产生在 3.5V 到 0.2V 之间变化的信号。由于设备输出阻抗和 Z0 造成分压(voltage divider) ,所以产生出来的信号是:
源最后产生的信号是:
当信号传输到负载, Vl 比原来产生时候变化了-2.84V,经过反射,又变化了-2.84V。原来 Vl 等于 3.5V,现在则为-2.19V了。
信号就这样循环往复,每次都变得更小。图 23 表示了这种情况。左右的直线表示源和负载端的电压。带箭头的线表示信号传输和反射的量。

射频工程师养成培训教程套装,助您快速成为一名优秀射频工程师...
天线设计工程师培训课程套装,资深专家授课,让天线设计不再难...
上一篇:电路板设计中的阻抗匹配与0欧电阻
下一篇:高速PCB板设计技术十三

