- 易迪拓培训,专注于微波、射频、天线设计工程师的培养
高速PCB板设计技术六
2.1 传输线分类
因为我们讨论的主要是印刷电路板,可能的信号线种类可以归于两大类:带状线(strpeline)微波传输线(microstrip)(图 19)。带状线的信号线夹在两层电源平面之间。这样的设计技术可以得到最干净的信号,因为信号线的两面都受到保护。但是,这样的线是隐藏的,想轻易接触到信号线非常困难。微波信号线则将信号线放在朝外的平面层上。信号线的一端是地线平面。这样的设计技术使得接触信号线变得容易。
参数 C0,L0,Z0,tPD 和可以由信号线的物理尺寸以及制板物质的绝缘属性决定。下面我们将具体讨论。
2.1.1 对带状线来说:
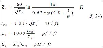
2.1.2 对微波传输线:
其中εr 表示制板材料的相对绝缘系数。 一般的制板材料是epoxy-laminated fiberglass, 它的εr是 5。 (国内常用的材料是 FR4 εr= 4.3 ~4.5)
例子:
覆铜厚度 t:线路和PCB板的尺寸由一些规则规定。一般来说,卖主提供的板子都是 1 oz 铜, 所以板子的金属厚度大约是千分之一英寸(1mil) 。
布线线宽 w:线路宽度应该在 8 至15 mil 之间。比 8 mil 更细的信号线很难控制。比 15 mil 更粗的信号线的阻抗则过大。一般信号线的宽度因该是 10 mil。
板间距离 h:则由需要的板子厚度,层数决定。比如,30 mil 就足够了。
介电常数εr :则绝缘材料确定。 基于这些假设,我们可以计算一条典型信号线的参数: w=10 mil(线宽) t=1mil(覆铜厚度) h=30 mil(厚度) εr =5。
根据式 2-4 可以计算出:
2.2 计算分散的负载
以上的计算都是讨论的那种在电路的一端集中接入负载的信号线(图 20) 。
如果负载分散在信号线上(图 21) ,负载设备的电容也分布在线上,使得线电容加大。这样的改变影响了 Z0 和 tPD。新的参数应该等于基于新加入的电容 CL 计算出来的原值(法拉/每单位长度) 。
分散负载通常来自内存插槽(in memory banks) 。这些设备的输入电容范围是 4pF 到12pF。下面的例子使用 5pF。内存设备的物理尺寸通常允许每英寸放置两个。那么额外的分布电容就是:
当负载分布时,阻抗明显减小,信号也会慢很多,这时的阻抗和时延见式 2-6

射频工程师养成培训教程套装,助您快速成为一名优秀射频工程师...
天线设计工程师培训课程套装,资深专家授课,让天线设计不再难...
上一篇:高速PCB板设计技术十一
下一篇:高速PCB板设计技术十

