- 易迪拓培训,专注于微波、射频、天线设计工程师的培养
高速PCB板设计技术二
1.1.3 线路噪声过滤
仅仅电源位面系统无法减小线路噪声。由于不论使用怎样的电源分配方案,整个系统都会产生足够导致问题发生的噪声,额外的过滤措施是必需的。这一任务由旁路电容完成。一般来说,一个 1uf-10uf 的电容将被放在系统的电源接入端,板上每个设备的电源脚与地线脚之间应放置一个 0.01uf-0.1uf 的电容。
旁路电容就是过滤器。放在电源接入端的大电容(约 10uf)用来过滤PCB板产生的低频(比如 60hz 线路频率) 。板上工作中的设备产生的噪声会产生从 100mhz 到更高频率间的合共振(harmonics) 。每个芯片间都要放置旁路电容,这些电容比较小,大约 0.1u 左右。
由于我们的目的是过滤掉电源供应中的 AC 成分,所以电容似乎越大越好,最大限度的减小了阻抗。但是,这样想没有考虑到现实条件的电容并不具有理想条件下的那些特性。理想条件下的电容,如图 3a,实际的电容则如图 3b。
图 3 电容模型
电阻和电感是由组成电容的金属板和石墨板造成的。由于它们寄生于电容,于是被称为等级电阻(ESR)和等级电感 (ESL),因此电容是一系列共鸣的电路,因为:
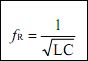
由图4a看出,在小于FR的时候,它是电容性的,而大于FR的时候,它是电感性的。
a) 电容阻抗与频率的关系
b) 在同等结构之下减小电容容量的效果
图4 频率于电容阻抗的关系
因此,电容器更像一个针对一个带宽的过滤器(band-reject filter),而不是一个高频过滤器(high-frequency-reject filter.)。
举个例子来说,一个10u的用作板电源连接的电容通常是由一卷用绝缘材料隔开的金属帛组成(图5)。这样造成了很大的ESL和ESR。由于ESL很大,FR一般在1MHz以下。它们是良好的对付60赫兹噪声的过滤器,但是对于100MHZ及更高频率的跳变(swtching)噪声就不太理想了。
容量>uF电容的内部结构
图5 大电容的结构
ESK,ESR决定于制造电容的绝缘材料和电容构造,而不是电容的大小。想要降低高频噪声,凭借相同种类的大电容是无法解决的。在低于一个小电容的FR的时候,一个大电容的阻抗比这个小电容的阻抗要小,但是当高于FR的时候,ESL占据了主导,这时候大电容与小电容的阻抗没有区别(图4b)。因为仅仅电容值改变了,除非电容的构造改变,否则ESL不会改变。若要过滤高频,必须用一个ESL低的电容替换当前的电容。
为了不同的频率及应用,有不同种类的电容可供选择,表格1给出一些介绍:
表1 推荐在不同频率下使用的旁路电容表
低ESL电容通常由非铁磁材料制成,有较小的电压-电容乘积。所以,制造具有实用的崩溃电压(防止板漏)的大电容是很困难的。不过,由于较好的过滤特性,大值电容可能并不需要。 图6比较了一个C0G型号0.01uF的电容和一个另外种类0.1uF的电容。 我们发现0.01uF电容在频率高时过滤得比较好。
图 7 几种电容的滤波效果
电容器图向我们显示, 每种电容器都有一个有限的频率有效范围。 一个系统既有低频噪声,又有高频噪声,为此,我们希望能够将频率有限范围扩大。为实现这一目的,我们可以将一个高电容,低ESL的设备与一个低电容,极低ESL的设备并联。图7显示这样做可以显著提高有效过滤频率范围。
图 7 X7R 与C0G两种结构电容的频率响应
1.1.4 旁路电容的放置
选择好过滤电容之后, 需要将它们放置到板子上。 图8a描述低速板放置电容的一般标准。电容应放在接近设备的顶部以保证其有效性。虽然画图很简单,但是这样并不能提供最快的系统性能。
我们注意到VCC电容很接近芯片接VCC的位置,但是接地端却很远。因为噪声在一个电源平面上并不是均衡的,电容并不过滤芯片导线(chip leads)产生的噪声;它只过滤芯片附近的噪声。
为达到良好的性能,应该使芯片与电容在同一点上接VCC和接地。因为电容的尺寸与芯片的尺寸是不同的,所以有必要从VCC和地线接入点分别引两条线到电容器。如图8b。这些“延长导线”放在无电源平面上,而且越短越好。通常,最好将电容放在板子的正对面,芯片的正下方。一个表贴芯片放在那里可以得到很好的工作效果。
注意:从电容到电源管脚布下的“延长导线(lead extension)”可能占用了原本用来布信号线的位置。但是,现在就在布置(routing)信号线花费一些额外的精力可以减少以后为减小噪声需要做的工作。
对于有多个VCC和地线管脚的设备,最佳的旁路取决于设备本身。特别决定于电源管脚是否是内部连接的(connected internally)。对于这样的设备,只需要旁路一个地线管脚到一个VCC管脚。 若电源在内部是分散开的, 这些分开的VCC管脚需要分别去耦 (decoupled) 。总体来说,最好与设备供应商联系,听取他们的建议。
射频工程师养成培训教程套装,助您快速成为一名优秀射频工程师...

