- 易迪拓培训,专注于微波、射频、天线设计工程师的培养
混合信号电路PCB设计一
摘要:混合信号电路PCB设计很复杂,元器件的布局、布线以及电源和地线的处理将直接影响到电路性能和电磁兼容性能。本文介绍的地和电源的分区设计能优化混合信号电路的性能。
如何降低数字信号和模拟信号间的相互干扰呢?在设计之前必须了解电磁兼容(EMC)的两个基本原则:第一个原则是尽可能减小电流环路的面积;第二个原则是系统只采用一个参考面。相反,如果系统存在两个参考面,就可能形成一个偶极天线(注:小型偶极天线的辐射大小与线的长度、流过的电流大小以及频率成正比);而如果信号不能通过尽可能小的环路返回,就可能形成一个大的环状天线(注:小型环状天线的辐射大小与环路面积、流过环路的电流大小以及频率的平方成正比)。在设计中要尽可能避免这两种情况。
所有电流必须有流回源的回路。该回路的产生会自动寻找最小阻抗的路径。通常在具有电源/地层平面的PCB结构中,会直接在信号线下方的平面上(电源或地)。该回流信号(电流)与原信号(电流)幅度相同、方向相反。

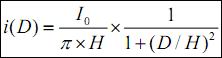
I0 — 信号总电流,A
H — 信号线到参考平面的距离,m
D — 观测点到信号线中心的垂直距离,m
i(D) —观测点的回流电流密度,A/in
一:分割
有人建议将混合信号电路板上的数字地和模拟地分割开,这样能实现数字地和模拟地之间的隔离。尽管这种方法可行,但是存在很多潜在的问题,在复杂的大型系统中问题尤其突出。最关键的问题是不能跨越分割间隙布线,一旦跨越了分割间隙布线,电磁辐射和信号串扰都会急剧增加。在PCB设计中最常见的问题就是信号线跨越分割地或电源而产生EMI问题。

如图1所示,我们采用上述分割方法,而且信号线跨越了两个地之间的间隙,信号电流的返回路径是什么呢?假定被分割的两个地在某处连接在一起(通常情况下是在某个位置单点连接),在这种情况下,地电流将会形成一个大的环路。流经大环路的高频电流会产生辐射和很高的地电感,如果流过大环路的是低电平模拟电流,该电流很容易受到外部信号干扰。最糟糕的是当把分割地在电源处连接在一起时,将形成一个非常大的电流环路。另外,模拟地和数字地通过一个长导线连接在一起会构成偶极天线。
同时要注意以下两点:
参考平面的开槽,不适当的参考平面的开槽,将增加信号的环路面积。

射频工程师养成培训教程套装,助您快速成为一名优秀射频工程师...

