- 易迪拓培训,专注于微波、射频、天线设计工程师的培养
PCB层压涨缩的定义
录入:edatop.com 点击:
在印制电路板的生产制造过程中,层压是其中最为重要和关键的工序,涨缩问题又是层压工序最为重要的制程能力指标,因此,当印制线路板朝着高层高密度、小间距BGA发展时,如何控制好层压的涨缩进而提升对位精度能力就变得非常关键。例如,IC测试板、高多层背板、大尺寸背板、高阶HDI板等等高端PCB产品对层间对位精度要求均较高。
本文易迪拓培训(edatop.com)将为大家介绍什么是PCB层压涨缩,更多关于PCB层压涨缩的相关阅读请看文末的链接。
通常,我们对于层压的涨缩问题分为位移、大小、角度三个方面进行描述,为了更好的表征涨缩相关的量化值,我们选取PCB板的两个点作为建立坐标系的基准,一点选作为原点,另一点选作为+X方向的基准点,然后过原点做垂直线当作Y方向,其次是PCB板中任意一点P(x,y)在经过层压后变为Pˊ(xˊ,yˊ)点,那么其层压涨缩向量即为:

下图为选择PCB板左下角为原点、正右侧方一点为+X方向的情况:

根据上图描述的定义,那么PCB层压涨缩的几个量化指标均可通过如下公式进行定义:整板位移(积分范围即为整个PCB板面区域)

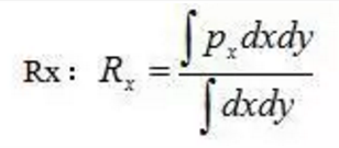
整板X方向位移:

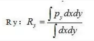
整板Y方向位移:

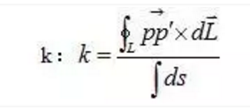
整板大小变化率:

分子为沿着PCB板外框的路径积分,分母为常规的面积积分,积分范围为整个PCB板面区域。
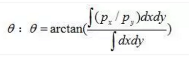
整板旋转角度:

相关阅读:《PCB层压涨缩微元化》、《PCB板层压涨缩规律探讨》
射频工程师养成培训教程套装,助您快速成为一名优秀射频工程师...
射频和天线工程师培训课程详情>>

