- 易迪拓培训,专注于微波、射频、天线设计工程师的培养
Protel DXP 的电路仿真设计
随着计算机技术的迅速发展,各种电子自动化设计( EDA) 软件层出不穷。在设计过程中利用这些仿真工具构建电路、修改元器件参数、实现对具体电路随时随地进行实验仿真和功能验证,极大地方便了电子工程师的设计工作。这些仿真软件中影响较大的有MicroSim 公司的PSPICE 以及Interactive Image Technologies 公司的Electronics Workbench ,它们都是专用电路仿真软件。但电路仿真是电子电路设计中的一个重要环节,许多EDA 软件都内嵌了电路仿真测试功能。Protel DXP 就是一种将所有设计工具集成于一身的EDA 设计系统。
1 Protel DXP 电路仿真概述
基于最新的Spice 3f5 模拟模型和XSPICE Simcode 数字模型仿真内核, Protel DXP 内嵌一个功能强大的A/D 混合信号仿真器,设计人员在进行原理图设计输入后,即可正确地仿真模拟和数字器件而无需通过A/D 转换或D/A 转换将其转换到其他模块中进行。它可以对当前所画的原理图进行仿真,在整个设计周期都可以查看和分析电路的性能指标,及时发现设计中所存在的问题并加以改正。设计者能够准确地分析电路的工作状况,从而提高电路的设计工作效率、缩短开发周期、降低生成成本。
2 Protel DXP 电路仿真设计的一般步骤
电路仿真是指在计算机上通过软件来模拟具体电路的实际工作过程,并计算出在给定条件下电路中各节点(包括中间节点和输出节点) 的输出波形。电路仿真是否成功,取决于电路原理图、元件模型的仿真属性、电路的网表结构以及仿真设置等。Protel DXP 执行混合信号仿真的设计流程如图1所示。
图1 电路仿真流程
a ) 原理图设计: 首先, 新建一个原理图文件*.schdoc ,打开编辑环境,与普通原理图大致相同;然后,打开Libraries ,加载必要的元器件库,添加元器件并设置参数,这里所有的元器件都必须具有Simulation 仿真属性,否则仿真时将出现错误信息,在DXP中假定所有元器件都是理想元器件;最后,用导线进行电气连接或网络标号,对整个电路进行编译ERC 校验,确保整个电路没有错误。
b) 设置仿真环境: 执行菜单命令,打开Analysessetup 对话框,设置仿真方式并指定要显示的数据,DXP 提供10 种分析仿真方式,包括直流工作点、直流扫描、交流小信号、瞬态过程、Fourier 、噪声、传输函数、温度扫描、参数扫描以及蒙特卡罗分析等。
c) 仿真:设置仿真环境后单击OK 按钮,系统进行电路仿真,生成一*.sdf 文件,同时打开窗口显示分析结果。
d) 分析结果:观察电路仿真结果,分析仿真波形是否符合电路设计要求,如果不符合,则重新调整电路参数进行仿真,直到满意为止。
3 实例仿真分析
以图2 所示的分压式偏置电路放大器为例进行性能分析。
分析分两步进行:首先进行直流分析(静态分析) ,求出晶体管各极的静态工作点电压和电流IB、IC、IE、VB、VC、VE 等,使晶体管大致处于放大区中心处;然后进行交流分析(动态分析) ,即在输入信号作用下求出静态工作点上叠加的各极信号电压和电流,计算放大器的性能指标,其中最基本的是电压放大倍数Au(电压增益) 、输入电阻和输出电阻等,这里主要介绍Au 。在各种电子设备中,放大器是必不可少的组成部分。
3.1 工程近似估算
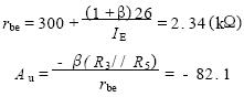
1) 静态分析
因β= 128 ,则有:
2) 动态分析
(相位差为180°)
3.2 Protel DXP 仿真分析
按图2 电路编辑仿真原理图,添加适当的元器件(必须具有仿真属性) ,设置仿真参数,执行Design/Simulation/ Mixed Sim 菜单命令,设置仿真环境。
1) 静态分析
在Analysis/ option 栏中选择Operating Point Analysis (工作点分析) 仿真方式,Active Signals 中选择b、c、e、q[ib]、q[ic]、q[ie]为激励信号,单击OK 按钮,得到如图3 所示的仿真结果。
图3 静态点仿真结果
2) 动态分析
执行同样菜单命令,在对话框中选择Transient/Fourier Analysis (瞬态分析) 仿真方式,设置相应仿真参数,选择in、out 为激励信号,单击OK 按钮,得到如图4 所示的仿真波形。
图4 动态分析仿真结果
添加测量坐标显示测量数据:输入交流信号幅度为10 mV ,输出交流信号幅度为0.77 V ,所以电压放大倍数为77 ,且输入和输出信号波形之间相位相反。分析图3 和图4 仿真结果,与工程近似估算值大致相近,仿真正确。
4 结束语
本文介绍运用Protel DXP 软件对分压式偏置电路放大器进行模拟分析,可看出,Protel DXP 是一个实用的EDA 工具,它提供的电路仿真器虽然简单但基本上能满足板级电路的设计要求。在设计、编译、仿真的实践过程中若能灵活运用,扬长避短,总结经验,运用Protel DXP 总能解决许多实际问题,为设计带来方便。
射频工程师养成培训教程套装,助您快速成为一名优秀射频工程师...

