- 易迪拓培训,专注于微波、射频、天线设计工程师的培养
解决电源模块散热问题的PCB设计方法
电源系统设计工程师总想在更小电路板面积上实现更高的功率密度,对需要支持来自耗电量越来越高的FPGA、ASIC和微处理器等大电流负载的数据中心服务器和LTE基站来说尤其如此。为达到更高的输出电流,多相系统的使用越来越多。为在更小电路板面积上达到更高的电流水平,系统设计工程师开始弃用分立电源解决方案而选择电源模块。这是因为电源模块为降低电源设计复杂性和解决与DC/DC转换器有关的印刷电路板(PCB)布局问题提供了一种受欢迎的选择。
本文讨论了一种使用通孔布置来最大化双相电源模块散热性能的多层PCB布局方法。其中的电源模块可以配置为两路20A单相输出或者单路40A双相输出。使用带通孔的示例PCB设计来给电源模块散热,以达到更高的功率密度,使其无需散热器或风扇也能工作。

图1:包括两个20A输出的ISL8240M电路
那么该电源模块如何才能实现如此高的功率密度?图1电路图中显示的电源模块提供仅有8.5°C/W的极低热阻θ,这是因为其衬底使用了铜材料。为给电源模块散热,电源模块安装在具有直接安装特性的高效导热电路板上。该多层电路板有一个顶层走线层(电源模板安装于其上)和利用通孔连接至顶层的两个内埋铜平面。该结构有非常高的导热系数(低热阻),使电源模块的散热很容易。
为理解这一现象,我们来分析一下ISL8240MEVAL4Z评估板的实现(图2)。这是一个在四层电路板上支持双路20A输出的电源模块评估板

图2:ISL8240MEVAL4Z电源模块评估板
该电路板有四个PCB层,标称厚度为0.062英寸(±10%),并且采用层叠排列,如图3所示。

图3:ISL8240M电源模块使用的四层0.062”电路板的层叠排列
该PCB主要由FR4电路板材料和铜组成,另有少量焊料、镍和金。表1列出了主要材料的导热系数。
SAC305* 是最流行的无铅焊料,由96.5%锡、3.0%银和0.5%铜组成。 W = 瓦特,in = 英寸,C = 摄氏度,m = 米,K =开氏度
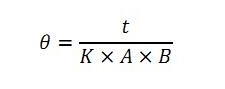
我们使用式1 来确定材料的热阻。

式1:计算材料的热阻
为确定图3中电路板顶部铜层的热阻,我们取铜层的厚度(t)并除以导热系数与截面积之积。为计算方便,我们使用1平方英寸作为截面积,这时A=B=1英寸。铜层的厚度为2.8密耳(0.0028英寸)。这是2盎司铜沉积在1平方英寸电路板区域的厚度。系数k是铜的W/(in-°C)系数,其值等于9。因此,对于这1平方英寸2.8密耳铜的热流,热阻为0.0028/9=0.0003°C/W。我们可使用图3显示的每层尺寸和表1中的相应k系数,来计算每层1平方英寸电路板区域的热阻。结果如图4所示。

图4:1平方英寸电路板层的热阻
从这些数字,我们可知33.4密耳(t5)层的热阻是最高的。图4中的所有数字显示了从顶层至底层的这四层1平方英寸电路板的总热阻。如果我们添加一个从电路板顶层至底层的通孔连接会怎样?我们来分析添加该通孔连接的情况。
电路板使用的通孔的成孔尺寸约为12密耳(0.012英寸)。制造该通孔时先钻一个直径为0.014英寸的孔,然后镀铜,这会在孔内侧增加约1密耳(0.001英寸)厚的铜壁。该电路板还使用了ENIG电镀工艺。这在铜外表面上增加约200微英寸镍和约5微英寸金。我们在计算中忽略这些材料,只使用铜来确定通孔的热阻。
式2是计算圆柱形管热阻的公式。

式2:计算圆柱形管热阻
变量l是圆柱形管的长度,k是导热系数,r1是较大半径,r0是较小半径。
对12密耳(直径)成孔使用该式,我们有r0=6密耳(0.006英寸)、r1=7密耳(0.007英寸)和K=9(镀铜)。

图5:12密耳通孔的表面尺寸
变量l是通孔的长度(从顶面铜层到底面铜层)。电路板上焊接电源模块的地方没有阻焊层,但对其他区域,PCB设计工程师可能要求在每个通孔的顶部放置阻焊层,否则通孔上面的区域会空缺。由于通孔只连接外铜层,所以其长度为63.4密耳(0.0634英寸)。总通孔长度本身的热阻是167°C/W,如式3所示。

式3:计算一个通孔(12密耳)的热阻
图6列出了连接电路板各层的每段通孔的热阻。

图6:连接电路板各层的通孔段的热阻
请注意,这些值只是一个通孔本身的热阻,并未考虑穿过电路板的每一段与围绕它的材料是横向连接的。
如果我们分析图4中各个电路板层的热阻值,并将它们与一个通孔的热阻值进行比较,似乎该通孔的热阻比每层的热阻高很多,但是请注意,一个通孔只占1平方英寸电路板区域的1/5000不到。如果我们决定比较更小的电路板区域,比如0.25英寸x0.25英寸(这是前面电路板区域的1/16),则图4中的每个热阻值将增加到原来的16倍。例如,t4和33.4密耳厚FR4层的热阻会从5.21875°C/W增加至83.5°C/W。仅对该0.25英寸x0.25英寸区域添加一个通孔就会使穿过该33.4密耳FR4层的热阻减少近一半(83.5°C/W和90.91°C/W)。0.25英寸x0.25英寸方块的面积是一个通孔的面积的约400倍。那么如果在该区域布置16个通孔会怎样?与一个通孔相比,所有平行通孔的有效热阻将减小16倍。图7比较了各个0.25英寸x0.25英寸电路板层与16个通孔的热阻。0.25英寸x0.25英寸电路板的33.4密耳厚FR4层的热阻为83.5°C/W。16个平行通孔具有5.6821°C/W的等效热阻。
这16个通孔只占0.25英寸x0.25英寸电路板区域面积的不到1/25,但可显著减小从顶面到低层的热阻连接。

图7:热阻值比较
请注意,当热向下流过通孔并达到另一层时,特别是另一个铜层时,其将横向扩散到该材料层。添加越来越多通孔最终会降低效果,因为从一个通孔横向扩散到附近材料的热最终会与来自另一个方向(源自从另一通孔)的热相遇。ISL8240MEVAL4Z评估板的尺寸是3英寸x4英寸。电路板上的顶层和底层有2盎司铜,还有两个内层各包含2盎司铜。为使这些铜层发挥作用,电路板有917个12密耳直径的通孔,它们全都有助于将热从电源模块扩散到下面的铜层。
结束语
为适应电压轨数目的增多和更高性能的微处理器和FPGA,诸如ISL8240M电源模块等先进的电源管理解决方案,通过提供更大功率密度和更小功耗来帮助提高效率。通孔在电源模块PCB设计中的最优实现,已成为实现更高功率密度的一个越来越重要的因素。
射频工程师养成培训教程套装,助您快速成为一名优秀射频工程师...
天线设计工程师培训课程套装,资深专家授课,让天线设计不再难...
上一篇:LED日光灯电路板设计常见问题剖析
下一篇:为什么SMT贴片工厂不愿意接小量的单?

