- 易迪拓培训,专注于微波、射频、天线设计工程师的培养
一种基于软件重采样的频率测量方法
引言
频率是电力系统提供电能质量的重要技术指标之一,频率测量是电力系统运行、控制和调节的基础。当前,电力系统中频率测量方法有硬件和软件两类。传统的硬件测量由过零比较器、方波形成电路和计数器构成,需要增加硬件测频电路,容易受器件零点漂移和高次谐波的影响,并且占用计算机外部中断口。在软件测频算法中,目前已经提出了许多不同的频率测最算法,它们各有优缺点。过零点算法和cross算法易受谐波和噪声影响,它们引起的过零点变化会导致测频误差;最小二乘法可消除噪声影响,但对谐波敏感;卡尔曼算法计算量大,不利于实时应用;基于傅里叶滤波的测频算法具有较强的滤波能力,而且计算数据还可用于电压幅值的测量,具有较好的实用性。满足采样定理的采样数据经傅里叶运算就可得相应的电压、电流有效值及相位值。但实际上即使系统正常运行,频率也不固定,而是在额定频率附近波动。因此,使用固定采样频率下的数据进行计算必会有一定的偏差,不能保证每周期所采点数为整数个,使相应的傅里叶算法也产生一定的误差。要精确测量这些参数,减少频率波动导致的测量误差,就需要自动改变采样频率来消除其影响。
l基于傅里叶滤波的测频算法
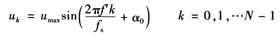
设电力系统的电压模型为:![]()
式中:Umax为基频分量幅值;A0,A1,…为各次谐波分
量。
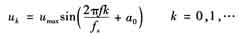
采样后离散化采样序列为:![]()
式中:fs为系统的采样频率。
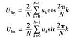
其DFr(离散傅里叶变换)的基波向量的实部、虚部分别为:
相角为:
若系统频率恒定,每周期采样后所得向量在复平面内保持不变,若系统频率变化△f,向量在复平面内就以2π△f的角速度旋转。因此,可通过检测向量相角的变化,实时测出频率的变化量,从而实时修正采样频率。设相邻两个周期的向量为z1=a1+jb1;z2=a2+jb2,频率变化所引起的相角差为△φ,两向量的时间间隔为T,则有△φ=2πΔfT。新的待测系统频率为:f2=f1+Δf=f1+△φ/(2πT)。然后即可据此改变采样频率,跟踪系统的实际频率。当前所提出的各种方法大都需要改变硬件的采样频率,以期构成一个频率跟踪的负反馈系统,这样无形中增加了系统的复杂性。以下讨论一种软件重采样的方法,同样达到了改变采样频率的目的。 2软件重采样的实现
重采样技术是从一种数字信号采样得到另一种数字信号,可以用专门的硬件实现,也可以用软件方法实现,这对于提高系统的可靠性和缩短开发周期都是有利的。应用软件重采样技术还可以有效地降低定时采样信号在频域变换中产生的频谱泄露现象,这对后继的数据分析也是有好处的。
设有一个周期的采样序列:
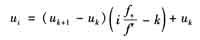
采样频率为f通常为工频的整数倍。设前一周期的测量频率为.f,本周期与前一个周期的相角差为△φ,以此相角差修正测量频率为f=f′+Δf=f′+△φ(2πT)。由于傅里叶算法的频率分辨率为.fs/N,为了使傅里叶算法的基频落在.f上,既可以改变用于计算的点数N,也可以改变fs,但由于Ⅳ为整数,其引起的误差必然比改变.fs的误差要大,因此,我们选择改变fs。
此时可将下一个周期的采样频率改为Ⅳ厂,因而在不改变硬件采样频率的情况下对此序列进行重采样,两个采样点之间的时间间隔为1/(Nf),设第i个点将落在原硬件采样序列的第k和k+1个点之间,其中k=「i(fs/(Nf)」,对其进行线性插值,则第i个点的值为:
![]()
由此得到一个新的采样序列u′,对新序列进行傅里叶运算,并利用此算法得到的相角对频率进行修正即可。
对于多通道数据采集来说,由于各个独立通道问的初始相角不一致或频率变化不同,各通道间重采样后的起始周期位置各不相同,即它们的每个周期的起始时问点是不一致的,这对于需要多个通道数据进行计算的电量来说是不允许的,如功率的计算,因此必须将其时间点折算到同一点。设重采样后的结束点落在原采样序列中的点为k,当前测得的频率为.f,本周期的初始相角为Φ则归算到第1点的相角Φ′=Φ一(N一k)/(N×2π);同样,将另一个通道也归算到同一个时间点即可进行计算。 当基波频率偏离默认频率较多时,由于傅里叶算法的频率分辨率为fs/N,增大计算的采样点数就可以有更小的频率分辨率,因此,为了更快地确定本采样序列的基频,可以增大第1次计算时的采样点数,在此基础上进行频率跟踪。
3算法仿真
为估计算法的计算误差和验证算法的可行性,对算法进行了离线仿真计算。仿真计算结果如图1及表l所示。


4结束语
本文提出的应用软件重采样的实时测频算法抗干扰能力强、测量精度高、动态跟踪速度快,对电力系统频率的各种动态过程适应性强,可广泛应用于相量或频率测量装置中。数值仿真结果表明,其测量精度完全满足安全自动装置的要求。且该算法不需要任何附加的硬件测频电路,已成功地应用于我们研制的微机型故障录波装置中,具有较好的实用价值。
射频工程师养成培训教程套装,助您快速成为一名优秀射频工程师...

