- 易迪拓培训,专注于微波、射频、天线设计工程师的培养
基于DMFT的LFM信号参数估计
摘要:线性调频信号是低截获概率雷达常用的一种信号形式,如何在低信噪比情况下检测线性调频信号一直是人们
研究的焦点之一。在离散匹配傅里叶变换的基础上对算法进行改进,并利用改进后的算法分别对单分量和多分量线性调频信号进行仿真,仿真结果表明离散匹配傅里叶变换能够在低信噪比情况下比较准确地估计出线性调频信号的参数,不存在交叉项问题。离散匹配傅里叶变换是一种针对线性调频信号有效的参数估计方法。
关键词:离散匹配傅里叶变换;线性调频;参数估计;低信噪比
线性调频(LFM)信号是低截获概率雷达常用的一种信号形式,对LFM信号检测和参数估计一直备受人们的关注。针对该信号的处理方法有短时Fourier变换、Wigner―Ville变换、分数阶Fourier、Hough―Wigner等,都存在分辨率不够高,交叉项严重或者运算量太大的问题。而匹配傅里叶变换是一种线性变换,不存在多分量信号交叉项的影响,能在低信噪比条件下检测信号,而且分辨率很高,是一种针对线性调频信号有效地进行参数估计的方法。
l LFM信号形式
LFM信号的复数形式表示为:
![]()
式中,A(t)为信号包络函数,f0为中心频率,k0=B/T为调频斜率,B为调频带宽,T为信号持续时间。
对于实际需要处理的信号,都是经过采样的离散信号。LFM信号的离散形式为:

式中,Ts为采样时间间隔,如果信号持续时间为T,那么采样点数N=T/Ts。
2 DMFT基本原理
LFM信号t(t)的匹配傅里叶变换有如下两种形式:

称式(3)和式(4)分别为二阶匹配傅里叶变换和二步匹配傅里叶变换,对应其离散形式为:

由式(5)计算得到的谱图可称为离散二阶匹配傅里叶变换谱,其中k不为零,它表示了不同基条件下的匹配傅里叶变换;由式(6)计算得到的谱图可称为离散二步匹配傅里叶变换谱,它表示在不同频率补偿条件下信号的匹配傅里叶变换。
无论对离散二阶匹配傅里叶变换谱还是离散二步匹配傅里叶变换谱,在对应于信号(f0,k0)的位置上,信号能量会发生聚集,在谱上表现为尖峰。在匹配傅里叶变换谱分布图上进行二维搜索,尖峰的坐标(f0,k0)即为该LFM信号的线性频率f0和线性调频斜率k0。
由于离散二阶匹配傅里叶变换和离散二步匹配傅里叶变换具有不同的分辨率,通过文献表明二步匹配傅里叶变换总是有比二阶匹配傅里叶变换更高的分辨率,因此下面的分析都采用离散二步匹配傅里叶变换进行LFM信号的检测和参数估计。
3 算法改进
对离散匹配傅里叶变换的二维搜索求极大值可以在低信噪比条件下获得较高精度的信号参数。但是当信号带宽增加,采样频率提高时,采样点数增加,运算量增大。下面从减少运算量的角度进行算法改进。对离散之后的信号进行离散匹配傅里叶变换,借助傅里叶变换的快速算法思想,实现离散匹配傅里叶变换的快速算法。对于长度为N的线性调频信号序列x(n),其N点离散匹配傅里叶变换定义如下:

其实质是将一个输入一维时间序列x(n)变换为关于线性频率和调频斜率的二维序列Xc(f,k),其中f为线性调频信号的初始频率,k为调频斜率。从式(7)可以看出,对于每一个固定的调频斜率k来说,{Xc(f,k)}0≤f,k≤N-1是信号x(n)WknN2的DFT;当调频斜率k=0时式(7)就转变为DFT。对式(7)进行改进得:

{Xc(f,k)}0≤f,k≤N-1的计算可以通过x(n)WknN2的快速傅里叶变换得到。在式(7)中需要N3次复数运算,经过式(8)变换,运算量减小为N2/2log2N,提高了运算速度。为了提高该算法的估计精度,还可以在搜索范围内多次估计,分为粗估计和精估计。即首先在搜索范围内选择大步长,估计出信号参数,然后再在估计值邻近的区域内改变搜索步长重新估计,从而达到需要的精度要求。
4 仿真实验
4.1 单分量LFM信号仿真
先对单分量LFM信号s(t)进行参数估计,s(t)=exp[j2π(f0t+1/2k0t2)],经过下变频的信号线性频率f0=200 MHz,信号时宽T=5μs,以带宽200 MHz的信号进行仿真,比较在不同信噪比条件下信号参数估计的结果,如图1所示。[p]

表l为B=200 MHz时不同信噪比情况下初始频率和调频斜率的测量值与其对应真值(f0=200 MHz,k0=4.0×1012Hz/s)的绝对误差。

从以上结果可以看出,该方法对信号参数的估计有较高的精度,在SNR=一15 dB的情况下还能估计信号参数,这是一般的时频分析方法不能比拟的。SNR低于一15 dB时,参数估计绝对误差将逐步增大,信号经过离散匹配傅里叶变换淹没在随机噪声中,无法正确检测信号。
4.2 多分量LFM信号仿真
离散匹配傅里叶变换是一种线性变换,所以在对多分量信号进行分析时不会产生交叉项。但是信号中强分量LFM信号的旁瓣可能大于弱信号的主瓣峰值,影响到多分量LFM信号的分辨和参数估计。为了解决这个问题,借助“Clean”的思想:首先计算多分量LFM信号的离散二步匹配傅里叶变换,然后进行二维搜索找极大值。并根据峰值的位置和大小估计最强LFM信号分量的幅度、初始频率和调制斜率,然后由上述参数重构LFM信号并从信号之减去,最后将处理过的信号重复上述过程估计下一个LFM信号的参数。
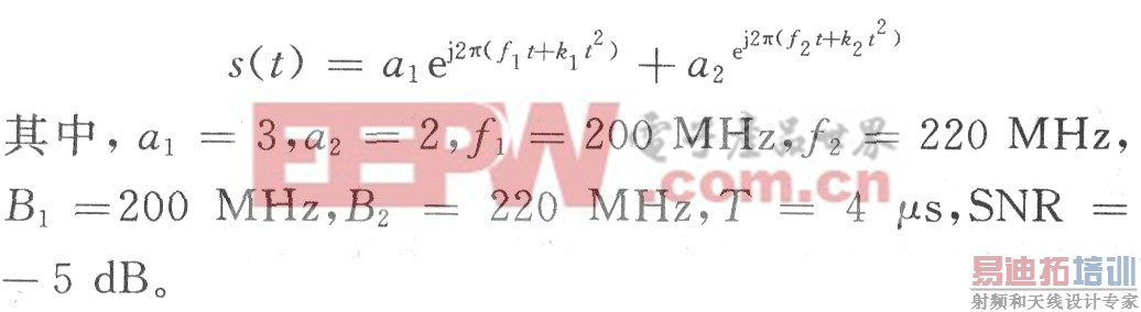
多信号的参数估计仿真采用如下信号:

进行第一次DMFT之后信号频谱如图2所示,只出现强信号分量的一个峰值,弱信号的峰值淹没在强信号分量的旁瓣中。此时,在图2中搜索谱峰最大值,得出强信号的分量:f1=2.002x108,k1=4.96x10 13,
一个分量s1(t),得到剩余信号s2(t),再进行一次二步DMFT,对其余LFM信号分量估计,得到如图3所示结果,估计得到第二个分量的参数:f2=2.197×108,k2=5.53×1013,a2=1.89。

上面的仿真结果表明,离散匹配傅里叶变换结合“clean思想是一种检测多分量LFM信号的有效的方法。仿真进一步表明,当较小分量的信噪比不小于一15 dB时,LFM信号的参数估计能达到较高的精度。随着信噪比的进一步降低,参数估计精度将下降,无法正确估计信号的参数。
5 结 语
首先介绍了LFM信号的形式以及DMFT的基本原理,然后从减小运算量的角度对DMFT算法进行改进,最后分别对单分量和多分量LFM信号进行Matlab仿真,结果表明,DMFT能够在低SNR情况下估计出LFM信号的参数,不存在多分量信号交叉项问题,而且运用本文改进的算法运算量较小,在对低截获概率雷达信号的处理中将有广阔的应用前景。
射频工程师养成培训教程套装,助您快速成为一名优秀射频工程师...

