- 易迪拓培训,专注于微波、射频、天线设计工程师的培养
在微处理器复位IC中调节滞回(08-100)
基于微处理器的系统往往包括一个3引脚的微处理器复位IC。这些器件用于监测单电源供电电压,并在欠压情况下提供一个系统复位信号。一般来说,这种IC具有固定的滞回电压(在VCC上升和下降时门限值电压的差异),利用一个简单电路(图1)可以调整这个电压,提高设计灵活性。
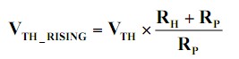
随着VIN上升到1.0V以上,/RESET输出为低电平,表明输入电压低于监测门限。电流从VIN经过RP到内部的MOSFET驱动器,然后经过RH到GND,在RH上产生一个偏移电压。由于内部的电压基准以GND为参考,偏移电压加到了VCC上升时的门限值。新的上升门限值可以计算如下:
当VIN上升并跨越这一门限,而且保持时间超出复位周期时,/RESET解除复位状态,流经RH的电流下降,使VCC门限值恢复到标称值。
假定一个微处理器复位IC(MAX6383XR31D1)的复位门限为3.08V,上拉电阻(RP)为10kΩ。如果希望上升时的门限为3.18V(100mV滞回),由上述方程可以得到RH(忽略供电电流和MOSFET输出驱动器导通电阻的影响),为324.68Ω。最接近的1%标准电阻是324Ω。
示波器图片(图2)显示了电路的工作状态。测量到上升时的门限值为3.1984V,下降时的门限值为3.0891V,产生109.3mV滞回。9.3mV差异(相对计算值100mV)主要是由MOSFET的导通电阻、器件供电电流以及电阻误差所致。
注意,RH会把滞回电压添加到/RESET输出的VOL(逻辑低电平电压)。在这个例子中,VOL测量到的最大值为127mV。因此,应该确保连接到/RESET的电路能接受高一点的VOL。

图 1 电路中,RH和RP用于调整滞回并确定复位周期

图 2 对图1电路的测试波形,100mV滞回,即VCC(CH1)在/RESET(CH2)上升沿和下降沿交点的电压差为100mV
射频工程师养成培训教程套装,助您快速成为一名优秀射频工程师...
天线设计工程师培训课程套装,资深专家授课,让天线设计不再难...
上一篇:创建Proteus原理
仿真模型的制作技术
下一篇:处理器设计的谬误(1)

