- 易迪拓培训,专注于微波、射频、天线设计工程师的培养
一种用于CIS的快速低噪声CMOS缓冲器
摘要:基于TSMC 0.13μm CMOS工艺,设计了一种用于CMOS图像传感器(CIS)的快速低噪声缓冲器。该缓冲器的面积相对较低,输出级采用改进式AB类输出级,不仅保证了建立速度,而且还能抑制由于电路结构不对称而带来的噪声。采用调零电阻补偿保证不同corner下的稳定性。仿真结果表明:在室温tt工艺下功耗为10μW,建立时间为8ns,低频输出噪声100dB,适用在各种高速度低功耗场合。
引言
在CIS(CMOS Image Sensor)中,由Pixel产生的模拟信号通过CDS采样储存。由于CDS直接驱动PGA需要很长的工艺线,所以导致等效负载电容会很大,增加了驱动的难度。因此,中间加一个缓冲器(Buffer驱动PGA,从而抑制、消除模拟信号中的噪声。针对此要求,本文设计了一个低功耗低面积的Buffer。
电路结构分析
Class AB输出级
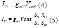
输出级采用了AB类推挽输出,如图1所示,M6,M7,M8组成一个反相级兼确定输出级的静态电流的结构。M12,M11分别为AB类输出级的充电管和放电管。这种电路既有较小的静态电流,又有较大的驱动能力,由于整个输出级的工作电流由M8的电流决定,因此一旦偏置方式确定,M8的电流即可决定,只要知道图3中各MOS管的宽长比,就可以确定各管子的工作电流,这些管子的工作电流分别表示为:
![]()

其中(2),(3)中的S=W/L,由于输出级的电流要考虑负载能力,S11,S12的值要远远大于其他器件的S值,当输入级的输出信号Vout1加到M6和M12时,电路具备AB类推挽工作模式,例如,当Vout1增大时,M6和M12的电流减少,而M6的电流减少导致M8的电流等量增加(因为M8的电流恒定与Vout1无关),由于M9与M7组成电流源,所以M9的电流也将以S9/S7的比例增加,,从而使得M10电流增加,M11按S11/S12的比例增加,于是M11的电流增加了。结果在Vout1正向摆动时,M12的电流减少,M11的电流增加,起到了推挽的作用。反之,若Vout1减少即负向摆动时,M12的电流增加,M11的电流减少,两个输出管的电流增量可以表示为:

(4)式表达了电路对负载的驱动能力,(5)式则说明电路能吸收负载电流的能力。

但该电路有个最大的缺点,由于M7,M8,M9组成的反相级结构不对称,所以噪声比较大。

射频工程师养成培训教程套装,助您快速成为一名优秀射频工程师...
天线设计工程师培训课程套装,资深专家授课,让天线设计不再难...
上一篇:FGPA中底层内嵌功能单元
下一篇:FPGA可编程输入输出单元(IOB)

