- 易迪拓培训,专注于微波、射频、天线设计工程师的培养
用于精确集总元件滤波器仿真的Q因数建模
录入:edatop.com 点击:
引言
在仿真电路结构时,重要的是能够解决元件的寄生参数或非理想特性,如非线性品质因数(Q值)、寄生封装电容和引脚电感。这些参数,特别是品质因数,通常可以利用简单的公式在一个有限的频带内近似得到。
像安捷伦的仿真套件ADS或Applied Wave Research公司的Microwave Office等电路仿真器可以对不同的元件值实现与频率有关的变量或公式。由于实现的频率相关公式可以解决元件的非理想特性,因此能使仿真结果更加精确和可靠。
基本模型
2a.电容模型
常规的电容模型如图1所示。

图1:集总元件电容的等效电路模型。
参考图1,电容的非理想特性被显示为引线电感(以及电容中的金属层形成的电感)L、由于不完美的金属(有限传导率)引起的引线电阻RS以及由于电介质的不纯引起的传导电阻RP。图1中的串联电阻RS可以由给定的Q值确定,并联电阻RP则由电容内部的介质衰耗因数确定。
图1中的RS一般代表电容的等效串联电阻(ESR),L用于代表器件的谐振频率。同一表贴(SMT)多层电容的谐振频率在不同安装方式下是有变化的,具体取决于水平安装还是垂直安装。
品质因数Q的频率相关性决定了电容的特性。通常Q因数可以用公式(1)进行简化:


图2:用于确定电容Q值的简化等效电路。
将正弦曲线电压v(t)=V0sin(ωt)施加于图2所示的电容简化等效电路,可以很容易确定电容的品质因数:

变换得到:

其中,理想电容C和呈现的损耗RQ可以参考图2。如果在图2中使用了电容的串联电阻,那么公式(3)中的电阻RQ变换公式为:

通过使用电流i(t)而不是公式(2)中的电压v(t)可以得出上述公式。
公式(3)中的品质因数Q是品质因数,更是一个线性频率相关公式。实际电容的Q通常呈指数变化,如图3所示。Q的频率相关性通常可以建模为单项衰减指数项,是一个一阶近似值。

图3:高Q值多层陶瓷电容的典型Q值(村田公司提供)。
图3中的Q值可以通过使用简单的一阶近似值与公式(3)一起进行重新构建

其中Q0是频率FQ点的Q值,f是感兴趣的频率。指数因子α可以是负的浮点数(针对Q值随频率增加而增加的情况),或针对Q值随频率增加而降低情况的正浮点数。图4给出了公式(5)的例子,共展示了超高Q值陶瓷电容的三种情况。

图4:建模通用高Q值电容在频域上的Q值。
【分页导航】
第1页:基本模型——电容模型
第2页:基本模型——电感模型
第3页:实验和理论结果
《电子设计技术》网站版权所有,谢绝转载
2b.电感模型
使用的电感模型更加简单。图5显示了常用的电感模型,它由理想电感L和电感电阻R组成。

图5:集总元件电感的一般等效模型。
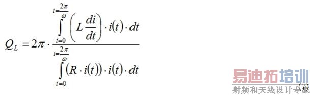
电阻R主要是由于电感器件中的导体阻抗引起的。电感的Q因数获得方式与电容(1)相同,唯一例外是电阻现在采用串联方式建模。

下标L代表存储在电感中的能量计算值,下标R代表由于器件电阻引起的能量消耗。公式(6)可以进一步表示为

其中电流可以表示为i(t)=Im*sin(ωt),当在一个周期2π/ω内积分时可以得到

实际电感在频域上的电感值L不是恒定的,品质因数不能由(5)来建模。单片高Q值陶瓷SMT电感的典型品质因数曲线如图6所示。

图6:5种不同单片陶瓷电感的Q值(村田公司提供)。
公式(5)不像电容情况那样适用于电感,这点可以通过检查图6所示的实验数据很明显地发现。曲线拟合公式(5)的扩展版本可以引述为两个指数项之差。

其中f是感兴趣的频率,Q0、F1、F2、α和β是常数,它们确定了器件QL(f)值的曲线拟合图。在公式(9)中,Q0通常具有接近于器件最大Q值的一个值,F1和F2是Q曲线峰值之前的两个固定频率点,指数α和β在1至2数量级。图7显示了公式(9)的一个例子,其中Q0设为40,F1为200MHz,F2为320MHz,α和β分别是1.1和1.4。

图7:芯片电感的频率相关Q值建模例子。
芯片电感的电感值L随频率变化并不保持恒定。高Q值电感的典型电感特性如图8所示。

图8:芯片电感在频域上的典型电感特性(村田公司提供)。
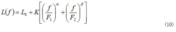
图8所示的电感变化可以建模为指数项之和。

其中L0是低频段的元件电感,f是感兴趣的频率,K、F1、F2、α和β是从器件的给定电感频率图中以实验方式提取的常数。使用公式(10)建模通用47nH电感的例子见图9,其中K设为100,F1为1200MHz,F2是1150MHz,指数α和β分别是6和14。

图9:普通芯片电感的电感频率特性建模。
【分页导航】
第1页:基本模型——电容模型
第2页:基本模型——电感模型
第3页:实验和理论结果
《电子设计技术》网站版权所有,谢绝转载
实验和理论结果
将修改后的Q值和电感建模应用于组合式低通滤波器,如图10所示。

图10:典型集总元件LC低通滤波器的原理图。
这种特殊滤波器包含两个切成两份的PI匹配部分(用于将滤波器连接到传输线)、一个恒定k值的T部分(或原型)和一个m派生的T部分。标号为CP的电容是电感的封装寄生参数,被建模为0.12pF数量级的理想电容。
设计的第一个滤波器在131MHz处有较低的插损,在262MHz中有较深的陷波。这可以从图11、图12和图13看出来,这些图参对三种不同集总元件模型的S11、S21和S22实验结果分别进行了比较。

图11:131MHz集总元件LC低通滤波器的三种不同集总元件模型的S11比较。

图12:131MHz集总元件LC低通滤波器的三种不同集总元件模型的S21比较。

图13:131MHz集总元件LC低通滤波器的三种不同集总元件模型的S22比较。
从图中可以看出,扩展的电容与电感模型可以产生比假设恒定元件值和品质因数的模型更高精度的预测值。另外一个组合式低通滤波器采用高Q值单片元件设计,在2.42GHz处有较深的陷波。这种滤波器的配置与131MHz版本相同,除了具有不同的截止频率和无限极点频率外。对这种特殊滤波器的实验与预测特性比较结果如图14、图15和图15所示,其中对S11、S21和S22分别进行了比较。

图14:2.42GHz集总元件LC低通滤波器的模型化和实验性输入反射系数S11的比较。

图15:2.42GHz集总元件LC低通滤波器的模型化和实验性输入反射系数S21的比较。

图16:2.42GHz集总元件LC低通滤波器的模型化和实验性输入反射系数S22的比较。
结论
通过解决电容和电感的非理想特性可以精确预测滤波器的频率特性。电感的品质因数和电感值不是固定的,或者说在频域上的特性呈线性方式,通过处理频率相关的变化可以得到非常精确的电路建模。
本文中使用的曲线拟合公式短小简单,可以在诸如安捷伦的ADS和Applied Wave Research公司的Microwave Office等电路分析程序中轻松实现,并能用来解决这些元件中发生的非理想特性。
作者:Arild Kolsrud
【分页导航】
第1页:基本模型——电容模型
第2页:基本模型——电感模型
第3页:实验和理论结果
《电子设计技术》网站版权所有,谢绝转载
射频工程师养成培训教程套装,助您快速成为一名优秀射频工程师...
天线设计工程师培训课程套装,资深专家授课,让天线设计不再难...
上一篇:锡珠产生的原因及处理
下一篇:打破瓶颈高速PCB设计的常见问题及解决方法
射频和天线工程师培训课程详情>>

