- 易迪拓培训,专注于微波、射频、天线设计工程师的培养
使用通孔根协助同轴连接器的PCB信号发射设计
录入:edatop.com 点击:
在从事信号完整性/射频工程师的工作当中,遇到过的许多客户曾提出要求,在用于同轴测试连接器的印刷电路板 (PCB) 信号发射的设计方面需要协助。客户一般将这类连接器用于印刷电路板,从而测试其他产品,例如背板或 I/O 连接器等等。他们希望将测试连接器和印刷电路板信号发射的带宽提高到最大程度,从而尽可能清楚的了解所需被测设备 (DUT)。鉴于这一目标,我需要提问一些问题,以便了解客户到底想要做些什么。这些问题包括:
1. 印刷电路板的材料是什么?
2. 印刷电路板的堆叠方式是什么?
3. 传输线的结构是什么?
4. 信号路由所在的层有哪些?
5. 对于内层上的信号,信号通孔采用反钻还是盲孔?
6. 如果反钻信号通孔,那么通孔根的最大可能长度是多少?
7. 测试连接器与信号发射的所需性能如何(一般指回波损耗或 VSWR)?
在印刷电路板的设计领域,我个人常见的一般有三种通孔:经由通孔、反钻通孔和盲孔。示例如下。本文的目的在于提供一种相对简单的方式来为反钻通孔建模,并且为无法使用或者不会使用电气建模工具的人员提出一些简要的经验法则。因此,我将回答前面列表中的最后三个问题。
对于问题 7,对于“良好”的信号发射,本人将其定义为在最大测试频率下回波损耗不高于 20dB 的连接器/信号发射。此外,将信号发射的带宽定义为回波损耗超出 20dB 时的最大频率。

3 层上路由信号的反钻通孔

2 层上路由信号的盲孔

镀层经由通孔(以移除所有无功能的连接垫)
模型
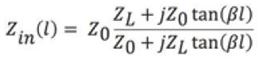
首先介绍连接器的信号发射的基本传输线路图。该连接器称为同轴线。

为了简化该模型以便可以专门研究通孔根,我们假设走线和负载处于理想条件,而同轴线和通孔则作为理想的传输线。换句话说,这些因素都不存在损耗,具有相同的特性阻抗。
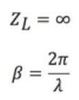
Z同轴 = Z通孔 = Z走线 = Z根 = Z负载 = Z0
众所周知,这些假设其实并不现实。比如说,走线在退出通孔时没有参考平面,并且我们会忽略连接垫的任何杂散电容。然而,这些假设可以使我们清楚的了解通孔或者通孔根这一开路的影响。现在我们了解通孔根和理想负载在并联组合后所产生的输入阻抗。

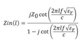
现在我们将单独检查开路通孔根。该通孔根的输入阻抗为:

其中l = 根长度

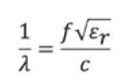
此表达式可简化为:

在余切的参量中,需要替换掉

这样可以获得所需形式的开路通孔根的输入阻抗。

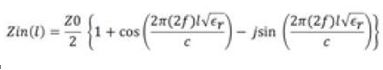
该输入阻抗与理想负载并联。并联组合的输入阻抗为:

可以简化为:

将分母消根并简化后,最后获得的输入阻抗为

该等式在电子表格中可以方便的实现。
本人已经在 ANSYS HFSS 中采用各种路由方式、印刷电路板材料和通孔根长度来运行 Molex SMA (73251-3480)、2.92 毫米 (73252-0090) 和 2.40 毫米 (73387-0020) 压缩安装测试连接器。
经验法则:根据汇编的数据,考虑到采用的开路通孔根,连接器和发射信号的最大带宽的估计值,对于 50 欧姆系统为阻抗幅值(幅值 (Z) 列)超过 48 欧姆下的频率。(对于 75 欧姆系统为超过 72 欧姆下)
在下页的表中,电子表格中的 48 欧姆列提供了电子表格幅值 (Z) 列约为 48 欧姆下以 GHz 计的频率。RL 20dB 模型一列提供了 HFSS 模型回波损耗超过 20dB 下以 GHz 计的频率。(参见本文末尾的图表。)每个模型中都包含一个连接器和采用 5 毫米带状线走线的印刷电路板。
2.4 毫米连接器的所有带宽估计值(电子表格中的 48 欧姆)都处于模型回波损耗 20dB 下实际频率的 30% 范围内。48GHz 下超出最短根长度限值,接近 2.40 毫米接口自身的额定带宽。


红色 = 幅值(百分误差)大于 30;蓝色 = 幅值(百分误差)小于 30
对于 2.92 毫米连接器来说,0.15 毫米通孔根的限值也是 48GHz,超出 2.92 毫米接口的额定带宽。换句话说,在该模型中开路通孔根不构成限制因素。
此次特定的 SMA 信号发射对于采用盲孔的设计是首次尝试,最终将升至 20 GHz。为了此次调查研究目的,在模型中添加了通孔根。经验法则再次偏离了较短的通孔根,因为除了这些长度的通孔根外,还存在其他问题限制着发射带宽。

通孔根研究:SMA

通孔根研究:2.92 毫米

通孔根研究:2.4 毫米
结论
1.在应该使系统带宽达到最大的情况下,不得忽视反钻通孔的开路通孔根。
2.以上所述的“经验法则”似乎是对开路通孔根所施加带宽限值的合理估计。再次强调,此估计值适用于无法使用或者不会使用电气建模工具的人员。人员。
1. 印刷电路板的材料是什么?
2. 印刷电路板的堆叠方式是什么?
3. 传输线的结构是什么?
4. 信号路由所在的层有哪些?
5. 对于内层上的信号,信号通孔采用反钻还是盲孔?
6. 如果反钻信号通孔,那么通孔根的最大可能长度是多少?
7. 测试连接器与信号发射的所需性能如何(一般指回波损耗或 VSWR)?
在印刷电路板的设计领域,我个人常见的一般有三种通孔:经由通孔、反钻通孔和盲孔。示例如下。本文的目的在于提供一种相对简单的方式来为反钻通孔建模,并且为无法使用或者不会使用电气建模工具的人员提出一些简要的经验法则。因此,我将回答前面列表中的最后三个问题。
对于问题 7,对于“良好”的信号发射,本人将其定义为在最大测试频率下回波损耗不高于 20dB 的连接器/信号发射。此外,将信号发射的带宽定义为回波损耗超出 20dB 时的最大频率。

3 层上路由信号的反钻通孔

2 层上路由信号的盲孔

镀层经由通孔(以移除所有无功能的连接垫)
模型
首先介绍连接器的信号发射的基本传输线路图。该连接器称为同轴线。

为了简化该模型以便可以专门研究通孔根,我们假设走线和负载处于理想条件,而同轴线和通孔则作为理想的传输线。换句话说,这些因素都不存在损耗,具有相同的特性阻抗。
Z同轴 = Z通孔 = Z走线 = Z根 = Z负载 = Z0
众所周知,这些假设其实并不现实。比如说,走线在退出通孔时没有参考平面,并且我们会忽略连接垫的任何杂散电容。然而,这些假设可以使我们清楚的了解通孔或者通孔根这一开路的影响。现在我们了解通孔根和理想负载在并联组合后所产生的输入阻抗。

现在我们将单独检查开路通孔根。该通孔根的输入阻抗为:

其中l = 根长度

此表达式可简化为:

在余切的参量中,需要替换掉

这样可以获得所需形式的开路通孔根的输入阻抗。

该输入阻抗与理想负载并联。并联组合的输入阻抗为:

可以简化为:

将分母消根并简化后,最后获得的输入阻抗为

该等式在电子表格中可以方便的实现。
本人已经在 ANSYS HFSS 中采用各种路由方式、印刷电路板材料和通孔根长度来运行 Molex SMA (73251-3480)、2.92 毫米 (73252-0090) 和 2.40 毫米 (73387-0020) 压缩安装测试连接器。
经验法则:根据汇编的数据,考虑到采用的开路通孔根,连接器和发射信号的最大带宽的估计值,对于 50 欧姆系统为阻抗幅值(幅值 (Z) 列)超过 48 欧姆下的频率。(对于 75 欧姆系统为超过 72 欧姆下)
在下页的表中,电子表格中的 48 欧姆列提供了电子表格幅值 (Z) 列约为 48 欧姆下以 GHz 计的频率。RL 20dB 模型一列提供了 HFSS 模型回波损耗超过 20dB 下以 GHz 计的频率。(参见本文末尾的图表。)每个模型中都包含一个连接器和采用 5 毫米带状线走线的印刷电路板。
2.4 毫米连接器的所有带宽估计值(电子表格中的 48 欧姆)都处于模型回波损耗 20dB 下实际频率的 30% 范围内。48GHz 下超出最短根长度限值,接近 2.40 毫米接口自身的额定带宽。


红色 = 幅值(百分误差)大于 30;蓝色 = 幅值(百分误差)小于 30
对于 2.92 毫米连接器来说,0.15 毫米通孔根的限值也是 48GHz,超出 2.92 毫米接口的额定带宽。换句话说,在该模型中开路通孔根不构成限制因素。
此次特定的 SMA 信号发射对于采用盲孔的设计是首次尝试,最终将升至 20 GHz。为了此次调查研究目的,在模型中添加了通孔根。经验法则再次偏离了较短的通孔根,因为除了这些长度的通孔根外,还存在其他问题限制着发射带宽。

通孔根研究:SMA

通孔根研究:2.92 毫米

通孔根研究:2.4 毫米
结论
1.在应该使系统带宽达到最大的情况下,不得忽视反钻通孔的开路通孔根。
2.以上所述的“经验法则”似乎是对开路通孔根所施加带宽限值的合理估计。再次强调,此估计值适用于无法使用或者不会使用电气建模工具的人员。人员。
射频工程师养成培训教程套装,助您快速成为一名优秀射频工程师...
射频和天线工程师培训课程详情>>

