- 易迪拓培训,专注于微波、射频、天线设计工程师的培养
电压型PWM并网逆变器
录入:edatop.com 点击:
能源回馈系统对减缓我国能源供求矛盾具有重要的作用,而逆变技术在能量回馈系统中占有重要地位,主要介绍了一种电压型并网逆变器。首先对电压型的逆变器进行了系统分析,给出了单相电压型和三相电压型两种并网逆变器的理想电路模型。在此基础上,设计了一个基于数字信号处理器(DSP)TMS320F240控制的数字化电压型单相并网逆变器,搭建了外围硬件电路,并运用C语言进行运算处理,给出原理仿真结果的同时也给出了它的实验结果,说明这种逆变器的运行效率高,可靠性好,应用也很方便。
随着我国经济的迅速发展,能源问题在当今社会中受到越来越多的关注。在减缓能源供求矛盾方面,能量回馈系统可以发挥重要作用,主要运用在功率电子负载、分布式发电和电机再生制动等场合。而电力电子的逆变技术是能量回馈系统的核心部分。
数字化是控制技术发展的趋势,在具体实现能量回馈系统的过程中,也应充分运用数字式控制方式。在电压型逆变系统中,将数字信号处理器(DSP)作为控制中心,实现外围电路工作及其控制。
1 电压型并网逆变器的系统分析
1.1 电压型单相并网逆变器的理想模型
作为并网用的逆变器,一般的理想状态为:
1)网侧功率因数λ=1,即网侧电流iN无畸变且与网侧电压uN相位一致,这样回馈至电网的只有有功功率。
2)能够实现回馈电流iN的快速调节;
3)具有能量双向流动的能力,除了向电网回馈能量外,在一定条件下,电路还可处于整流模式,从电网吸收能量能够实现上述理想的逆变电路状态,并认为电路内部没有损耗,则得到理想模型如图1(a)所示。

1.2 三相电压型并网逆变电路的模型
电压型三相桥式逆变电路的主电路如图2所示。由图2可以看出三相桥式电路是单相半桥电路的扩展,在拓扑结构上是完全相似的,其中各相输入电感相等,电网各相电压均为正弦波。

三相并网逆变电路的等效电路模型如图3(a)所示,0点为电网中点,0′为直流侧滤波电容中点,Rs为电感电阻,其他同单相电路。图3(b)为a相等效电路的相量图。

三相并网逆变器交流侧的方程为

逆变部分一般考虑SPWM调制的三相电路,三相桥式电路的控制脉冲时序分布和单相的相似,调制信号为三相正弦波uga、ugb和ugco分析得知逆变器输出线电压波形是一个单极性SPWM波形,其输出幅值为Uio假想直流电源中点O′,则可推出三相SPWM逆变电路相电压基波表达式为

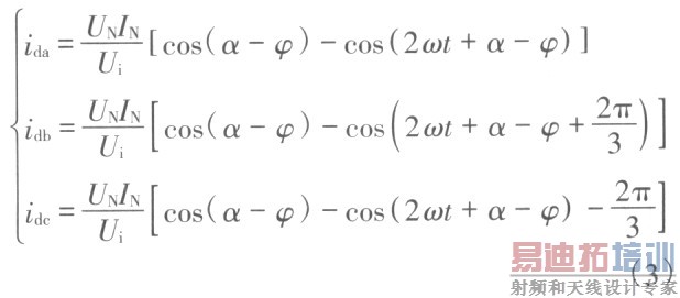
对于逆变桥的输入电流id,由单相电路分析的结果,每个桥臂从直流侧吸取的电流存在二次谐波,三相电路中每个半桥单元从直流侧吸收的电流为

将三相电流叠加后即可得到直流侧电流id的表达式为

由式(4)可知,当电路在三相对称条件下,逆变器的输入电流为恒定的直流,而不存在二次电流分量,电路的直流侧输入不需要二次谐波吸收电路。三相逆变器的输人瞬时功率也随之恒定,而单相逆变器的输入电流存在二次电流分量,输入功率也不恒定,如图l所示。这点是三相逆变器不同于单相逆变器之处,因此,单相逆变器的直流侧滤波电容需要滤除高频和低频的纹波,而三相逆变器的直流侧滤波电容仅需要滤除高频纹波即可,其容量可以比单相的小。
2 电压型PWM并网逆变器试验
在前述理论分析的基础上,研制了一台基于数字式DSP控制的电压型单相全桥PWM并网逆变器。
2.1 主电路的结构及电路参数的选择
数字式电压型能量回馈系统的逆变主电路结构如图4所示。主电路的开关器件选用IGBT—IPM模块PM75CVAl20,交流侧为工频单相220V,Ui为直流输入电压,须大于310 V;Cd1和Cd2为直流滤波电容,LN、为交流侧滤波电感;A1为电流霍尔元件,V1.为电压检测传感器;K1为直流接触器,K2为交流接触器;Rc为直流侧缓冲电阻。

直流输入电压Ui经滤波电容Cdl和Cd2稳压滤波后输入逆变器,单相全桥逆变器输出经滤波储能电感直接并人电网。电阻Rc是电路启动时缓冲滤波电容充电用,在充电完成后,接触器K1闭合,短接电阻Rco。整个系统由DSP芯片TMS320F240控制,对同步电网信号、输入电压(V1)和输出电流(A1)检测,根据给定触发控制脉冲,并通过接触器K2决定并网的时刻。
2.2 仿真及试验波形
运用Matlab仿真,输入Ui=311V,电网电压UN=220V,电感值LN=6mH。采用幅值控制的PI闭环调节,图5是给定电流从5A到20A时电流和电网电压的仿真波形,电流乘10处理。

图6所示是本系统在开环条件下电流和电网电压的试验波形,可以看到电流波形正弦,相位和电网电压接近(为了,便于观看,将电流信号反相),输出电流大小为5 A。图7为电感两侧电压实验波形。图8(a)所示是逆变器工作时输出倍频PWM波形,8(b)为放大图,脉宽呈正弦变化。

图9为DSP控制输出脉冲信号,上下桥臂有5 μ的死区(低电平有效)。

直流输入电压为:350 V,波形如图10所示,比较平直。

3 结语
重点分析了电压型并网逆变系统,提出了单相和三相逆变系统的理论模型。在实验中制作了一台单相的电压型并网逆变系统,系统采用数字化控制方式,达到对系统外围电路的控制。从实验给出的结果,可以看到这个系统工作效率高,可靠性好,实用性强。
随着我国经济的迅速发展,能源问题在当今社会中受到越来越多的关注。在减缓能源供求矛盾方面,能量回馈系统可以发挥重要作用,主要运用在功率电子负载、分布式发电和电机再生制动等场合。而电力电子的逆变技术是能量回馈系统的核心部分。
数字化是控制技术发展的趋势,在具体实现能量回馈系统的过程中,也应充分运用数字式控制方式。在电压型逆变系统中,将数字信号处理器(DSP)作为控制中心,实现外围电路工作及其控制。
1 电压型并网逆变器的系统分析
1.1 电压型单相并网逆变器的理想模型
作为并网用的逆变器,一般的理想状态为:
1)网侧功率因数λ=1,即网侧电流iN无畸变且与网侧电压uN相位一致,这样回馈至电网的只有有功功率。
2)能够实现回馈电流iN的快速调节;
3)具有能量双向流动的能力,除了向电网回馈能量外,在一定条件下,电路还可处于整流模式,从电网吸收能量能够实现上述理想的逆变电路状态,并认为电路内部没有损耗,则得到理想模型如图1(a)所示。

1.2 三相电压型并网逆变电路的模型
电压型三相桥式逆变电路的主电路如图2所示。由图2可以看出三相桥式电路是单相半桥电路的扩展,在拓扑结构上是完全相似的,其中各相输入电感相等,电网各相电压均为正弦波。

三相并网逆变电路的等效电路模型如图3(a)所示,0点为电网中点,0′为直流侧滤波电容中点,Rs为电感电阻,其他同单相电路。图3(b)为a相等效电路的相量图。

三相并网逆变器交流侧的方程为

逆变部分一般考虑SPWM调制的三相电路,三相桥式电路的控制脉冲时序分布和单相的相似,调制信号为三相正弦波uga、ugb和ugco分析得知逆变器输出线电压波形是一个单极性SPWM波形,其输出幅值为Uio假想直流电源中点O′,则可推出三相SPWM逆变电路相电压基波表达式为

对于逆变桥的输入电流id,由单相电路分析的结果,每个桥臂从直流侧吸取的电流存在二次谐波,三相电路中每个半桥单元从直流侧吸收的电流为

将三相电流叠加后即可得到直流侧电流id的表达式为

由式(4)可知,当电路在三相对称条件下,逆变器的输入电流为恒定的直流,而不存在二次电流分量,电路的直流侧输入不需要二次谐波吸收电路。三相逆变器的输人瞬时功率也随之恒定,而单相逆变器的输入电流存在二次电流分量,输入功率也不恒定,如图l所示。这点是三相逆变器不同于单相逆变器之处,因此,单相逆变器的直流侧滤波电容需要滤除高频和低频的纹波,而三相逆变器的直流侧滤波电容仅需要滤除高频纹波即可,其容量可以比单相的小。
2 电压型PWM并网逆变器试验
在前述理论分析的基础上,研制了一台基于数字式DSP控制的电压型单相全桥PWM并网逆变器。
2.1 主电路的结构及电路参数的选择
数字式电压型能量回馈系统的逆变主电路结构如图4所示。主电路的开关器件选用IGBT—IPM模块PM75CVAl20,交流侧为工频单相220V,Ui为直流输入电压,须大于310 V;Cd1和Cd2为直流滤波电容,LN、为交流侧滤波电感;A1为电流霍尔元件,V1.为电压检测传感器;K1为直流接触器,K2为交流接触器;Rc为直流侧缓冲电阻。

直流输入电压Ui经滤波电容Cdl和Cd2稳压滤波后输入逆变器,单相全桥逆变器输出经滤波储能电感直接并人电网。电阻Rc是电路启动时缓冲滤波电容充电用,在充电完成后,接触器K1闭合,短接电阻Rco。整个系统由DSP芯片TMS320F240控制,对同步电网信号、输入电压(V1)和输出电流(A1)检测,根据给定触发控制脉冲,并通过接触器K2决定并网的时刻。
2.2 仿真及试验波形
运用Matlab仿真,输入Ui=311V,电网电压UN=220V,电感值LN=6mH。采用幅值控制的PI闭环调节,图5是给定电流从5A到20A时电流和电网电压的仿真波形,电流乘10处理。

图6所示是本系统在开环条件下电流和电网电压的试验波形,可以看到电流波形正弦,相位和电网电压接近(为了,便于观看,将电流信号反相),输出电流大小为5 A。图7为电感两侧电压实验波形。图8(a)所示是逆变器工作时输出倍频PWM波形,8(b)为放大图,脉宽呈正弦变化。

图9为DSP控制输出脉冲信号,上下桥臂有5 μ的死区(低电平有效)。

直流输入电压为:350 V,波形如图10所示,比较平直。

3 结语
重点分析了电压型并网逆变系统,提出了单相和三相逆变系统的理论模型。在实验中制作了一台单相的电压型并网逆变系统,系统采用数字化控制方式,达到对系统外围电路的控制。从实验给出的结果,可以看到这个系统工作效率高,可靠性好,实用性强。
射频工程师养成培训教程套装,助您快速成为一名优秀射频工程师...
射频和天线工程师培训课程详情>>

