- 易迪拓培训,专注于微波、射频、天线设计工程师的培养
一种采用曲率补偿技术的高精度能隙基准电压源
录入:edatop.com 点击:
1 引 言
电压基准源足集成电路中一个重要的单元模块,是D/A,A/D转换器及脉冲宽度调制电路中的基本单元。他的温度稳定性及抗噪能力不仅是影响A/D,D/A转换精度的关键因素,甚至影响到整个系统的精度和性能。基准电压的精度决定了所有IC系统所能达到的最佳性能。因此基准电压电路对于温漂,以及于精度有关的指标要求比较高。由于带隙基准源能够实现高电源抑制比和低温度系数,是目前各种基准电压源电路中性能最佳的基准源电路。
为了实现高精度,通常都用硅半导体材料本身固有的特征电压作为基准电压,但由于硅半导体材料具有一定的温度系数,所以为解决温漂问题,通常选择一种与基准电压的温度系数极性相反但绝对值相近的器件或电路(如△VBE电路),使两者结合起来,相互温度补偿,使总体温度系数近似为零。
2 能隙基准电压的基本原理
能隙基准电压的基本原理如图1所示。
双极晶体管的基极-发射极电压VBE(PN结二极管的正向电压),具有负温度系数,其温度系数在室温下-2.2 mV/K。而热电压VT具有正温度系数,其温度系数在室温下为+O.085 mV/K。将VT乘以常数K并和VBE相加可得到输出电压VREF:
VREF=VBE+KVT (1)
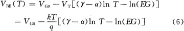
将式(1)对温度T微分并代人VBE和VT的温度系数可求得K,他使VREF的温度系数在理论上为0。VBE受电源电压变化的影响很小,因而带隙基准电压的输出电压受电源的影响也很小。由于在这种情况下得到的基准电压的值接近于材料的带隙电压,所以称为带隙基准源。
3 电路设计与实现
3.1 经过曲率补偿后改进的基准核心电路
图2(a)为典型的带隙基准电压产生电路,对其进行改进,如图2(b)所示,其核心部分由Q1~Q6,R1~R5组成。A1,A2和A3是Q1,Q2和Q3的发射极面积,且A2是A1的N倍,A3是A1的M倍。横向PNP管Q4,Q5,Q6构成恒流源。
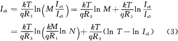
将这个压差加在R1上,则流过的电流Ie2等于Q1发射极的电流Ie1为:
设流过R3上的电流可以近似为Q3的发射极电流Ie3,则有:
所以:
其中N是Q2,Q1的发射级面积的比值,M为Q3,Q1的发射级面积的比值。
经过R2的电流设为IR2,则:
式(3)右边前两项是IR2的PTAT部分设为IPTAT,而第三项为非线性部分设为,INL,于是IR2可以表示为:
可见,图2的电路结构可以对VBE中随温度变化的非线性部分进行补偿,以达到较好的温度特性。
由文献[5]可知:

其中,r,a,E,G为与温度无关的常数。
令:

把IPTAT与JNL的值代入,并联立式(7),(8)得一不定方程,经过不断迭代和仿真,总是可以找到一个工作点实现较好的温度补偿。
从图(2),可以得出:

把式(4)代入式(9)中,得最终的基准电压为:
3.2 启动电路
如图3所示,NJFET,Q15构成启动电路。当加电源后,NJFET处于常通状态,沟道较长,相当与一个大电阻,Q15导通,于是给Q1,Q2提供基极电流,同时,Q10的集电极有电流通过,由于Q9与Q10的镜像作用,Q9的集电极电流使得Q8管打开,给基准电路提供一个工作电压,电路开始工作,通过改变R6与R7的比值,可以调整VOUT的输出电压。作为启动电路,为了不影响电路正常工作,在基准建立以起来以后,要能自动关掉。Q11~Q14是用来关断启动电路,当基准建立起来之后,B点的电位被钳至到两个BE节压降,Q15截止,此时Q10的集电极电流由Q16,Q17组成的电流镜提供,从而保证基准电路正常工作。电容C用来是滤波,可以提高了电路的电源抑制比。
由于电路中没有采用运算放大器,可避免引入失调对基准电压精度产生影响。
4 电路仿真结果
在SUN工作站上用CADAENCE的HSPICE仿真工具对电路进行了对基准电压源分别进行温度分析及电源变化分析仿真,如图4所示,当温度从-55~125℃温度范围变化时,Vref从1.277~1.282 V变化,最大变化为5 mV,在25℃时达到最大1.282 V。Vout从5.022~
5.043 V变化,温度系数达到20 ppm/℃。25℃时,VCC从7~40 V变化时,Vref在1.281 69~1.282 12 V之间变化,变化量为0.43 mV,如图4所示。他能满足PWM电路对基准源要求,温漂较小和电源电压抑制比高。经流片测试,其完全满足PWM对基准源各种参数的要求。
由于是模拟电路,版图设计需要很高的精度,器件应该匹配,布局布线要合理。为了得到精确基准电压,Q1与Q2发射极面积的比值要做到很精确,版图设计中,采用了相同面积的发射极版图的组合结构。此外为了提高电阻的相对精度,把要求成比例的电阻用完全相同的条形电阻间隔放置,再通过串联或并联而成,并尽量远离发热量大的器件。用该基准实现的脉宽调制电路的版图。如图6所示。
5 结 语
本文在分析典型带隙基准结构的基础上,采用曲率补偿,设计了一种具有高电源抑制比,低温度系数的电压基准电路,7 V电源供电时,功耗大约有9 mw。将其用于PWM电路中,并流片实现,能够满足PWM对基准的要求。
电压基准源足集成电路中一个重要的单元模块,是D/A,A/D转换器及脉冲宽度调制电路中的基本单元。他的温度稳定性及抗噪能力不仅是影响A/D,D/A转换精度的关键因素,甚至影响到整个系统的精度和性能。基准电压的精度决定了所有IC系统所能达到的最佳性能。因此基准电压电路对于温漂,以及于精度有关的指标要求比较高。由于带隙基准源能够实现高电源抑制比和低温度系数,是目前各种基准电压源电路中性能最佳的基准源电路。
为了实现高精度,通常都用硅半导体材料本身固有的特征电压作为基准电压,但由于硅半导体材料具有一定的温度系数,所以为解决温漂问题,通常选择一种与基准电压的温度系数极性相反但绝对值相近的器件或电路(如△VBE电路),使两者结合起来,相互温度补偿,使总体温度系数近似为零。
2 能隙基准电压的基本原理
能隙基准电压的基本原理如图1所示。

双极晶体管的基极-发射极电压VBE(PN结二极管的正向电压),具有负温度系数,其温度系数在室温下-2.2 mV/K。而热电压VT具有正温度系数,其温度系数在室温下为+O.085 mV/K。将VT乘以常数K并和VBE相加可得到输出电压VREF:
VREF=VBE+KVT (1)
将式(1)对温度T微分并代人VBE和VT的温度系数可求得K,他使VREF的温度系数在理论上为0。VBE受电源电压变化的影响很小,因而带隙基准电压的输出电压受电源的影响也很小。由于在这种情况下得到的基准电压的值接近于材料的带隙电压,所以称为带隙基准源。
3 电路设计与实现
3.1 经过曲率补偿后改进的基准核心电路
图2(a)为典型的带隙基准电压产生电路,对其进行改进,如图2(b)所示,其核心部分由Q1~Q6,R1~R5组成。A1,A2和A3是Q1,Q2和Q3的发射极面积,且A2是A1的N倍,A3是A1的M倍。横向PNP管Q4,Q5,Q6构成恒流源。
将这个压差加在R1上,则流过的电流Ie2等于Q1发射极的电流Ie1为:
设流过R3上的电流可以近似为Q3的发射极电流Ie3,则有:
所以:
其中N是Q2,Q1的发射级面积的比值,M为Q3,Q1的发射级面积的比值。
经过R2的电流设为IR2,则:
式(3)右边前两项是IR2的PTAT部分设为IPTAT,而第三项为非线性部分设为,INL,于是IR2可以表示为:
可见,图2的电路结构可以对VBE中随温度变化的非线性部分进行补偿,以达到较好的温度特性。

由文献[5]可知:

其中,r,a,E,G为与温度无关的常数。
令:
把IPTAT与JNL的值代入,并联立式(7),(8)得一不定方程,经过不断迭代和仿真,总是可以找到一个工作点实现较好的温度补偿。
从图(2),可以得出:
把式(4)代入式(9)中,得最终的基准电压为:
3.2 启动电路
如图3所示,NJFET,Q15构成启动电路。当加电源后,NJFET处于常通状态,沟道较长,相当与一个大电阻,Q15导通,于是给Q1,Q2提供基极电流,同时,Q10的集电极有电流通过,由于Q9与Q10的镜像作用,Q9的集电极电流使得Q8管打开,给基准电路提供一个工作电压,电路开始工作,通过改变R6与R7的比值,可以调整VOUT的输出电压。作为启动电路,为了不影响电路正常工作,在基准建立以起来以后,要能自动关掉。Q11~Q14是用来关断启动电路,当基准建立起来之后,B点的电位被钳至到两个BE节压降,Q15截止,此时Q10的集电极电流由Q16,Q17组成的电流镜提供,从而保证基准电路正常工作。电容C用来是滤波,可以提高了电路的电源抑制比。
由于电路中没有采用运算放大器,可避免引入失调对基准电压精度产生影响。

4 电路仿真结果
在SUN工作站上用CADAENCE的HSPICE仿真工具对电路进行了对基准电压源分别进行温度分析及电源变化分析仿真,如图4所示,当温度从-55~125℃温度范围变化时,Vref从1.277~1.282 V变化,最大变化为5 mV,在25℃时达到最大1.282 V。Vout从5.022~
5.043 V变化,温度系数达到20 ppm/℃。25℃时,VCC从7~40 V变化时,Vref在1.281 69~1.282 12 V之间变化,变化量为0.43 mV,如图4所示。他能满足PWM电路对基准源要求,温漂较小和电源电压抑制比高。经流片测试,其完全满足PWM对基准源各种参数的要求。

由于是模拟电路,版图设计需要很高的精度,器件应该匹配,布局布线要合理。为了得到精确基准电压,Q1与Q2发射极面积的比值要做到很精确,版图设计中,采用了相同面积的发射极版图的组合结构。此外为了提高电阻的相对精度,把要求成比例的电阻用完全相同的条形电阻间隔放置,再通过串联或并联而成,并尽量远离发热量大的器件。用该基准实现的脉宽调制电路的版图。如图6所示。


5 结 语
本文在分析典型带隙基准结构的基础上,采用曲率补偿,设计了一种具有高电源抑制比,低温度系数的电压基准电路,7 V电源供电时,功耗大约有9 mw。将其用于PWM电路中,并流片实现,能够满足PWM对基准的要求。
射频工程师养成培训教程套装,助您快速成为一名优秀射频工程师...
射频和天线工程师培训课程详情>>

