- 易迪拓培训,专注于微波、射频、天线设计工程师的培养
变压器局部放电超声定位中的自适应优化算法
录入:edatop.com 点击:
变压器局部放电源的超声波定位法是利用超声发射、传播和测量技术完成的。电力变压器在长期运行过程中,当内部绝缘的某些薄弱部位在高场强作用下发生局部放电时,有超声波能量放出,球形超声波在不同介质中向外传播,处于变压器外围不同点的传感器能接收到超声信号,通过GPRS网络传输给后台,后台测量超声信号传播的时延,联立求解定位方程组便可得到局部放电点的位置。
1 变压器局部放电超声定位数学模型
设电力变压器中局部放电点为S(x,y,z),x,y,z均为未知量;共有8个传感器贴装于变压器表面接收超声信号,见图1。

他们的坐标为Ri(xi,yi,zi),其中i=1,2,…,8;当传感器接收到超声信号后,传回后台程序,根据相关函数法计算其中某路超声信号和其余信号的时间差,用△ti1=ti-t1表示第i(i=2,3,…,8)个接收端与第1个接收端之间的时延,见图2;υ表示超声波传播速度,由于变压器内部结构复杂,超声传播速度为未知量。

1.1 模型建立
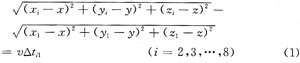
理想情况下,8个传感器均能接收到超声信号并能计算时延,则局放定位算法的方程组为:

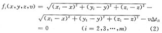
实际上,由于超声波在传播过程中的绕射、透射、反射以及衰减等,通常能接收到信号的接收端少于8个,不妨设实际采集过程中,有m+1个接收端接收到信号。则有m个非线性定位方程:

l.2 无约束优化
定位方程组有4个未知量(x,y,z,υ),当4<m≤7时,为非线性超定方程组,超定方程组没有精确解。将超定方程组转化为无约束最优化问题,目标函数为:

2 算法描述
求解无约束优化问题有很多经典算法,最速下降法结构简单、计算量小、具有全局收敛性,但在极值点附近容易出现振荡(正交)现象;牛顿法收敛速度快,但不是全局收敛。为此,提出一种具有自适应功能的算法,在变压器局部放电定位问题中,与单纯的牛顿法和最速下降法比较,该算法显示了其优越性。
2.1 算法步骤
(1) 给定初始点X0∈R4,精度ε<10-6,k=0;
(2) 计算▽F(Xk),检验是否满足收敛性的判别准则:‖▽F(Xk)‖≤ε,若满足,则停止迭代,得点X*≈Xk即为极值点;否则进行(3);
(3) 令Sk=-▽F(Xk),从Xk出发,沿Sk进行一维搜索,即求λk,使得:

(4) 令Xk+1=Xk+λkSk,k=k+1;
(5) 判断第k+1次与第k次的梯度向量是否正交或接近正交,即判断是否满足正交条件:│▽F(Xk) ▽F(Xk+1)│≤0.1,若没有正交(即振荡现象),则进行(2);否则进行(6);
(6) 进行牛顿迭代,计算▽F(Xk),若‖▽F(Xk)‖≤ε则停,输出Xk;否则,进行(7);
(7) 计算Sk=-[▽2F(Xk)]-1*gk;
(8) 一维搜索:min F(Xk+λSk) = F(Xk+λkSk),令Xk+1 = Xk+λkSk,k=k+1,进行(6)。
2.2 体元分割法选取初始点
算法中,开始迭代前要对未知向量取合适的初始点,初始点的选取往往关系到算法的成败.但将本算法集成到系统软件中时,需要自动选择高效率的初始点。考虑这样一种方法,将变压器分割成大小相同的体积元,体积元的个数可以是几十个甚至几百个,以每个体元的几何中心作为初始点依次进行迭代,迭代结束后.再根据所有体元的迭代结果进行比较,判断出整个变压器中的最优点。
2.3 算法分析
本算法将最速下降法和牛顿法相结合,根据体元分割选取初始点,迭代开始后。借助最速下降法全局收敛的特性,在梯度向量出现振荡现象之前完成了初步寻优过程,然后采用牛顿法进行精确寻优,牛顿法收敛速度快,在10步之内,迭代结果即可满足精度要求。
3 组合算法在电力变压器局部放电点定位中的应用
在山西运城供电公司的变压器局部放电在线检测项目中,应用了该算法,以下为现场检测情况。
现场一检测情况:
变压器规则(长×宽×高):1.2 m×0.8 m×1.0 m;
实际放电点坐标:S(0.5,0.4,0.4);
传感器坐标:R1(0.6,0.0,0.5),R2(0.0,0.4,0.5),R3(0.6,0.4,1.0),R4(1.2,0.4,0.5),R5(0.6,0.8,0.5);
参考点时刻:t1=0.000 303 05 s;
接收时延:d1=[0.000 364 22;0.000 434 48;0.000 505 08;0.000 128 6]一t1。
体元个数:5×5×5。

现场二检测情况:
变压器规则(长×宽×高):5 m× 3 m×4 m;
实际放电点坐标:S(4.5,2.6,3.7);
接收端坐标:R1(2.5,0.0,2.0),R2(2.5,1.5,4.0),R3(5.0,1.5,2.O),R4(2.5,3.0,2.0),R5(0,1.5,2.0);
参考点时刻:t1=0.002 6 S;
接收时延:d1=[0.001 6;0.001 5;0.001 9;0.003 524 69]一t1。
体元个数:5×5×5。


4 结 语
现场检测体现了混合算法的优越性,主要有:
(1) 组合算法具有最速下降法全局收敛的优点;
(2) 组合算法具有牛顿法收敛速度快的优点;
(3) 初始点采用自动分割,自动判别,能保证全局最优;
(4) 精度随数据的不同变化为10 cm,完全满足放电定位的精度要求。
1 变压器局部放电超声定位数学模型
设电力变压器中局部放电点为S(x,y,z),x,y,z均为未知量;共有8个传感器贴装于变压器表面接收超声信号,见图1。

他们的坐标为Ri(xi,yi,zi),其中i=1,2,…,8;当传感器接收到超声信号后,传回后台程序,根据相关函数法计算其中某路超声信号和其余信号的时间差,用△ti1=ti-t1表示第i(i=2,3,…,8)个接收端与第1个接收端之间的时延,见图2;υ表示超声波传播速度,由于变压器内部结构复杂,超声传播速度为未知量。

1.1 模型建立
理想情况下,8个传感器均能接收到超声信号并能计算时延,则局放定位算法的方程组为:

实际上,由于超声波在传播过程中的绕射、透射、反射以及衰减等,通常能接收到信号的接收端少于8个,不妨设实际采集过程中,有m+1个接收端接收到信号。则有m个非线性定位方程:

l.2 无约束优化
定位方程组有4个未知量(x,y,z,υ),当4<m≤7时,为非线性超定方程组,超定方程组没有精确解。将超定方程组转化为无约束最优化问题,目标函数为:
2 算法描述
求解无约束优化问题有很多经典算法,最速下降法结构简单、计算量小、具有全局收敛性,但在极值点附近容易出现振荡(正交)现象;牛顿法收敛速度快,但不是全局收敛。为此,提出一种具有自适应功能的算法,在变压器局部放电定位问题中,与单纯的牛顿法和最速下降法比较,该算法显示了其优越性。
2.1 算法步骤
(1) 给定初始点X0∈R4,精度ε<10-6,k=0;
(2) 计算▽F(Xk),检验是否满足收敛性的判别准则:‖▽F(Xk)‖≤ε,若满足,则停止迭代,得点X*≈Xk即为极值点;否则进行(3);
(3) 令Sk=-▽F(Xk),从Xk出发,沿Sk进行一维搜索,即求λk,使得:
(4) 令Xk+1=Xk+λkSk,k=k+1;
(5) 判断第k+1次与第k次的梯度向量是否正交或接近正交,即判断是否满足正交条件:│▽F(Xk) ▽F(Xk+1)│≤0.1,若没有正交(即振荡现象),则进行(2);否则进行(6);
(6) 进行牛顿迭代,计算▽F(Xk),若‖▽F(Xk)‖≤ε则停,输出Xk;否则,进行(7);
(7) 计算Sk=-[▽2F(Xk)]-1*gk;
(8) 一维搜索:min F(Xk+λSk) = F(Xk+λkSk),令Xk+1 = Xk+λkSk,k=k+1,进行(6)。
2.2 体元分割法选取初始点
算法中,开始迭代前要对未知向量取合适的初始点,初始点的选取往往关系到算法的成败.但将本算法集成到系统软件中时,需要自动选择高效率的初始点。考虑这样一种方法,将变压器分割成大小相同的体积元,体积元的个数可以是几十个甚至几百个,以每个体元的几何中心作为初始点依次进行迭代,迭代结束后.再根据所有体元的迭代结果进行比较,判断出整个变压器中的最优点。
2.3 算法分析
本算法将最速下降法和牛顿法相结合,根据体元分割选取初始点,迭代开始后。借助最速下降法全局收敛的特性,在梯度向量出现振荡现象之前完成了初步寻优过程,然后采用牛顿法进行精确寻优,牛顿法收敛速度快,在10步之内,迭代结果即可满足精度要求。
3 组合算法在电力变压器局部放电点定位中的应用
在山西运城供电公司的变压器局部放电在线检测项目中,应用了该算法,以下为现场检测情况。
现场一检测情况:
变压器规则(长×宽×高):1.2 m×0.8 m×1.0 m;
实际放电点坐标:S(0.5,0.4,0.4);
传感器坐标:R1(0.6,0.0,0.5),R2(0.0,0.4,0.5),R3(0.6,0.4,1.0),R4(1.2,0.4,0.5),R5(0.6,0.8,0.5);
参考点时刻:t1=0.000 303 05 s;
接收时延:d1=[0.000 364 22;0.000 434 48;0.000 505 08;0.000 128 6]一t1。
体元个数:5×5×5。

现场二检测情况:
变压器规则(长×宽×高):5 m× 3 m×4 m;
实际放电点坐标:S(4.5,2.6,3.7);
接收端坐标:R1(2.5,0.0,2.0),R2(2.5,1.5,4.0),R3(5.0,1.5,2.O),R4(2.5,3.0,2.0),R5(0,1.5,2.0);
参考点时刻:t1=0.002 6 S;
接收时延:d1=[0.001 6;0.001 5;0.001 9;0.003 524 69]一t1。
体元个数:5×5×5。


4 结 语
现场检测体现了混合算法的优越性,主要有:
(1) 组合算法具有最速下降法全局收敛的优点;
(2) 组合算法具有牛顿法收敛速度快的优点;
(3) 初始点采用自动分割,自动判别,能保证全局最优;
(4) 精度随数据的不同变化为10 cm,完全满足放电定位的精度要求。
射频工程师养成培训教程套装,助您快速成为一名优秀射频工程师...
射频和天线工程师培训课程详情>>

