- 易迪拓培训,专注于微波、射频、天线设计工程师的培养
高频开关电源主要磁性元件的设计
录入:edatop.com 点击:
在电力直流系统中,由于普遍采用高频模块,对于高频模块的设计是功率越来越大,而体积却是越来越小,这就对其设计提出了一个关键的问题,那就是如何解决磁性元件的损耗及发热问题。
高频开关电源中大量使用各种各样的磁性元件,如输入/输出共模电感,功率变压器,饱和电感以及各种差模电感。各种磁性元器件对磁性材料的要求各不相同,如差模电感希望μ值适中,但线性度好,不易饱和;共模电感则希望μ值要高,频带宽;功率变压器则希望μ值要适中,温度稳定好,剩磁小,损耗低等。在非晶材料出现以前,共模电感主要采用高μ值(6K~10K)Mn-Zn合金,差模电感多采用铁粉芯或开气隙铁氧体材料,变压器则采用铁氧体材料等。这些材料应用技术成熟,种类也很丰富,并有各种各样的产品形状供选择。随着非晶材料的出现和技术不断成熟,在开关电源设计中,非晶材料表现出许多其它材料无法比拟的优点。几种常用磁性材料基本性能比较如表1。

1 主变压器的设计
对于高频开关电源的主要发热元件,主变压器的设计尤其重要,其尺寸的大小和材料的选择更是重要。
1)主变压器的磁芯必须具备以下几个特点
(1)低损耗;
(2)高的饱和磁感应强度且温度系数小;
(3)宽工作温度范围;
(4)μ值随B值变化小;
(5)与所选用功率器件开关速度相应的频响。
早前高频变压器一般选用铁氧体磁芯,下面对VITROPERM500F铁基超微晶磁芯与德国西门子公司生产的N67系列铁氧体磁芯的性能进行较,见图1。

从以上图表可以看出两者有以下区别:
(1)相同工作频率(200kHz以下),非晶材料损耗明显低于铁氧体,工作频率越低,工作B值越高,非晶材料优势越明显。但在250kHz以上频段,铁氧体损耗要明显低于非晶材料。
(2)非晶材料损耗随温度变化量大大低于铁氧体,降低了变压器热设计的难度。
(3)非晶材料导磁率随温度变化量大大低于铁氧体,降低了变压器设计的难度,提高了电源运行的稳定性和可靠性。
(4)非晶材料Bs·μ值是铁氧体的10~15倍,意味着变压器体积重量可以大幅减小。
变压器设计过程中,最困难的是热设计,变压器的产热与多方面的因素有关,如磁芯损耗,铜损等。开关频率增加,变压器的发热呈指数增加。若采用铁氧体磁芯,由于铁氧体的居里点较低,需对变压器磁芯作散热处理,工艺制作比较复杂。若散热处理不当,铁氧体磁材高温下易失磁,导致电路工作异常。若采用非晶做变压器,将工作ΔB由4000高斯提高到100007葛斯,开关器件的工作频率则可以降到100kHz以下。非晶材料在16~100kHz频率范围内,损耗/Bs值最低,相应的变压器匝数及体积最小,发热量也较小,对提高整机效率,减小模块电源的体积有巨大帮助。在采用软开关控制技术的前提下,可以充分发挥IGBT的低导通压降,大电流,高耐压的优点,大幅度地提高电源的可靠性。
2 磁芯的选择
因为全桥变换器中的变压器工作在双端,对Br的要求不是很严格,它需要的是2Bm。但若选用高Br的磁芯,当电源功率较大时,容易产生饱和现象。为此,对于中、大功率的开关电源,主变压器选用饱和磁感应强度Bs高、剩余磁感应强度B,低的磁芯。虽然铁基非晶材料的饱和磁感应强度Bs高,但是由于铁基非晶材料的工作频率较低(选用铁基超微晶环形铁芯:ONL—1308040,该磁芯的饱和磁感应强度Bs=1.25T,剩余磁感应强度Br30000,最大磁导率μm>50000,损耗P(0.5T、20kHz)(1)取设定工作时,最大工作磁密Bm=0.5T,故全桥工作时ΔB=1T
(2)副边匝数的计算
(3)原副边匝比的选取
变压器最小输入电压U1=500V,副边整流后最大输出电压U。=300V,设定最大占空比D=0.8,U2=U0/D,

得N1=13
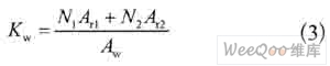
(4)窗口利用率的计算
变压器输入电流I1=30A,输出电流I2=50A,均按照电流密度KJ为2.5A/mm2设计;初级绕组截面积Ar1=12mm2,次级绕组截面积Ar2=20mm2窗口面积Aw=50cm2。
窗口利用率:

由于开关频率不算太高,变压器的绕制采用多股漆包线并绕,外包抗电强度高、介质损耗低的复合纤维绝缘纸的方式,保证绝缘等级。
2 输出电感的设计
1)对输出滤波电感的磁芯主要要求有以下几点:
(1)温度系数小,滤波电感的电感量随时间的变化率应保持最小;
(2)线性度好,在不同的工作电流下电感量的变化小;
(3)滤波电感的电损耗和磁损耗低。
选用铁基超微晶C D型切口铁芯:JFQ-078025015040,该磁芯的饱和磁感应强度Bs=1.25T,剩余磁感应强度Br2)磁芯的选择
(1)匝数、气隙的计算
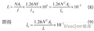
设定工作时,最大工作磁密Bm=0.8T,及最大峰值电流I=60A,电感量L=0.15mH
电感定义式

上式中,Ac是铁芯的有效截面积。
磁路欧姆定律
上式中,l0、lc是空气隙和铁芯的长度,μ0、μ。是空气和铁芯的磁导率。
由(5)式可得



由(9)式可求得气隙长度
(1)窗口利用率的计算

滤波电感通过的最大平均电流为50A,按照电流密度KJ为2.5A/mm2设计,绕组截面积A,=20mm2;窗口面积AW=19.5cm2。
窗口利用率
3 饱和电感的设计
1)磁芯的选择
选用钴基非晶环形铁芯,该磁芯的饱和磁感应强度Bs=0.53T,剩余磁感应强度Br=0.5T,居里温度210℃,磁导率μ=90000。外形尺寸:外径42mm,内径29mm,厚l8mm。磁芯有效截面积Ac=0.82cm2。
2)延迟开通时间的选择根据ZCS的要求选择0.5μs
3)匝数的计算
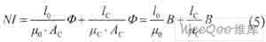
根据

式中N为匝数,tb为延迟开通时间,Bs为磁芯的饱和磁密,Ac为磁芯的有效截面积,ULS为加在饱和电感上的电压,约等于Udc。算得N=3
4)窗口利用率的计算
饱和电感通过的最大平均电流为50A,按照电流密度KJ为2.5A/mm2设计,绕组截面积Ar=20mm2;窗口面积AW=6.6cm2。
窗口利用率

4 结束语
通过对高频电源模块的主要磁性元件的优化设计,并应用在高频电源的生产中,很好的解决了磁性元件的损耗和发热的问题,对高频电源的稳定性有了进一步的提高。
高频开关电源中大量使用各种各样的磁性元件,如输入/输出共模电感,功率变压器,饱和电感以及各种差模电感。各种磁性元器件对磁性材料的要求各不相同,如差模电感希望μ值适中,但线性度好,不易饱和;共模电感则希望μ值要高,频带宽;功率变压器则希望μ值要适中,温度稳定好,剩磁小,损耗低等。在非晶材料出现以前,共模电感主要采用高μ值(6K~10K)Mn-Zn合金,差模电感多采用铁粉芯或开气隙铁氧体材料,变压器则采用铁氧体材料等。这些材料应用技术成熟,种类也很丰富,并有各种各样的产品形状供选择。随着非晶材料的出现和技术不断成熟,在开关电源设计中,非晶材料表现出许多其它材料无法比拟的优点。几种常用磁性材料基本性能比较如表1。

1 主变压器的设计
对于高频开关电源的主要发热元件,主变压器的设计尤其重要,其尺寸的大小和材料的选择更是重要。
1)主变压器的磁芯必须具备以下几个特点
(1)低损耗;
(2)高的饱和磁感应强度且温度系数小;
(3)宽工作温度范围;
(4)μ值随B值变化小;
(5)与所选用功率器件开关速度相应的频响。
早前高频变压器一般选用铁氧体磁芯,下面对VITROPERM500F铁基超微晶磁芯与德国西门子公司生产的N67系列铁氧体磁芯的性能进行较,见图1。

从以上图表可以看出两者有以下区别:
(1)相同工作频率(200kHz以下),非晶材料损耗明显低于铁氧体,工作频率越低,工作B值越高,非晶材料优势越明显。但在250kHz以上频段,铁氧体损耗要明显低于非晶材料。
(2)非晶材料损耗随温度变化量大大低于铁氧体,降低了变压器热设计的难度。
(3)非晶材料导磁率随温度变化量大大低于铁氧体,降低了变压器设计的难度,提高了电源运行的稳定性和可靠性。
(4)非晶材料Bs·μ值是铁氧体的10~15倍,意味着变压器体积重量可以大幅减小。
变压器设计过程中,最困难的是热设计,变压器的产热与多方面的因素有关,如磁芯损耗,铜损等。开关频率增加,变压器的发热呈指数增加。若采用铁氧体磁芯,由于铁氧体的居里点较低,需对变压器磁芯作散热处理,工艺制作比较复杂。若散热处理不当,铁氧体磁材高温下易失磁,导致电路工作异常。若采用非晶做变压器,将工作ΔB由4000高斯提高到100007葛斯,开关器件的工作频率则可以降到100kHz以下。非晶材料在16~100kHz频率范围内,损耗/Bs值最低,相应的变压器匝数及体积最小,发热量也较小,对提高整机效率,减小模块电源的体积有巨大帮助。在采用软开关控制技术的前提下,可以充分发挥IGBT的低导通压降,大电流,高耐压的优点,大幅度地提高电源的可靠性。
2 磁芯的选择
因为全桥变换器中的变压器工作在双端,对Br的要求不是很严格,它需要的是2Bm。但若选用高Br的磁芯,当电源功率较大时,容易产生饱和现象。为此,对于中、大功率的开关电源,主变压器选用饱和磁感应强度Bs高、剩余磁感应强度B,低的磁芯。虽然铁基非晶材料的饱和磁感应强度Bs高,但是由于铁基非晶材料的工作频率较低(选用铁基超微晶环形铁芯:ONL—1308040,该磁芯的饱和磁感应强度Bs=1.25T,剩余磁感应强度Br30000,最大磁导率μm>50000,损耗P(0.5T、20kHz)(1)取设定工作时,最大工作磁密Bm=0.5T,故全桥工作时ΔB=1T
(2)副边匝数的计算
(3)原副边匝比的选取
变压器最小输入电压U1=500V,副边整流后最大输出电压U。=300V,设定最大占空比D=0.8,U2=U0/D,

得N1=13
(4)窗口利用率的计算
变压器输入电流I1=30A,输出电流I2=50A,均按照电流密度KJ为2.5A/mm2设计;初级绕组截面积Ar1=12mm2,次级绕组截面积Ar2=20mm2窗口面积Aw=50cm2。
窗口利用率:

由于开关频率不算太高,变压器的绕制采用多股漆包线并绕,外包抗电强度高、介质损耗低的复合纤维绝缘纸的方式,保证绝缘等级。
2 输出电感的设计
1)对输出滤波电感的磁芯主要要求有以下几点:
(1)温度系数小,滤波电感的电感量随时间的变化率应保持最小;
(2)线性度好,在不同的工作电流下电感量的变化小;
(3)滤波电感的电损耗和磁损耗低。
选用铁基超微晶C D型切口铁芯:JFQ-078025015040,该磁芯的饱和磁感应强度Bs=1.25T,剩余磁感应强度Br2)磁芯的选择
(1)匝数、气隙的计算
设定工作时,最大工作磁密Bm=0.8T,及最大峰值电流I=60A,电感量L=0.15mH
电感定义式

上式中,Ac是铁芯的有效截面积。
磁路欧姆定律
上式中,l0、lc是空气隙和铁芯的长度,μ0、μ。是空气和铁芯的磁导率。
由(5)式可得



由(9)式可求得气隙长度
(1)窗口利用率的计算

滤波电感通过的最大平均电流为50A,按照电流密度KJ为2.5A/mm2设计,绕组截面积A,=20mm2;窗口面积AW=19.5cm2。
窗口利用率
3 饱和电感的设计
1)磁芯的选择
选用钴基非晶环形铁芯,该磁芯的饱和磁感应强度Bs=0.53T,剩余磁感应强度Br=0.5T,居里温度210℃,磁导率μ=90000。外形尺寸:外径42mm,内径29mm,厚l8mm。磁芯有效截面积Ac=0.82cm2。
2)延迟开通时间的选择根据ZCS的要求选择0.5μs
3)匝数的计算
根据

式中N为匝数,tb为延迟开通时间,Bs为磁芯的饱和磁密,Ac为磁芯的有效截面积,ULS为加在饱和电感上的电压,约等于Udc。算得N=3
4)窗口利用率的计算
饱和电感通过的最大平均电流为50A,按照电流密度KJ为2.5A/mm2设计,绕组截面积Ar=20mm2;窗口面积AW=6.6cm2。
窗口利用率

4 结束语
通过对高频电源模块的主要磁性元件的优化设计,并应用在高频电源的生产中,很好的解决了磁性元件的损耗和发热的问题,对高频电源的稳定性有了进一步的提高。
射频工程师养成培训教程套装,助您快速成为一名优秀射频工程师...
天线设计工程师培训课程套装,资深专家授课,让天线设计不再难...
上一篇:外部电源eps设计中心技术与芯片的应用
下一篇:基于常用直流开关电源的保护电路设计
射频和天线工程师培训课程详情>>

