- 易迪拓培训,专注于微波、射频、天线设计工程师的培养
基于电流型脉宽调制器的单端反激式稳压电源设计
录入:edatop.com 点击:
电源装置是电力电子技术应用的一个重要领域,其中高频开关式直流稳压电源由丁具有效率高、体积小、重量轻等突出优点.而得到了广泛应用。本文详细介绍一种电流控制型开关电源,以低成本的UC3842 PWM控制芯片为核心构成的多路输出的开关电源设计电路。本设计采用高性能的专用芯片UC3842,应用原边检测技术去除副边反馈环,从而降低了成本。
1 单端反激式变换器的特点
单端反激式变换器又称电感储能式变换器,工作原理如图l所示,当开关管S1被PWM脉冲激励而导通时,次级整流二极管D1截止,输出电容C给负载供电。直流输入电压施加到高频变压器T的原边绕组上,此时NP相当于一个纯电感,流过NP的电流线性上升,电源能量以磁能形式存储在电感中:当开关管S1截止时,由于电感电流不能突变,原边绕组两端电压极性反向,副边绕组上的电压极性颠倒使D1导通,原边储存的能量传送到副边,提供负载电流,同时给输出电容充电。

单端反激式变换器通常采用加气隙来增大可工作的磁场强度H,减少剩余磁感应强度;当反激式变换器处于连续工作模式时,气隙可有效防止磁芯饱和,因而可增大电源的输出功率,减少变压器磁芯损耗,进一步提高开关频率。
2 UC3842结构和功能介绍
UC3842芯片是一种单端隔离式电流型脉宽调制集成电路,其主要特点是:
(1)外接元件少,外围电路简单,价格便宜;
(2)无需输入变压器,启动电流小;
(3)具有精密的电压基准源(±l%);
(4)大电流(1 A)PWM输出级,可直接驱动功率MOS管;
(5)有欠电压封锁和过电流保护功能;
(6)工作频率可达500kHz。
UC3842芯片能同时满足较好的电气性能和较低的成本,因而被广泛用于小功率开关电源。其内部框图如图2所示。脚l为补偿端子,外接RC网络可补偿误差放大器的频率响应;脚2是电压反馈端,取样电压加在误差放大器的反相输入端,与2.5V的基准电压进行比较,产生误差电压;脚3为电流检测输入端,外接检测电阻,可构成过流保护电路,当脚3电压等于或高于lV时,电流检测比较器输出高电平,复位PWM锁存器,从而关闭输出脉冲,达到限流保护的目的。因此,被检测的峰值电流为

式中:Rs为功率开关管的电流检测电阻。在本设计方案中Rs选择0.33Ω。
脚4外接定时电阻和电容,用以确定振荡器的工作频率,其计算公式为

脚6为输出端,采用图腾式输出,输出平均电流为200mA,最大电流为lA。脚7是其电源端,芯片工作的开启电压为16V,欠压锁定电压为10V,6V的启动与关闭差值可有效地防止电路在门限值电压附近时产生振荡;脚8是其内部基准电压(5V)。
3 电源电路的工作原理
图3为工作原理图,交流输入电压经整流平滑后为电路提供直流工作电压,起动电路出电容C4和R1构成,C4经电阻R1充电,当C4电压达到UC3842的启动电压16V时,UC3842的脚6有驱动信号输出,启动过程完成后其正常的工作电压由馈电线圈N6上的高频电压经R10、D2、C4整流滤波后提供,同时也作为电压反馈信号,经R3、R4分压后送到电压比较器的反相输入端(脚2)与UC3842内部的2.5V基准电压作比较来调整驱动脉冲宽度,从而改变输出电压以实现对输出的控制;C8、R11、D3为主功率器件S1的缓冲回路,以吸收S1漏源极的电压尖峰;C2、R2、D1则作为脉冲变压器的缓冲回路,吸收N1的漏感所产生的尖峰,以防止功率器件的损坏;R8、C6构成滤波器以滤去由Rs检测的电流中可能会有的毛刺,防止电流比较器的误动作。
4 高频变压器的参数设计
本没计的目标是完成一个交流输入电压范围为220(1±20%)V,输出为24V/500mA、±15V/600mA、5V/2A的多级输出,效率η=75%,最大占空比D=O.5,工作频率f=50kHz的开关稳压直流电源。

单端反激式工关电源中变压器不仅作为变压器使用,同时又作为储能电感,它的设计方法与其他类型的变压器不同。其设计参数丰要有以下3项:
(1)求出原边绕组电感量;
(2)选择规格、尺寸合适的高频变压器磁芯;
(3)计算原副边绕组匝数。
4.1 计算原边电感量Lp及变压器气隙δ
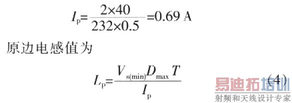
考虑到输入电压有±20%的波动,即要求该单端反激开关电源在交流电压180~260V范围内都能正常工作。原边绕组流过的峰值电流Ip为

式中:输出功率Po=24×0.5+15×0.6×2+5×2=40W;
取反激变压器最大占空比Dmax=0.5;
Vs应取最小值
Vs(min)=180×1.4-20=232V
其中20V为直流纹波及整流桥压降之和。
将各已知量代入式(3)得

假设电压Vs波动下限为7%,Vs(min)232(1-0.07)=216V,则

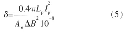
本设计中变压器选用由铁氧体R2KB材料制成的GU26×16罐型磁芯,其所需气隙长度可由下式计算

式中:Ae为磁心有效截面积;

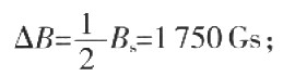
即工作磁感应强度变化值取饱和值8s的一半,查阅R2KB铁氧体磁性能表可知,其饱和磁感应强度Bs=3500GS,则

磁芯有效截面积A=97.25mm2代入各值计算可得

4.2 原副边绕组匝数
原边绕组匝数计算公式为

将4.1中得到的各量代入得N1=128匝。
副边绕组陌数的选取下面以24V输出为例介绍设计的思路,副边绕组匝数的计算公式为

式中:VD为整流二极管正向压降。
代入数据,得

取N2=14匝。
取UC3842的工作电压为15V,则反馈绕组

取9匝,式中的lV为整流管的导通压降。
5 实验结果
为了检验该开关电源的性能,本文按上述应用电路进行了测试,开关电源的电压调整率、负载调整率、纹波和效率如表l所示。

实验得到的测试值与理论上的计算值基本符合。实验证明了设计电路完全达到了预定的性能指标。
6 结语
本文利用集成芯片UC3842设计的电流型脉宽调制单端反激式开关稳压电源克服了电压控制脉宽调制开关稳压电源频响慢、电压调整率和负载调整率低的缺点,电路结构简单,成本低、体积小、易实现。实验表明该电源的性能可同集成稳压器媲美,效率比线性稳压电源高,有很好的发展前景。
1 单端反激式变换器的特点
单端反激式变换器又称电感储能式变换器,工作原理如图l所示,当开关管S1被PWM脉冲激励而导通时,次级整流二极管D1截止,输出电容C给负载供电。直流输入电压施加到高频变压器T的原边绕组上,此时NP相当于一个纯电感,流过NP的电流线性上升,电源能量以磁能形式存储在电感中:当开关管S1截止时,由于电感电流不能突变,原边绕组两端电压极性反向,副边绕组上的电压极性颠倒使D1导通,原边储存的能量传送到副边,提供负载电流,同时给输出电容充电。

单端反激式变换器通常采用加气隙来增大可工作的磁场强度H,减少剩余磁感应强度;当反激式变换器处于连续工作模式时,气隙可有效防止磁芯饱和,因而可增大电源的输出功率,减少变压器磁芯损耗,进一步提高开关频率。
2 UC3842结构和功能介绍
UC3842芯片是一种单端隔离式电流型脉宽调制集成电路,其主要特点是:
(1)外接元件少,外围电路简单,价格便宜;
(2)无需输入变压器,启动电流小;
(3)具有精密的电压基准源(±l%);
(4)大电流(1 A)PWM输出级,可直接驱动功率MOS管;
(5)有欠电压封锁和过电流保护功能;
(6)工作频率可达500kHz。
UC3842芯片能同时满足较好的电气性能和较低的成本,因而被广泛用于小功率开关电源。其内部框图如图2所示。脚l为补偿端子,外接RC网络可补偿误差放大器的频率响应;脚2是电压反馈端,取样电压加在误差放大器的反相输入端,与2.5V的基准电压进行比较,产生误差电压;脚3为电流检测输入端,外接检测电阻,可构成过流保护电路,当脚3电压等于或高于lV时,电流检测比较器输出高电平,复位PWM锁存器,从而关闭输出脉冲,达到限流保护的目的。因此,被检测的峰值电流为

式中:Rs为功率开关管的电流检测电阻。在本设计方案中Rs选择0.33Ω。
脚4外接定时电阻和电容,用以确定振荡器的工作频率,其计算公式为

脚6为输出端,采用图腾式输出,输出平均电流为200mA,最大电流为lA。脚7是其电源端,芯片工作的开启电压为16V,欠压锁定电压为10V,6V的启动与关闭差值可有效地防止电路在门限值电压附近时产生振荡;脚8是其内部基准电压(5V)。
3 电源电路的工作原理
图3为工作原理图,交流输入电压经整流平滑后为电路提供直流工作电压,起动电路出电容C4和R1构成,C4经电阻R1充电,当C4电压达到UC3842的启动电压16V时,UC3842的脚6有驱动信号输出,启动过程完成后其正常的工作电压由馈电线圈N6上的高频电压经R10、D2、C4整流滤波后提供,同时也作为电压反馈信号,经R3、R4分压后送到电压比较器的反相输入端(脚2)与UC3842内部的2.5V基准电压作比较来调整驱动脉冲宽度,从而改变输出电压以实现对输出的控制;C8、R11、D3为主功率器件S1的缓冲回路,以吸收S1漏源极的电压尖峰;C2、R2、D1则作为脉冲变压器的缓冲回路,吸收N1的漏感所产生的尖峰,以防止功率器件的损坏;R8、C6构成滤波器以滤去由Rs检测的电流中可能会有的毛刺,防止电流比较器的误动作。
4 高频变压器的参数设计
本没计的目标是完成一个交流输入电压范围为220(1±20%)V,输出为24V/500mA、±15V/600mA、5V/2A的多级输出,效率η=75%,最大占空比D=O.5,工作频率f=50kHz的开关稳压直流电源。

单端反激式工关电源中变压器不仅作为变压器使用,同时又作为储能电感,它的设计方法与其他类型的变压器不同。其设计参数丰要有以下3项:
(1)求出原边绕组电感量;
(2)选择规格、尺寸合适的高频变压器磁芯;
(3)计算原副边绕组匝数。
4.1 计算原边电感量Lp及变压器气隙δ
考虑到输入电压有±20%的波动,即要求该单端反激开关电源在交流电压180~260V范围内都能正常工作。原边绕组流过的峰值电流Ip为

式中:输出功率Po=24×0.5+15×0.6×2+5×2=40W;
取反激变压器最大占空比Dmax=0.5;
Vs应取最小值
Vs(min)=180×1.4-20=232V
其中20V为直流纹波及整流桥压降之和。
将各已知量代入式(3)得

假设电压Vs波动下限为7%,Vs(min)232(1-0.07)=216V,则

本设计中变压器选用由铁氧体R2KB材料制成的GU26×16罐型磁芯,其所需气隙长度可由下式计算

式中:Ae为磁心有效截面积;

即工作磁感应强度变化值取饱和值8s的一半,查阅R2KB铁氧体磁性能表可知,其饱和磁感应强度Bs=3500GS,则

磁芯有效截面积A=97.25mm2代入各值计算可得

4.2 原副边绕组匝数
原边绕组匝数计算公式为

将4.1中得到的各量代入得N1=128匝。
副边绕组陌数的选取下面以24V输出为例介绍设计的思路,副边绕组匝数的计算公式为

式中:VD为整流二极管正向压降。
代入数据,得

取N2=14匝。
取UC3842的工作电压为15V,则反馈绕组

取9匝,式中的lV为整流管的导通压降。
5 实验结果
为了检验该开关电源的性能,本文按上述应用电路进行了测试,开关电源的电压调整率、负载调整率、纹波和效率如表l所示。

实验得到的测试值与理论上的计算值基本符合。实验证明了设计电路完全达到了预定的性能指标。
6 结语
本文利用集成芯片UC3842设计的电流型脉宽调制单端反激式开关稳压电源克服了电压控制脉宽调制开关稳压电源频响慢、电压调整率和负载调整率低的缺点,电路结构简单,成本低、体积小、易实现。实验表明该电源的性能可同集成稳压器媲美,效率比线性稳压电源高,有很好的发展前景。
射频工程师养成培训教程套装,助您快速成为一名优秀射频工程师...
天线设计工程师培训课程套装,资深专家授课,让天线设计不再难...
上一篇:蓄电池在线内阻监测技术及运用
下一篇:DSP/BIOS在电能质量监测终端中的应用
射频和天线工程师培训课程详情>>

