- 易迪拓培训,专注于微波、射频、天线设计工程师的培养
LDO线性稳压器中高性能误差放大器设计
录入:edatop.com 点击:
近十几年来,移动电话、掌上电脑、笔记本电脑等便携式设备及医疗、测试仪器的迅猛发展拉动了具有低压差、低功耗的LDO(Low Dropout)稳压器的快速发展。当前,LDO稳压器已经实现500mV以下的压差。在LDO稳压器中,电源是主要的噪声源。尤其在高频,电源电压的变化为系统稳定性带来的影响更大。误差放大器是LDO稳压器的重要组成部分,其稳定性与整个LDO稳压器系统的稳定性能密切相关。因此,研究电源电压变化对 LDO稳压器中误差放大器的影响是非常必要的。电源抑制比(PSRR)衡量模拟系统对抗电源噪声的能力,是放大器一个非常重要的性能指标。
本文设计的误差放大器为带共源共栅电流镜负载的共源共栅差分运算跨导放大器。它应用在一款超低功耗的LDO线性稳压器中,采用共源共栅差分结构,提高了 PSRR,低频达到119dB。同时,该放大器具有高共模抑制比(CMRR),低频达到106dB,静态电流不超过0.62μA。
OTA的设计与仿真
PSRR定义为输入端到输出端的电压增益与电源到输出端的电压增益之比,即

Gm(s)和Gmp(s)分别是输入端到输出端、电源到输出端之间的跨导。在LDO线性稳压器中,只有VDD一个低压电压源供电,因此,这里只讨论VDD的PSRR。
电流镜负载放大器是LDO线性稳压器中误差放大器的基本结构,如图1所示。VDD通过M3、M4,为输出端引入一个电流(go4+sCp4)VDD,通过M3、M1、M2,为输出端引入一个电流(go1+sCp1)VDD,则

式中,go为输出导纳,Cp=CGD+CDB。

图1 基本电流镜负载差分电路
对这种结构的放大器的PSRR进行Spice仿真,如图2所示。从图2中可以看出,低频时的PSRR只能达到47.6dB,远远不能达到LDO线性稳压器的性能要求。从(2)式可以看出,减小M1、M4的输出导纳,可以提高低频时的PSRR,减小M1、M4的寄生电容,即减小MOS管的尺寸,可以提高高频时的PSRR。

图2 基本放大器的PSRR

图3 一种共源共栅差分放大器电路
采用共源共栅结构,可以将输出导纳go减小至原来的go2/(gm2+gmb2)倍。图3是本文设计的一种应用于LDO线性稳压器的差分共源共栅OTA结构。它采用两级放大,第一级(M1~M8)采用共源共栅结构提高PSRR,第二级(M10、M11)为反相器结构。
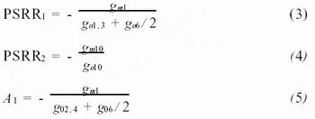
按照文献介绍的方法,对于图3的放大器结构,在低频((f

式中,go1,3≈go2,4。

gox,y为共源共栅输出端的输出导纳,如前所述gox,y≈goxgoy/(gmy+gmby)。
在高频,由于各个MOS管的寄生电容的影响,各级的输出阻抗变小,从而使高频时的PSRR减小。考虑这些寄生电容的影响,则

从(7)式可知,影响高频时PSRR性能的主要是输出端的M10,因此,在设计放大器时,应尽量减小M10的尺寸。

图4 本设计中放大器的PSRR
对图3的电路结构进行PSRR的Spice仿真,如图4所示。从图4中可以看到,在频率小于1kHz时,该放大器的PSRR值高达119dB。因此,该放大器满足LDO线性稳压器的性能要求。
在图5所示的LDO线性稳压器的电路结构中,误差放大器的输出端连接调整管(本设计中为PMOS管)。为获得低压差(Vdrop—out=RonIo),需要降低调整管的Ron。为达到这个目的,一方面需要增大PMOS晶体管的栅宽;另一方面,需要误差放大器具有较高的电压裕度。为获得高的PSRR,采用共源共栅结构,使电压裕度减少,输出电阻增大。输出电阻的增大,会使LDO线性稳压器的寄生极点

小于系统的UGF,从而影响整个LDO线性稳压器系统的稳定性。因此,在LDO线性稳压器中,虽然引入第二级放大器降低了高频时的PSRR,但为了减弱上述两方面的影响,引入第二级缓冲放大器还是必要的。

图5 LDO线性稳压器的结构

LDO稳压器的PSRR分析与仿真
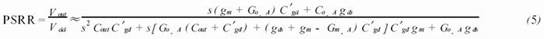
在LDO线性稳压器中,整个系统的开环增益(在图5中断开F处反馈时的开环增益)决定了低频时的PSRR;而高频时的PSRR主要受输出端的输出导纳、输出电容(很大)及调整管的栅2漏电容的影响。
图6是采用本文设计的共源共栅放大器的LDO线性稳压器的PSRR Spice仿真结果。从图中可以看出,频率在2kHz以内,整个LDO线性稳压器的PSRR约为99dB。该LDO线性稳压器中的调整管采用PMOS,因而带宽较窄。如要增大带宽,可使用NMOS调整管,但相应地,PSRR值会下降。

图6 LDO线性稳压器的PSRR
结论
本文设计了一个具有高PSRR性能的共源共栅差分运算跨导放大器。Spice仿真结果表明,该放大器对电源波动的抑制能力与普通结构相比有显著提高,且电路结构简单,晶体管数量少,减小了静态电流,完全可满足超低功耗LDO线性稳压器的性能要求。该电路已经成功地应用在一个超低功耗LDO线性稳压器芯片中,市场反映良好。
本文设计的误差放大器为带共源共栅电流镜负载的共源共栅差分运算跨导放大器。它应用在一款超低功耗的LDO线性稳压器中,采用共源共栅差分结构,提高了 PSRR,低频达到119dB。同时,该放大器具有高共模抑制比(CMRR),低频达到106dB,静态电流不超过0.62μA。
OTA的设计与仿真
PSRR定义为输入端到输出端的电压增益与电源到输出端的电压增益之比,即

Gm(s)和Gmp(s)分别是输入端到输出端、电源到输出端之间的跨导。在LDO线性稳压器中,只有VDD一个低压电压源供电,因此,这里只讨论VDD的PSRR。
电流镜负载放大器是LDO线性稳压器中误差放大器的基本结构,如图1所示。VDD通过M3、M4,为输出端引入一个电流(go4+sCp4)VDD,通过M3、M1、M2,为输出端引入一个电流(go1+sCp1)VDD,则

式中,go为输出导纳,Cp=CGD+CDB。

图1 基本电流镜负载差分电路
对这种结构的放大器的PSRR进行Spice仿真,如图2所示。从图2中可以看出,低频时的PSRR只能达到47.6dB,远远不能达到LDO线性稳压器的性能要求。从(2)式可以看出,减小M1、M4的输出导纳,可以提高低频时的PSRR,减小M1、M4的寄生电容,即减小MOS管的尺寸,可以提高高频时的PSRR。

图2 基本放大器的PSRR

图3 一种共源共栅差分放大器电路
采用共源共栅结构,可以将输出导纳go减小至原来的go2/(gm2+gmb2)倍。图3是本文设计的一种应用于LDO线性稳压器的差分共源共栅OTA结构。它采用两级放大,第一级(M1~M8)采用共源共栅结构提高PSRR,第二级(M10、M11)为反相器结构。
按照文献介绍的方法,对于图3的放大器结构,在低频((f

式中,go1,3≈go2,4。

gox,y为共源共栅输出端的输出导纳,如前所述gox,y≈goxgoy/(gmy+gmby)。
在高频,由于各个MOS管的寄生电容的影响,各级的输出阻抗变小,从而使高频时的PSRR减小。考虑这些寄生电容的影响,则

从(7)式可知,影响高频时PSRR性能的主要是输出端的M10,因此,在设计放大器时,应尽量减小M10的尺寸。

图4 本设计中放大器的PSRR
对图3的电路结构进行PSRR的Spice仿真,如图4所示。从图4中可以看到,在频率小于1kHz时,该放大器的PSRR值高达119dB。因此,该放大器满足LDO线性稳压器的性能要求。
在图5所示的LDO线性稳压器的电路结构中,误差放大器的输出端连接调整管(本设计中为PMOS管)。为获得低压差(Vdrop—out=RonIo),需要降低调整管的Ron。为达到这个目的,一方面需要增大PMOS晶体管的栅宽;另一方面,需要误差放大器具有较高的电压裕度。为获得高的PSRR,采用共源共栅结构,使电压裕度减少,输出电阻增大。输出电阻的增大,会使LDO线性稳压器的寄生极点

小于系统的UGF,从而影响整个LDO线性稳压器系统的稳定性。因此,在LDO线性稳压器中,虽然引入第二级放大器降低了高频时的PSRR,但为了减弱上述两方面的影响,引入第二级缓冲放大器还是必要的。

图5 LDO线性稳压器的结构

LDO稳压器的PSRR分析与仿真
在LDO线性稳压器中,整个系统的开环增益(在图5中断开F处反馈时的开环增益)决定了低频时的PSRR;而高频时的PSRR主要受输出端的输出导纳、输出电容(很大)及调整管的栅2漏电容的影响。
图6是采用本文设计的共源共栅放大器的LDO线性稳压器的PSRR Spice仿真结果。从图中可以看出,频率在2kHz以内,整个LDO线性稳压器的PSRR约为99dB。该LDO线性稳压器中的调整管采用PMOS,因而带宽较窄。如要增大带宽,可使用NMOS调整管,但相应地,PSRR值会下降。

图6 LDO线性稳压器的PSRR
结论
本文设计了一个具有高PSRR性能的共源共栅差分运算跨导放大器。Spice仿真结果表明,该放大器对电源波动的抑制能力与普通结构相比有显著提高,且电路结构简单,晶体管数量少,减小了静态电流,完全可满足超低功耗LDO线性稳压器的性能要求。该电路已经成功地应用在一个超低功耗LDO线性稳压器芯片中,市场反映良好。
射频工程师养成培训教程套装,助您快速成为一名优秀射频工程师...
天线设计工程师培训课程套装,资深专家授课,让天线设计不再难...
上一篇:基于研究电压型逆变器高压串联谐振技术
下一篇:大电流LDO实现直接并联和高功率密度
射频和天线工程师培训课程详情>>

