- 易迪拓培训,专注于微波、射频、天线设计工程师的培养
息线电压IB选取及电源系统的设计
录入:edatop.com 点击:
XY·CN总线是一种低成本的、一点对多点的现场总线通信系统,该系统的优势之一是其无与伦比的节电优势,要发挥该优势,就要注意各部分的电源设计方法。总线电压在12~36 V范围系统均能正常工作,对不同的应用可选用不同的工作电压,本文将全面论述其系统的电源设计原理及方法。
1 总线电压的选取
1.1 距离影响
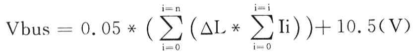
标准XY001组成的从站接收电路的极限工作电压为10.5 V,总线使用RVl.5双绞线为介质,其千米阻抗为30Q左右,我们只有考虑系统在最大工作电流下末端电压大于10.5 V即可。如果供电时间比为3:5(有3/5的时间供申),则总线电压计算公式如下:

N为节点个数,L为双绞线长的,Ii为i节点电流。
按以上公式,如果将所有节点设备均安装在2000 m处标准系统,总线最大输出电流为:
(24—10.5)/(0.05*2C)00)=O.135(A)=135(mA)
也就是说标准系统在监视状态下(130 mA),可全部工作在2000 m处。该计算也可以看出,系统是不能这样应用的,因为设备动作后会使静态电流增大。
1.2 设备功耗影响
XY·CN总线为主机供电方式,为设计需要备电工作的系统提供了极大的方便。但一些系统功耗较大,这时总线电压的选用就会完全考虑满足系统对电源功率的要求。如食堂、快餐店售饭系统,消防的报警显示系统,这些系统均需要为设备提供大的电压功率。
为解决这种系统对电源功率的要求,我们可以选用36V系统,以售饭系统为例说明的功率系统的设计方法:售饭机主要功耗是启动16只中型数码LED,其驱动最大电流达220 mA,启动射频卡可采用与数码管分时驱动的办法解决,因此按200 mA的平均电流计算。电源部分使用由MC34063芯片组成的低成本开关电源,按效率80%计算,25 V输入电压下(5 V为总线损耗),输入电流为200/((25/3)*0.8)=30 mA。将总电流控制在600mA之内,每路总线可以安装20台售饭机。

注意:总线入口换向及隔离二极管采用1N5819肖特基二极管。
如果所有售饭机均在总线末端,要保持电压25 V,使用RVl.5双绞线该系统总线通信距离为5/(0.05*O.6)=160 m。[next]
2 系统功率计算
2.1 输入设备
多数的输入设备直接使用XY001芯片的串联稳压器供电,静态功耗ISTAICT/O在O.6 mA左右,动作指示后的最大功耗IMAXI/O为1.5 mA左右。
2.2 大功率控制设备
由于该类节点设备功耗较高,多采用3 V系统及开关稳压电源,因此其功率计算要考虑由于长距离总线降压引起的电流变化,以24 V系统计算,2 km的供电最大压降达12 V,平均压降达6 V,因此其平均的开关电源输入电压为24—2(电路损耗)一6=16 V,如果3 V系统需要使用200 mA显示电流,按开关电源效率80%计算,总线供电电流IPOW为3×200×80%/16=30 mA。
2.3 分时启动设备
由于设备是在控制器控制下分时启动,只计算同时可启动数量n的总电流n×ISIPTLME。
2.3.1 偶然启动设备
使用自备电的短时供电设备,如声光讯响器,由于该设备动作时不消耗总线能量,只需要计算其平均脉冲充电功耗ILITTIME即可。
2.3.2 系统总功率计算
主电功率一总线工作电压×总线最大工作电流+控制器最大功率+充电功率。
备电容量一要求静态工作时间×静态功率+要求终止工作后最大功率工作时间×最大功率。
3 常用总线电压的电源系统设计
XY·CN BUS系统备电设计非常简便,只需要按系统对电源容量的要求总和在控制器上设计备电,因此低成本的大容量的铅畜电池是备电的首选。
3.1 系统框图

使用单输出的AC开关电源与开关升压电源输出并联作为电源输出,因输出并联,不能使用同步整流器,避免二输出相互影响。
铅蓄电池的最高充电电压要小于输出电压,这样简单的串联开关恒流电路即可完成高效率充电。而备电稳压也只需要简单的开关升压稳压器即可,电压系统设计简单。
3.2 AC220V开关电源
完成交流到直流的电能转换,电压等于总线电压,电流等于额定输出电流的1.2倍。当AC输入电压低于154V时,该电压要输出主电故障信号给控制电路,控制备电升压电路工作,并在主电正常时关闭备电升压,根据电池状况对电池进行充电。
3. 3 开关恒流充电电路
该电源以主电直流输出为输入,恒流为电池充电,系统可在单片机控制下进行间歇式充电。还可以设计定期放电、充电,保证铅蓄电池的寿命。
3.4 开关升压电路
将电池电压升压稳压至电源输出电压,保证备电工作时输出电压的稳定。控制电路在电池电压低于电池最低输出电压时自动关闭升压电路以保证电池不会过放电损坏。

3.5 电源控制
总线电源系统对电压要求不高,纹波小于200 mV即可正常工作,因此使用单片机的A/D采样加输出PWM控制开关管及可满足电源系统要求,该系统的电池升压及恒流开关电源不会同时工作,因此使用PICl6F690及可满足电源管理要求。
3.6 控制器控制电路电源
使用常用的LM3478完成隔离电源设计,参考电路如图4。选择不同的MOS管后该系统输出功率可达10 W以上。

结 语
XY·CN总线的电源系统是总线稳定工作的重要保证。对于这样复杂的现场控制系统,其备电系统设计相对简单,是您选择该系统设计的一大优势。
1 总线电压的选取
1.1 距离影响
标准XY001组成的从站接收电路的极限工作电压为10.5 V,总线使用RVl.5双绞线为介质,其千米阻抗为30Q左右,我们只有考虑系统在最大工作电流下末端电压大于10.5 V即可。如果供电时间比为3:5(有3/5的时间供申),则总线电压计算公式如下:

N为节点个数,L为双绞线长的,Ii为i节点电流。
按以上公式,如果将所有节点设备均安装在2000 m处标准系统,总线最大输出电流为:
(24—10.5)/(0.05*2C)00)=O.135(A)=135(mA)
也就是说标准系统在监视状态下(130 mA),可全部工作在2000 m处。该计算也可以看出,系统是不能这样应用的,因为设备动作后会使静态电流增大。
1.2 设备功耗影响
XY·CN总线为主机供电方式,为设计需要备电工作的系统提供了极大的方便。但一些系统功耗较大,这时总线电压的选用就会完全考虑满足系统对电源功率的要求。如食堂、快餐店售饭系统,消防的报警显示系统,这些系统均需要为设备提供大的电压功率。
为解决这种系统对电源功率的要求,我们可以选用36V系统,以售饭系统为例说明的功率系统的设计方法:售饭机主要功耗是启动16只中型数码LED,其驱动最大电流达220 mA,启动射频卡可采用与数码管分时驱动的办法解决,因此按200 mA的平均电流计算。电源部分使用由MC34063芯片组成的低成本开关电源,按效率80%计算,25 V输入电压下(5 V为总线损耗),输入电流为200/((25/3)*0.8)=30 mA。将总电流控制在600mA之内,每路总线可以安装20台售饭机。

注意:总线入口换向及隔离二极管采用1N5819肖特基二极管。
如果所有售饭机均在总线末端,要保持电压25 V,使用RVl.5双绞线该系统总线通信距离为5/(0.05*O.6)=160 m。[next]
2 系统功率计算
2.1 输入设备
多数的输入设备直接使用XY001芯片的串联稳压器供电,静态功耗ISTAICT/O在O.6 mA左右,动作指示后的最大功耗IMAXI/O为1.5 mA左右。
2.2 大功率控制设备
由于该类节点设备功耗较高,多采用3 V系统及开关稳压电源,因此其功率计算要考虑由于长距离总线降压引起的电流变化,以24 V系统计算,2 km的供电最大压降达12 V,平均压降达6 V,因此其平均的开关电源输入电压为24—2(电路损耗)一6=16 V,如果3 V系统需要使用200 mA显示电流,按开关电源效率80%计算,总线供电电流IPOW为3×200×80%/16=30 mA。
2.3 分时启动设备
由于设备是在控制器控制下分时启动,只计算同时可启动数量n的总电流n×ISIPTLME。
2.3.1 偶然启动设备
使用自备电的短时供电设备,如声光讯响器,由于该设备动作时不消耗总线能量,只需要计算其平均脉冲充电功耗ILITTIME即可。
2.3.2 系统总功率计算
主电功率一总线工作电压×总线最大工作电流+控制器最大功率+充电功率。
备电容量一要求静态工作时间×静态功率+要求终止工作后最大功率工作时间×最大功率。
3 常用总线电压的电源系统设计
XY·CN BUS系统备电设计非常简便,只需要按系统对电源容量的要求总和在控制器上设计备电,因此低成本的大容量的铅畜电池是备电的首选。
3.1 系统框图

使用单输出的AC开关电源与开关升压电源输出并联作为电源输出,因输出并联,不能使用同步整流器,避免二输出相互影响。
铅蓄电池的最高充电电压要小于输出电压,这样简单的串联开关恒流电路即可完成高效率充电。而备电稳压也只需要简单的开关升压稳压器即可,电压系统设计简单。
3.2 AC220V开关电源
完成交流到直流的电能转换,电压等于总线电压,电流等于额定输出电流的1.2倍。当AC输入电压低于154V时,该电压要输出主电故障信号给控制电路,控制备电升压电路工作,并在主电正常时关闭备电升压,根据电池状况对电池进行充电。
3. 3 开关恒流充电电路
该电源以主电直流输出为输入,恒流为电池充电,系统可在单片机控制下进行间歇式充电。还可以设计定期放电、充电,保证铅蓄电池的寿命。
3.4 开关升压电路
将电池电压升压稳压至电源输出电压,保证备电工作时输出电压的稳定。控制电路在电池电压低于电池最低输出电压时自动关闭升压电路以保证电池不会过放电损坏。

3.5 电源控制
总线电源系统对电压要求不高,纹波小于200 mV即可正常工作,因此使用单片机的A/D采样加输出PWM控制开关管及可满足电源系统要求,该系统的电池升压及恒流开关电源不会同时工作,因此使用PICl6F690及可满足电源管理要求。
3.6 控制器控制电路电源
使用常用的LM3478完成隔离电源设计,参考电路如图4。选择不同的MOS管后该系统输出功率可达10 W以上。

结 语
XY·CN总线的电源系统是总线稳定工作的重要保证。对于这样复杂的现场控制系统,其备电系统设计相对简单,是您选择该系统设计的一大优势。
射频工程师养成培训教程套装,助您快速成为一名优秀射频工程师...
射频和天线工程师培训课程详情>>

