- 易迪拓培训,专注于微波、射频、天线设计工程师的培养
基于TI DSP的数字化三相变频电源的研制
录入:edatop.com 点击:
随着电力电子技术的飞速发展,正弦波输出变频电源已被广泛应用在各个领域中,与此同时对变频电源的输出电压波形质量也提出了越来越高的要求。在实验室和工业部门,三相正弦波变频电源常用于各种测量和控制电路中,产生单相或三相正弦波信号作为基准信号,基准正弦波的波形质量直接影响到测量和控制的精度。对于一个良好的正弦信号源,要求其输出的基准正弦波信号幅值、频率高度稳定、失真度小、带负载能力强、幅值可调,对于三相正弦波信号还要求三相对称度好。兼顾这些要求往往使电路变得复杂。因此,研究开发既简单又具有优良动、静态性能的逆变器控制策略,已成为电力电子领域的研究热点之一。
1 工作原理
系统总体电路结构由主回路、控制电路、采样电路、反馈电路和各类保护电路等部分组成,系统原理图如图1所示。

1.1 主回路及工作原理
主回路中有三大部分组成:整流滤波电路、三相全桥逆变电路和三相无源滤波电路。整流滤波电路将单相交流电变成直流电,三相全桥逆变电路将直流电变成三相交流电,三相交流电经过三相滤波电路后得到标准的三相正弦波电源,主回路原理图如图2所示。

1.2 控制回路工作原理
控制电路的调制波采用SPWM波,对正弦波输出变频电源进行SPWM调制,数字化控制,是以TMS320F2812数字信号处理器为主控芯片,实现电源的最佳控制。控制回路原理图如图3所示。
1.3 控制策略
电源利用TMS320F2812中的事件管理器,采用SPWM调制的方式,逆变器输出信号经三相无源滤波后得到标准的正弦波。控制结构图如图4所示。

1.4 软启动功能及故障处理
电源系统设置了软启动功能、开路保护、短路保护、MOSFET过流保护、缺相保护和负载不对称保护。
电源控制系统有三种工作模式:正常工作模式,启动模式及保护模式。
当电源开始工作或者在故障后启动的时候,为了防止负载侧电压上升过快而导致电路故障,我们采用软启动的方法,这时,控制系统处于启动模式下。软启动包括两个部分。首先,在输入侧通过对输入的三相电压慢慢升压的方式,我们可以保证逆变电路不会因母线电压直接加上去而导致故障的发生。另外,在逆变电路的控制过程中,我们需要采用闭环控制方法,通过采样记录分析的数据调整驱动信号频率,当负载侧电压上升到一定值的时候,我们再将电路转入正常工作的模式之下,所以在软启动条件下,负载侧不会因瞬间出现的高电压而发生故障。
在电源运行的过程中,由于短路故障,工作电流将急剧升高,若不采取措施,将会使电路中许多元器件被过电流破坏。过电流发生时,电路中的过流保护装置会动作,这时,控制电路的驱动信号将被闭锁,驱动信号停发,电路由正常工作模式转入保护控制模式。保护模式下,控制系统会在闭锁驱动信号后,经过一定的时间,自动地进行重启动,如果再发生过电流,电源将停止工作。
2 软件设计
2.1 软件总体设计
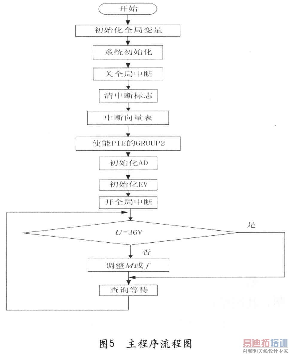
软件部分主要包括SPWM的产生,A/D转换,PID调节,频率捕获,软启动和保护。主要功能是通过正弦脉宽调制技术控制三相桥式逆变器,使其输出频率可调、幅值稳定的三相正弦电压,通过A/D转换对输出的电压和电流进行采样,对输出电压、电流实时监控,当电流超过3.6A时切断三相逆变桥的输出,对电路进行保护。通过PID调节使输出电压变化时也能及时的做出反应,使输出电压稳定在36V。在系统的启动过程中使用软启动减少电压和电流对系统回路的冲击。
主程序流程图如图5所示。

2.2 SPWM生成原理
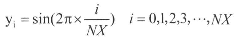
SPWM流程图如图6所示。在程序的初始化部分建立一个正弦表,在系统运行的时候可以通过查表的方式得到想要的数据。假设在一个正弦波周期内采样的次数为NX,则在第i个点的采样值为


在实际使用中由于正弦表中的值要能被比较寄存器使用,所以不能出现负值,从上式可以看出当

此时就不能正常使用了,因此可以把上面的公式改写为下面的形式:

其中PR为周期寄存器中的计数周期值。
对yi取整,从i=1到i=NX,得到NX个正弦采样值的表格,设置通用定时器的计数方式为连续增减计数方式,在中断程序中调用表中的值即可产生相应的按正弦规律变化的方波信号。
这里NX取180,载波比为3的整数倍(载波比=调制波频率/载波频率),这样可以使三相输出波形严格对称,减少谐波对输出电压波形的影响。
2.3 显示电路
为了提高产品的人机交互性,系统中加了显示电路,经过比较,我们采用SPLC50lA液晶显示屏完成显示工作,显示电路与DSP2812连接框图如图7所示:

TMS320F2812对任何一个映射在XINTF区的外部器件进行读/写访问都可划分为三个阶段:建立阶段、激活阶段和跟踪阶段。这次设计中LCD映射到了XINTF0,默认情况下三个阶段的周期分别为6个XTIMCLK周期,14个XTIMCLK周期和6个XTIMCLK周期,如果将XTIMCLK的频率设置为SYSCLKOUT的l/2,则读/写周期的最大值为1 80ns。三个阶段的读写时序图如图8所示:

凌阳SPLC501液晶模块的使能信号CS的周期最小为166ns,时序图如图9所示。由前面分析可得,DSP的读写周期最大值为180ns,液晶模块的读写周期最小为166ns,DSP的读/写时序能满足该液晶模块的要求。
3 创新点设计
本系统设计采用交一直一交变频方式,系统整体结构运用模块化设计,将变频电源的各部分很好的结合在一起,实现变频输出;高精度显示电压、电流、频率、有功功率,所测信号数值为真有效值,电压输出精度高,误差小于5%,输出三相正弦波失真度小,并且具有过压、过流、缺相保护等功能,性能稳定,本系统设计的创新点在于:

1)结合TMS320LF2812芯片的AD单元,对三相变频电源的输出线电压、线电流进行采样,外扩随即存储器,通过SPLC50l液晶显示器显示电压、电流以及频率的值,可以实现自主采样和数据传输,大大提高数据采集效率,实时的显示变频电源的电压、电流的有效值,显示精度高,实时性好。
2)结合TMS320F2812事件管理器EV单元,采用正弦脉宽调制(SPWM)技术,通过对SPWM程序进行设计和改进算法,可以有效的调节三相变频电源输出的频率和有效值,实时陛好,精度高。
3)变频电源系统控制部分完全实现了数字化,控制精度更高,抗干扰能力强。
4 测试结果
根据设计要求,我们试制了样品,由示波器观察到的相电压和线电压波形(见图10~图13)可以看出,波形基本上没有失真,并且通过调节调制度和正弦波的频率可以改变输出电压的大小,达到了设计要求。

5 结论
研制的数字化三相变频电源,经过两次试制,其间经过多次试验,并且对控制原理、电路结构等方面进行改进,现已逐步完善并经过考验,证明了本电源的有效性及可靠性。
1 工作原理
系统总体电路结构由主回路、控制电路、采样电路、反馈电路和各类保护电路等部分组成,系统原理图如图1所示。

1.1 主回路及工作原理
主回路中有三大部分组成:整流滤波电路、三相全桥逆变电路和三相无源滤波电路。整流滤波电路将单相交流电变成直流电,三相全桥逆变电路将直流电变成三相交流电,三相交流电经过三相滤波电路后得到标准的三相正弦波电源,主回路原理图如图2所示。

1.2 控制回路工作原理
控制电路的调制波采用SPWM波,对正弦波输出变频电源进行SPWM调制,数字化控制,是以TMS320F2812数字信号处理器为主控芯片,实现电源的最佳控制。控制回路原理图如图3所示。
1.3 控制策略
电源利用TMS320F2812中的事件管理器,采用SPWM调制的方式,逆变器输出信号经三相无源滤波后得到标准的正弦波。控制结构图如图4所示。

1.4 软启动功能及故障处理
电源系统设置了软启动功能、开路保护、短路保护、MOSFET过流保护、缺相保护和负载不对称保护。
电源控制系统有三种工作模式:正常工作模式,启动模式及保护模式。
当电源开始工作或者在故障后启动的时候,为了防止负载侧电压上升过快而导致电路故障,我们采用软启动的方法,这时,控制系统处于启动模式下。软启动包括两个部分。首先,在输入侧通过对输入的三相电压慢慢升压的方式,我们可以保证逆变电路不会因母线电压直接加上去而导致故障的发生。另外,在逆变电路的控制过程中,我们需要采用闭环控制方法,通过采样记录分析的数据调整驱动信号频率,当负载侧电压上升到一定值的时候,我们再将电路转入正常工作的模式之下,所以在软启动条件下,负载侧不会因瞬间出现的高电压而发生故障。
在电源运行的过程中,由于短路故障,工作电流将急剧升高,若不采取措施,将会使电路中许多元器件被过电流破坏。过电流发生时,电路中的过流保护装置会动作,这时,控制电路的驱动信号将被闭锁,驱动信号停发,电路由正常工作模式转入保护控制模式。保护模式下,控制系统会在闭锁驱动信号后,经过一定的时间,自动地进行重启动,如果再发生过电流,电源将停止工作。
2 软件设计
2.1 软件总体设计
软件部分主要包括SPWM的产生,A/D转换,PID调节,频率捕获,软启动和保护。主要功能是通过正弦脉宽调制技术控制三相桥式逆变器,使其输出频率可调、幅值稳定的三相正弦电压,通过A/D转换对输出的电压和电流进行采样,对输出电压、电流实时监控,当电流超过3.6A时切断三相逆变桥的输出,对电路进行保护。通过PID调节使输出电压变化时也能及时的做出反应,使输出电压稳定在36V。在系统的启动过程中使用软启动减少电压和电流对系统回路的冲击。
主程序流程图如图5所示。

2.2 SPWM生成原理
SPWM流程图如图6所示。在程序的初始化部分建立一个正弦表,在系统运行的时候可以通过查表的方式得到想要的数据。假设在一个正弦波周期内采样的次数为NX,则在第i个点的采样值为


在实际使用中由于正弦表中的值要能被比较寄存器使用,所以不能出现负值,从上式可以看出当

此时就不能正常使用了,因此可以把上面的公式改写为下面的形式:

其中PR为周期寄存器中的计数周期值。
对yi取整,从i=1到i=NX,得到NX个正弦采样值的表格,设置通用定时器的计数方式为连续增减计数方式,在中断程序中调用表中的值即可产生相应的按正弦规律变化的方波信号。
这里NX取180,载波比为3的整数倍(载波比=调制波频率/载波频率),这样可以使三相输出波形严格对称,减少谐波对输出电压波形的影响。
2.3 显示电路
为了提高产品的人机交互性,系统中加了显示电路,经过比较,我们采用SPLC50lA液晶显示屏完成显示工作,显示电路与DSP2812连接框图如图7所示:

TMS320F2812对任何一个映射在XINTF区的外部器件进行读/写访问都可划分为三个阶段:建立阶段、激活阶段和跟踪阶段。这次设计中LCD映射到了XINTF0,默认情况下三个阶段的周期分别为6个XTIMCLK周期,14个XTIMCLK周期和6个XTIMCLK周期,如果将XTIMCLK的频率设置为SYSCLKOUT的l/2,则读/写周期的最大值为1 80ns。三个阶段的读写时序图如图8所示:

凌阳SPLC501液晶模块的使能信号CS的周期最小为166ns,时序图如图9所示。由前面分析可得,DSP的读写周期最大值为180ns,液晶模块的读写周期最小为166ns,DSP的读/写时序能满足该液晶模块的要求。
3 创新点设计
本系统设计采用交一直一交变频方式,系统整体结构运用模块化设计,将变频电源的各部分很好的结合在一起,实现变频输出;高精度显示电压、电流、频率、有功功率,所测信号数值为真有效值,电压输出精度高,误差小于5%,输出三相正弦波失真度小,并且具有过压、过流、缺相保护等功能,性能稳定,本系统设计的创新点在于:

1)结合TMS320LF2812芯片的AD单元,对三相变频电源的输出线电压、线电流进行采样,外扩随即存储器,通过SPLC50l液晶显示器显示电压、电流以及频率的值,可以实现自主采样和数据传输,大大提高数据采集效率,实时的显示变频电源的电压、电流的有效值,显示精度高,实时性好。
2)结合TMS320F2812事件管理器EV单元,采用正弦脉宽调制(SPWM)技术,通过对SPWM程序进行设计和改进算法,可以有效的调节三相变频电源输出的频率和有效值,实时陛好,精度高。
3)变频电源系统控制部分完全实现了数字化,控制精度更高,抗干扰能力强。
4 测试结果
根据设计要求,我们试制了样品,由示波器观察到的相电压和线电压波形(见图10~图13)可以看出,波形基本上没有失真,并且通过调节调制度和正弦波的频率可以改变输出电压的大小,达到了设计要求。

5 结论
研制的数字化三相变频电源,经过两次试制,其间经过多次试验,并且对控制原理、电路结构等方面进行改进,现已逐步完善并经过考验,证明了本电源的有效性及可靠性。
射频工程师养成培训教程套装,助您快速成为一名优秀射频工程师...
射频和天线工程师培训课程详情>>

