- 易迪拓培训,专注于微波、射频、天线设计工程师的培养
车载监控调度系统中的电磁兼容性设计
录入:edatop.com 点击:
分析了车载监控调度系统中的电磁干扰信号,论述了电磁骚扰源、骚扰途径和敏感设备的物理特性,建立电磁兼容的模型。根据分析和计算,进行了电磁兼容预测,通过隔离、屏蔽、接地、滤波等逐次进行符合设备电磁兼容规范的电磁兼容性设计,最终达到了符合电磁兼容性规范的设计要求。
电磁兼容性EMC(Electromagnetic Compatibility),按GB/T436 5-1 995定义为:设备或系统在其电磁环境中能正常工作且不对该环境中任何事物构成不能承受的电磁骚扰的能力。随着现代科学技术的发展,电子设备的数量及种类不断增加,工作频率不断提高,电磁环境日益复杂。在这种复杂的电磁环境中,如何有效地减少相互间的电磁影响,使各种设备正常运转,需要在产品设计开始时就考虑电磁兼容性的问题。在设计定型、系统综合集成后,发现电磁兼容问题再重新调整系统结构,必须会带来更多的困难,造成研发时间和成本的双重浪费。
近年来,随着汽车微电子装备的大量增加,半导体逻辑器件对电磁干扰敏感度相当高,加之汽车线速与有关高场强频段的波长可以比拟,这些频段存在对车载电子系统造成强烈电磁干扰的隐患;车载电磁低电压、大电流负载特性使其开关过程在供电线路上产生很多脉冲干扰,进一步恶化了电磁环境。因而,在实际并不十分复杂的汽车电器设计中,电磁兼容设计通常成为设计成败的关键。

为了实现电磁兼容,要从电磁骚扰源、电磁骚扰传播特性、敏感设备抗干扰能力、测量设备、测量方法与数据处理方法、系统内、系统间电磁兼容性等多个方面考虑。在实际应用中,从预测入手,对噪声源、噪声接收电路、耦合通道等几方面进行分析。在准确测量的基础上,建立恰当的数学模型并根据实际需要进行合理的近似,并在实践中不断加以修正,得到解决电磁骚扰问题的方法和手段,由此达到电磁兼容设计的最终目的。
本文以车载监控调度系统终端设计为背景,在已有实验条件下,讨论了电磁兼容的预测模型和计算方法,并从工程应用方面提出了综合设计的方法、原则,经过实践,满足设备电磁兼容性指标。
1 系统概述
本设计中的车载移动终端是车载监控调度系统的核心,其功能是:采集车辆数据(包括GPS定位信息、车辆运行状况信息等)通过无线信道发送给监控中心,同时接收、响应监控中心的指令。主要由GPS接收单元、GPRS通信单元、主控制器单元、中文液晶显示屏与键盘组成的人机交互单元及电话手柄组成,是典型的多MPU嵌入式系统,如图1所示。
整个系统安装在仪表板下方,GPS天线和GPRS天线由磁性底座安装在车顶,键盘、显示、控制及驱动单元在仪表板前方,都是杂波较强的位置。

2 电磁兼容环境分析
电磁环境是提出和确定设备或系统电磁兼容设计指标要求、实施电磁兼容的前提。明确工作系统所处的电磁环境,才能在设计时遵循正确的要求和步骤,采取充分的管理保障措施,达到所希望的最佳设计水平。
系统的电磁环境由多个电磁骚扰源构成。为了准确地描述电磁环境,有关综合电磁环境的计算和测量是必不可少的。电子设备的主观任务是完成人所赋予的功能,但客观上它在工作时要向外辐射有用或无用的能量。如果在电磁环境中有多个电磁骚扰源,在敏感设备位置上综合电磁环境骚扰场强符合线性叠加原理。经过分析,在本系统中,杂波的来源有以下几方面:
(1)车载无线通信设备
车载无线通信设备是一个潜在的直接骚扰源,可以直接在汽车附近产生约4V/m的场强。该场强随着距离的增大按照E-1/r2的规律衰减,其各个频段内的发射功率如图2。
(2)汽车自生骚扰
汽车内部的自生骚扰发射干扰源主要是汽车电器中的各种瞬变电脉冲、分电器的触头之间和火花塞间隙之间的火花以及车轮与地面、车身与空气高速磨擦产生的静电放电。这些自身产生的骚扰即可能通过电磁骚扰发射对环境中的其它电器造成干扰。这些自生骚扰可进一步分为3组:
频谱范围10kHz~1000MHz,由高压点火装置产生的宽带干扰;
频谱范围10kHz~500MHz,由直流电机和离散输出级产生的宽带干扰;
频谱范围基频~4000MHz,车载数字计算机(各种ECU和车载办公数字设备)产生的窄带干扰。
经实测,当没有去扰措施时,汽车接收天线上干扰强度可达50dBμV/m。
(3)天线间的耦合
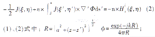
在系统天线中,GPS天线为接收天线,而GPRS天线则兼接收和发射;除此之外还有其它车载设备如调频广播天线等。天线间的相互干扰引起接收机减敏,影响收发机的同时工作。反映这种干扰的主要指标是天线间的耦合度和近场分布。因此天线间的耦合度和天线近场的预估是电磁兼容的一个重要问题。通常,安装在车辆上的线天线多涉及线面连接问题,因此在计算时,需要采用电场积分方程和磁场积分方程相结合求解。
由于天线较细,可处理为线天线,根据文献,设a为天线半径,I(ι)为线上电流,认为电流只沿轴向分布,车载天线上的电场积分方程为:

通过磁矢A和位函数φ,可推导出导体面上所采用的磁场积分方程:

n为导体面外法线单位矢量;
R为场点(ξ,η)到源点(ξ,η)的距离。
对(1)式,在天线较细的情况下,将天线离散为多个短直细线,令

,用矩量法求解时可令基函数为:

段长度,ιj为第j段的中心位置,结合线段两端电荷与电流的连续性,通过矩量法求解参数,从而得到电流。
对于(2)式,面电流可展开为:

合适的权函数,如点选配法、子域匹配法、最小二乘法等。计算中使用ωm =δ(x-xm)进行点选配,得到矩阵方程并求解,从而得到面上电流的分布。
对于多天线间的耦合度计算,可将其等效为多端口微波网络处理。耦合网络模型如图3。

耦合度定义为:

Pinc为入射到发射天线的功率;Pin为发射天线端的输入功率;Pout为接收天线端的净输出功率;Γ为发射天线端的复电压反射系数。
考虑任意激励和加载,将天线统一进行分段,各段符合叠加原理,根据欧姆定律,对于N通道系统有矩阵方程:

其中,[YL]为在馈入端存在规定负载时的短路导纳矩阵,

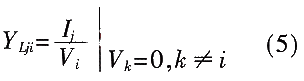
考虑系统中任意两天线间的耦合度:假定通道i被激励,通道j被加载,对上述矩阵方程展开有:

实际计算两个天线间的耦合度时,可将其等效为二端口网络,如图4。

其中, 是接收天线负载为YL

时,发射天线的输入导纳。
实际计算中,先对一个天线端口馈电,另一个天线输入端口短路,根据式(1)、(2),利用矩量法求解所需端口的输入电流,根据式(5)求解出相应的阻抗值,再按式(7)求解耦合度。对于两天线间的耦合度,可相应简化求解。
3 电磁干扰的传输途径
有电磁干扰产生,必然存在干扰能量的传播通道。本系统中干扰传输的几种基本方式有:传导、辐射及其组合。
传导是骚扰源与敏感设备之间的主要骚扰耦合途径之一,按其耦合机理可进一步分为:电阻性耦合、电容性耦合和电感性耦合。汽车中的供电线路构成了干扰源和敏感设备之间干扰传导传输的完整电路连接,干扰信号通过供电线路可达每个用电设备。
辐射传输是通过介质以电磁波的形式传播,干扰能量按电磁场的规律向周围空间发射。辐射耦合细分为:天线对天线耦合、场对线耦合及闭合回路耦合。汽车的信号电缆长度分布在0.5m~10m的范围内,按照1/4波长到1/2波长天线敏感共振原理,汽车电缆线束感应或发送无线电干扰信号的有效频段大约为7MHz~300 MHz。
汽车内部的自生骚扰,包括瞬变电脉冲、静电放电、点火装置宽频干扰,既可能通过传导,也可能通过辐射对汽车电子器件以及天线引入干扰。
4 敏感设备的预测
敏感设备是指受干扰影响的系统、设备,敏感设备对干扰信号表现出不希望有的响应,确定敏感设备是进行综合电磁干扰设计的重要环节。
对任何实际的敏感设备除具有工作频带外,都具有接收工作频带以外信号的能力。用S(Δ 0)表示相对于工作频带Δ 0的接收选择性。用Si表示相对于工作频带失谐Δ i的接收选择性即带外接收选择性。则敏感设备的通道接收电磁信号的频率选择模型可表示为:

将骚扰信号的频谱分为两部分:一部分等于敏感设备的通频带Δ 0;另一部分为通频带之外的频率成分Δ i。由(5)~(10)式可以看出Δ 0直接进入敏感设备的工作通道,对设备产生严重干扰。当Δ i与设备的通频带相距甚远时,干扰信号将会被大大地抑制。
根据上述原则,首先应考虑与骚扰源频带接近的敏感设备,这些设备最容易受到影响。
另外,由于电子元件的非线性作用,虽然某些干扰信号频率远离敏感设备接收通道,但也会同其他信号产生交叉调制。
系统的供电模块与汽车电源构成直接通路,直接受外部电压电流波动影响,为提供稳定的电压,电源应该作为一个重要的敏感设备考虑;各天线相对其它天线既是骚扰源,又是敏感设备,特别是频带有重叠的各个子系统之间,同时处于工作状态时,相互作用就会更加明显;PCB板的各个环路,在高频条件下均会感应出不同程序的噪声电压,这影响了时钟信号及其它重要信号的正常工作。同时,在不同的电磁环境中通过对比试验,确定汽车内部的自生骚扰对系统正常工作有很大的影响。通过示波器对时钟信号观察表明,在没有任何屏蔽措施时,其它车载电器的正常工作给信号带来0.5V~0.8V的毛刺,给系统正常工作埋下隐患。

5 满足电磁兼容的工程设计
在认真分析了骚扰源、骚扰途径及敏感设备的物理特点,并进行了电磁预测后,就要在系统的整个设计中贯穿电子兼容预测的结果,做好满足电磁兼容的工程设计工作。
在电磁兼容预测中,同一个设备既是骚扰源同时也是敏感设备。因此,对于一个实际的电气、电子系统,其中可能存在的骚扰数量是巨大的。如果对每一骚扰对都进行详细的分析是难以想象的,也是不必要的。按照先粗后细的原则,提出那些能够肯定的问题。对剩下的问题采用不同的分析模型处理。一般分四个阶段:(1)幅度筛选:考虑发射——响应幅度特征,只较粗略地分析频率、时间、距离和方向的影响。用简单、合理、保守的近似公式,把占多数的弱骚扰与少数的强干扰分开,从而大大缩小分析问题的范围。(2)频率筛选:它是建立在幅度筛选的基础上,通过考虑附加的骚扰抑制度来详细处理频率变量之间的相互关系。(3)详细预测:主要完成时间、距离和方向变量的修正,确定骚扰的概率分布和时间的依存关系。(4)性能预测:考虑周围发射—接收的调制特性和响应特性,计算接收输入端的潜在骚扰、信号电平及接收机噪声电平,从而确定系统信噪比等参数。
根据上述原则,为了保证设备的正常运行,设计中对位于工作频带之外的信号都采用各种措施加以抑制,从而保证工作频带上的信号都具有良好的接收能力。
依据防护措施在实现电磁兼容时的重要性可行性,进行电磁兼容的分层次设计,最后对各层次的设计结果进行综合。具体包括元件的选择、印制板的设计、接地设计、屏蔽设计和滤波设计。
首先,对于供电部分,采用分布式供电的方法。加上过电压和过电流保护,提高系统的稳定性,无线通信部分采用SonyEricsson公司的GR47模块,GPS定位采用u-Blox GPS OEM板,工作电压均为3.3V,其余TTL接口电路工作电压为5V,均由汽车电源12V驱动稳压芯片而得,稳压芯片双片并联,提高电压稳定度及驱动能力,并给每一组电源并联上大容量电容和小容量电容去耦。
由于系统安装在仪表板下方,所以在设计过程中对整个PCB板及连接头采用了良好的屏蔽措施,设计了屏蔽机箱,机箱外接电缆进入箱体之间均加以滤波。连接头采用信号针与地针交错分布的排列方式。采用上术屏蔽措施后,试验时用示波器观察,毛刺信号明显变小。
对于天线间的相互干扰,在元器件选型时尽量使其工作频带没有重叠,针对各个不同车型,设计中充分利用车体外形的遮挡效应,通过调整方向角、安装位置,使天线间的耦合度减到最小。在系统功能设计阶段,定义各子模块时,尽量避开工作频带相近的各模块同时工作,提出合理的调度算法。从软件上辅助实现电磁兼容。
接地是电磁兼容设计的一个重要部分,接地的原则是为电路或系统提供一个参考的等电位点或面。系统中既有高速数字部分,也有模拟部分。本系统采用混合接地方式,在地线设计时分类考虑,除按电源电压分组外,还将数字地与模拟地分开,高频部分地与低频部分地分开,各个地再通过铁氧体磁芯一点接地,有效地抑制了共模干扰。
电磁兼容性EMC(Electromagnetic Compatibility),按GB/T436 5-1 995定义为:设备或系统在其电磁环境中能正常工作且不对该环境中任何事物构成不能承受的电磁骚扰的能力。随着现代科学技术的发展,电子设备的数量及种类不断增加,工作频率不断提高,电磁环境日益复杂。在这种复杂的电磁环境中,如何有效地减少相互间的电磁影响,使各种设备正常运转,需要在产品设计开始时就考虑电磁兼容性的问题。在设计定型、系统综合集成后,发现电磁兼容问题再重新调整系统结构,必须会带来更多的困难,造成研发时间和成本的双重浪费。
近年来,随着汽车微电子装备的大量增加,半导体逻辑器件对电磁干扰敏感度相当高,加之汽车线速与有关高场强频段的波长可以比拟,这些频段存在对车载电子系统造成强烈电磁干扰的隐患;车载电磁低电压、大电流负载特性使其开关过程在供电线路上产生很多脉冲干扰,进一步恶化了电磁环境。因而,在实际并不十分复杂的汽车电器设计中,电磁兼容设计通常成为设计成败的关键。

为了实现电磁兼容,要从电磁骚扰源、电磁骚扰传播特性、敏感设备抗干扰能力、测量设备、测量方法与数据处理方法、系统内、系统间电磁兼容性等多个方面考虑。在实际应用中,从预测入手,对噪声源、噪声接收电路、耦合通道等几方面进行分析。在准确测量的基础上,建立恰当的数学模型并根据实际需要进行合理的近似,并在实践中不断加以修正,得到解决电磁骚扰问题的方法和手段,由此达到电磁兼容设计的最终目的。
本文以车载监控调度系统终端设计为背景,在已有实验条件下,讨论了电磁兼容的预测模型和计算方法,并从工程应用方面提出了综合设计的方法、原则,经过实践,满足设备电磁兼容性指标。
1 系统概述
本设计中的车载移动终端是车载监控调度系统的核心,其功能是:采集车辆数据(包括GPS定位信息、车辆运行状况信息等)通过无线信道发送给监控中心,同时接收、响应监控中心的指令。主要由GPS接收单元、GPRS通信单元、主控制器单元、中文液晶显示屏与键盘组成的人机交互单元及电话手柄组成,是典型的多MPU嵌入式系统,如图1所示。
整个系统安装在仪表板下方,GPS天线和GPRS天线由磁性底座安装在车顶,键盘、显示、控制及驱动单元在仪表板前方,都是杂波较强的位置。

2 电磁兼容环境分析
电磁环境是提出和确定设备或系统电磁兼容设计指标要求、实施电磁兼容的前提。明确工作系统所处的电磁环境,才能在设计时遵循正确的要求和步骤,采取充分的管理保障措施,达到所希望的最佳设计水平。
系统的电磁环境由多个电磁骚扰源构成。为了准确地描述电磁环境,有关综合电磁环境的计算和测量是必不可少的。电子设备的主观任务是完成人所赋予的功能,但客观上它在工作时要向外辐射有用或无用的能量。如果在电磁环境中有多个电磁骚扰源,在敏感设备位置上综合电磁环境骚扰场强符合线性叠加原理。经过分析,在本系统中,杂波的来源有以下几方面:
(1)车载无线通信设备
车载无线通信设备是一个潜在的直接骚扰源,可以直接在汽车附近产生约4V/m的场强。该场强随着距离的增大按照E-1/r2的规律衰减,其各个频段内的发射功率如图2。
(2)汽车自生骚扰
汽车内部的自生骚扰发射干扰源主要是汽车电器中的各种瞬变电脉冲、分电器的触头之间和火花塞间隙之间的火花以及车轮与地面、车身与空气高速磨擦产生的静电放电。这些自身产生的骚扰即可能通过电磁骚扰发射对环境中的其它电器造成干扰。这些自生骚扰可进一步分为3组:
频谱范围10kHz~1000MHz,由高压点火装置产生的宽带干扰;
频谱范围10kHz~500MHz,由直流电机和离散输出级产生的宽带干扰;
频谱范围基频~4000MHz,车载数字计算机(各种ECU和车载办公数字设备)产生的窄带干扰。
经实测,当没有去扰措施时,汽车接收天线上干扰强度可达50dBμV/m。
(3)天线间的耦合
在系统天线中,GPS天线为接收天线,而GPRS天线则兼接收和发射;除此之外还有其它车载设备如调频广播天线等。天线间的相互干扰引起接收机减敏,影响收发机的同时工作。反映这种干扰的主要指标是天线间的耦合度和近场分布。因此天线间的耦合度和天线近场的预估是电磁兼容的一个重要问题。通常,安装在车辆上的线天线多涉及线面连接问题,因此在计算时,需要采用电场积分方程和磁场积分方程相结合求解。
由于天线较细,可处理为线天线,根据文献,设a为天线半径,I(ι)为线上电流,认为电流只沿轴向分布,车载天线上的电场积分方程为:

通过磁矢A和位函数φ,可推导出导体面上所采用的磁场积分方程:

n为导体面外法线单位矢量;
R为场点(ξ,η)到源点(ξ,η)的距离。
对(1)式,在天线较细的情况下,将天线离散为多个短直细线,令

,用矩量法求解时可令基函数为:

段长度,ιj为第j段的中心位置,结合线段两端电荷与电流的连续性,通过矩量法求解参数,从而得到电流。
对于(2)式,面电流可展开为:

合适的权函数,如点选配法、子域匹配法、最小二乘法等。计算中使用ωm =δ(x-xm)进行点选配,得到矩阵方程并求解,从而得到面上电流的分布。
对于多天线间的耦合度计算,可将其等效为多端口微波网络处理。耦合网络模型如图3。

耦合度定义为:

Pinc为入射到发射天线的功率;Pin为发射天线端的输入功率;Pout为接收天线端的净输出功率;Γ为发射天线端的复电压反射系数。
考虑任意激励和加载,将天线统一进行分段,各段符合叠加原理,根据欧姆定律,对于N通道系统有矩阵方程:

其中,[YL]为在馈入端存在规定负载时的短路导纳矩阵,

考虑系统中任意两天线间的耦合度:假定通道i被激励,通道j被加载,对上述矩阵方程展开有:

实际计算两个天线间的耦合度时,可将其等效为二端口网络,如图4。

其中, 是接收天线负载为YL

时,发射天线的输入导纳。
实际计算中,先对一个天线端口馈电,另一个天线输入端口短路,根据式(1)、(2),利用矩量法求解所需端口的输入电流,根据式(5)求解出相应的阻抗值,再按式(7)求解耦合度。对于两天线间的耦合度,可相应简化求解。
3 电磁干扰的传输途径
有电磁干扰产生,必然存在干扰能量的传播通道。本系统中干扰传输的几种基本方式有:传导、辐射及其组合。
传导是骚扰源与敏感设备之间的主要骚扰耦合途径之一,按其耦合机理可进一步分为:电阻性耦合、电容性耦合和电感性耦合。汽车中的供电线路构成了干扰源和敏感设备之间干扰传导传输的完整电路连接,干扰信号通过供电线路可达每个用电设备。
辐射传输是通过介质以电磁波的形式传播,干扰能量按电磁场的规律向周围空间发射。辐射耦合细分为:天线对天线耦合、场对线耦合及闭合回路耦合。汽车的信号电缆长度分布在0.5m~10m的范围内,按照1/4波长到1/2波长天线敏感共振原理,汽车电缆线束感应或发送无线电干扰信号的有效频段大约为7MHz~300 MHz。
汽车内部的自生骚扰,包括瞬变电脉冲、静电放电、点火装置宽频干扰,既可能通过传导,也可能通过辐射对汽车电子器件以及天线引入干扰。
4 敏感设备的预测
敏感设备是指受干扰影响的系统、设备,敏感设备对干扰信号表现出不希望有的响应,确定敏感设备是进行综合电磁干扰设计的重要环节。
对任何实际的敏感设备除具有工作频带外,都具有接收工作频带以外信号的能力。用S(Δ 0)表示相对于工作频带Δ 0的接收选择性。用Si表示相对于工作频带失谐Δ i的接收选择性即带外接收选择性。则敏感设备的通道接收电磁信号的频率选择模型可表示为:

将骚扰信号的频谱分为两部分:一部分等于敏感设备的通频带Δ 0;另一部分为通频带之外的频率成分Δ i。由(5)~(10)式可以看出Δ 0直接进入敏感设备的工作通道,对设备产生严重干扰。当Δ i与设备的通频带相距甚远时,干扰信号将会被大大地抑制。
根据上述原则,首先应考虑与骚扰源频带接近的敏感设备,这些设备最容易受到影响。
另外,由于电子元件的非线性作用,虽然某些干扰信号频率远离敏感设备接收通道,但也会同其他信号产生交叉调制。
系统的供电模块与汽车电源构成直接通路,直接受外部电压电流波动影响,为提供稳定的电压,电源应该作为一个重要的敏感设备考虑;各天线相对其它天线既是骚扰源,又是敏感设备,特别是频带有重叠的各个子系统之间,同时处于工作状态时,相互作用就会更加明显;PCB板的各个环路,在高频条件下均会感应出不同程序的噪声电压,这影响了时钟信号及其它重要信号的正常工作。同时,在不同的电磁环境中通过对比试验,确定汽车内部的自生骚扰对系统正常工作有很大的影响。通过示波器对时钟信号观察表明,在没有任何屏蔽措施时,其它车载电器的正常工作给信号带来0.5V~0.8V的毛刺,给系统正常工作埋下隐患。

5 满足电磁兼容的工程设计
在认真分析了骚扰源、骚扰途径及敏感设备的物理特点,并进行了电磁预测后,就要在系统的整个设计中贯穿电子兼容预测的结果,做好满足电磁兼容的工程设计工作。
在电磁兼容预测中,同一个设备既是骚扰源同时也是敏感设备。因此,对于一个实际的电气、电子系统,其中可能存在的骚扰数量是巨大的。如果对每一骚扰对都进行详细的分析是难以想象的,也是不必要的。按照先粗后细的原则,提出那些能够肯定的问题。对剩下的问题采用不同的分析模型处理。一般分四个阶段:(1)幅度筛选:考虑发射——响应幅度特征,只较粗略地分析频率、时间、距离和方向的影响。用简单、合理、保守的近似公式,把占多数的弱骚扰与少数的强干扰分开,从而大大缩小分析问题的范围。(2)频率筛选:它是建立在幅度筛选的基础上,通过考虑附加的骚扰抑制度来详细处理频率变量之间的相互关系。(3)详细预测:主要完成时间、距离和方向变量的修正,确定骚扰的概率分布和时间的依存关系。(4)性能预测:考虑周围发射—接收的调制特性和响应特性,计算接收输入端的潜在骚扰、信号电平及接收机噪声电平,从而确定系统信噪比等参数。
根据上述原则,为了保证设备的正常运行,设计中对位于工作频带之外的信号都采用各种措施加以抑制,从而保证工作频带上的信号都具有良好的接收能力。
依据防护措施在实现电磁兼容时的重要性可行性,进行电磁兼容的分层次设计,最后对各层次的设计结果进行综合。具体包括元件的选择、印制板的设计、接地设计、屏蔽设计和滤波设计。
首先,对于供电部分,采用分布式供电的方法。加上过电压和过电流保护,提高系统的稳定性,无线通信部分采用SonyEricsson公司的GR47模块,GPS定位采用u-Blox GPS OEM板,工作电压均为3.3V,其余TTL接口电路工作电压为5V,均由汽车电源12V驱动稳压芯片而得,稳压芯片双片并联,提高电压稳定度及驱动能力,并给每一组电源并联上大容量电容和小容量电容去耦。
由于系统安装在仪表板下方,所以在设计过程中对整个PCB板及连接头采用了良好的屏蔽措施,设计了屏蔽机箱,机箱外接电缆进入箱体之间均加以滤波。连接头采用信号针与地针交错分布的排列方式。采用上术屏蔽措施后,试验时用示波器观察,毛刺信号明显变小。
对于天线间的相互干扰,在元器件选型时尽量使其工作频带没有重叠,针对各个不同车型,设计中充分利用车体外形的遮挡效应,通过调整方向角、安装位置,使天线间的耦合度减到最小。在系统功能设计阶段,定义各子模块时,尽量避开工作频带相近的各模块同时工作,提出合理的调度算法。从软件上辅助实现电磁兼容。
接地是电磁兼容设计的一个重要部分,接地的原则是为电路或系统提供一个参考的等电位点或面。系统中既有高速数字部分,也有模拟部分。本系统采用混合接地方式,在地线设计时分类考虑,除按电源电压分组外,还将数字地与模拟地分开,高频部分地与低频部分地分开,各个地再通过铁氧体磁芯一点接地,有效地抑制了共模干扰。
射频工程师养成培训教程套装,助您快速成为一名优秀射频工程师...
天线设计工程师培训课程套装,资深专家授课,让天线设计不再难...
上一篇:简易带过流保护直流电机电源设计
下一篇:电动自行车用电池性能检测装置
射频和天线工程师培训课程详情>>

