- 易迪拓培训,专注于微波、射频、天线设计工程师的培养
一种新颖的限流比较器的设计
录入:edatop.com 点击:
1 引言
近年来,LDO(Low Dropout)线性稳压器和DC/DC 变换器等电源管理芯片已广泛应用于便携式电子系统中 。但是,开关稳压器相对线性稳压器降低了平均输入电流,提高了效率。Step-Down 电源属于DC/DC 变换器中的降压变换器,它的主要缺点是,在轻载时比如手机待机时,静态电流较高,显著降低了电池的使用寿命,所以在低负载条件下,我们通过PFM 限流比较器来控制芯片使之进入Idle 模式,这样就大大延长了电池寿命,提高了芯片的效率。
2 本文采用的DC-DC 降压变换器电路结构
本文采用的DC-DC 降压变换器结构采用同步校正器代替传统的二极管,极大地提高了DC-DC 降压变换器的效率,可达到95%左右。芯片的输入电压位于2.7V 至5V 之间,可工作在以下四种模式:固定频率的强制PWM 模式,同步PWM 模式,idle 模式,关断模式。
3 PFM 限流比较器的设计
3.1 比较器输入级的设计
比较器输入级为射级耦合的差分输入级。
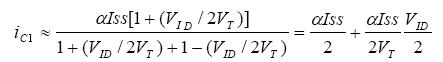
由上图可知,
则iC1可以近似为
同理
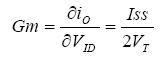
可求得差分跨导为:
在室温下, T V =26mV , 所以运放跨导等于
此外,电阻R15,R16作为运放负载,可得出放大器输入级增益表达式如下:
3.2 比较器中间级
比较器中间级由D,E 输入,A 输出。MP724,MP725 的作用是减小A 点电压的变化幅度,使得比较器具有较短的瞬态响应时间和较快的速度。
现在计算折叠共源共栅运放的小信号电压增益,因为|Av|= GmRout ,我们必须计算Gm 和Rout ,而
所以, V 2 A 表达式如下:
3.3 比较器输出级
比较器的输出级(Active Load inverter)由A 输入,B 输出(图3),进一步提高放大器的增益,
因此,放大器总的增益AV 表达式如下:
3.4 PFM 限流比较器电路图
综合前面比较器输入级,输出级,中间级的设计,可得出图3 所示的PFM 限流比较器电路图。当功率管导通时,对电感电流充电,使得电感电流上升,同时功率管的漏端电压下降,电流采样电路通过采样导通功率管的漏端电压,把采样得到的电压LS2,LTH2 输入到PFM 限流比较器,当功率管的漏端电压下降到一定程度,使得LS2 达到PFM 限流比较器门限LTH2 时,比较器输出高电平至控制逻辑模块,从而使芯片进入PFM 工作模式以延长电池寿命。
4 PFM 限流比较器的仿真
我们采用HSPICE 对图3 所示的电路进行了比较器功能的模拟,由图4 可见当电感电流上升时,采样得到的电压LS2 下降,当功率管的漏端电压下降到一定程度,使得LS2 达到PFM 限流比较器门限LTH2 时,比较器输出高电平至控制逻辑模块,从而使芯片进入PFM工作模式以延长电池寿命。此外,比较器延迟70nS。
5 结束语
本文成功地设计出一款应用到DC/DC 芯片上的PFM 限流比较器,并通过HSPICE 进行了仿真。结果表明:电路结构简单,功耗低,响应速度快,完全满足新一代DC/DC 产品的要求,且预计投入市场之后将获得上百万元的效益。
本文作者创新点:本文采用的DC-DC 降压变换器结构采用同步校正器代替传统的二极管,极大地提高了DC-DC 降压变换器的效率,可达到95%左右。基于该DC-DC 降压变换器结构设计了一个新颖的基于Step-Down PWM 电源管理芯片的PFM 限流比较器电路,在轻载时使芯片进入PFM 工作模式,因此能够延长电池寿命并且大幅度的提高Step-DownPWM 电源管理芯片的效率。
近年来,LDO(Low Dropout)线性稳压器和DC/DC 变换器等电源管理芯片已广泛应用于便携式电子系统中 。但是,开关稳压器相对线性稳压器降低了平均输入电流,提高了效率。Step-Down 电源属于DC/DC 变换器中的降压变换器,它的主要缺点是,在轻载时比如手机待机时,静态电流较高,显著降低了电池的使用寿命,所以在低负载条件下,我们通过PFM 限流比较器来控制芯片使之进入Idle 模式,这样就大大延长了电池寿命,提高了芯片的效率。
2 本文采用的DC-DC 降压变换器电路结构
本文采用的DC-DC 降压变换器结构采用同步校正器代替传统的二极管,极大地提高了DC-DC 降压变换器的效率,可达到95%左右。芯片的输入电压位于2.7V 至5V 之间,可工作在以下四种模式:固定频率的强制PWM 模式,同步PWM 模式,idle 模式,关断模式。
3 PFM 限流比较器的设计
3.1 比较器输入级的设计
比较器输入级为射级耦合的差分输入级。

图1 比较器的输入级
由上图可知,
(1)
(2)
则iC1可以近似为
(3)
同理
(4)
可求得差分跨导为:
(5)
在室温下, T V =26mV , 所以运放跨导等于
(6)
此外,电阻R15,R16作为运放负载,可得出放大器输入级增益表达式如下:
(7)
3.2 比较器中间级
比较器中间级由D,E 输入,A 输出。MP724,MP725 的作用是减小A 点电压的变化幅度,使得比较器具有较短的瞬态响应时间和较快的速度。
现在计算折叠共源共栅运放的小信号电压增益,因为|Av|= GmRout ,我们必须计算Gm 和Rout ,而
(8)
(9)
所以, V 2 A 表达式如下:
(10)

图2 比较器中间级
3.3 比较器输出级
比较器的输出级(Active Load inverter)由A 输入,B 输出(图3),进一步提高放大器的增益,
(11)
因此,放大器总的增益AV 表达式如下:
(12)

图3 PFM 限流比较器电路图
3.4 PFM 限流比较器电路图
综合前面比较器输入级,输出级,中间级的设计,可得出图3 所示的PFM 限流比较器电路图。当功率管导通时,对电感电流充电,使得电感电流上升,同时功率管的漏端电压下降,电流采样电路通过采样导通功率管的漏端电压,把采样得到的电压LS2,LTH2 输入到PFM 限流比较器,当功率管的漏端电压下降到一定程度,使得LS2 达到PFM 限流比较器门限LTH2 时,比较器输出高电平至控制逻辑模块,从而使芯片进入PFM 工作模式以延长电池寿命。
4 PFM 限流比较器的仿真
我们采用HSPICE 对图3 所示的电路进行了比较器功能的模拟,由图4 可见当电感电流上升时,采样得到的电压LS2 下降,当功率管的漏端电压下降到一定程度,使得LS2 达到PFM 限流比较器门限LTH2 时,比较器输出高电平至控制逻辑模块,从而使芯片进入PFM工作模式以延长电池寿命。此外,比较器延迟70nS。

图4 PFM 限流比较器的仿真
5 结束语
本文成功地设计出一款应用到DC/DC 芯片上的PFM 限流比较器,并通过HSPICE 进行了仿真。结果表明:电路结构简单,功耗低,响应速度快,完全满足新一代DC/DC 产品的要求,且预计投入市场之后将获得上百万元的效益。
本文作者创新点:本文采用的DC-DC 降压变换器结构采用同步校正器代替传统的二极管,极大地提高了DC-DC 降压变换器的效率,可达到95%左右。基于该DC-DC 降压变换器结构设计了一个新颖的基于Step-Down PWM 电源管理芯片的PFM 限流比较器电路,在轻载时使芯片进入PFM 工作模式,因此能够延长电池寿命并且大幅度的提高Step-DownPWM 电源管理芯片的效率。
射频工程师养成培训教程套装,助您快速成为一名优秀射频工程师...
射频和天线工程师培训课程详情>>

