- 易迪拓培训,专注于微波、射频、天线设计工程师的培养
低压差线性稳压器的使用技巧
录入:edatop.com 点击:
1 提高LD0输入电压的方法
当输入电压超过现有LDO的最高输入电压时,可在LD0的输入端增加一个“前置调节器”(Preregulator),以满足高压输入的条件。利用前置稳压器提高LDO输入电压的电路如图1所示。电路中采用一片由美国Micrel公司生产的MIC29150一12型低压差线性稳压器,其最高输入电压为+26V,输出为+12V/1A。前置稳压器由达林顿管VT,电阻R1和R2、25V/200mW的稳压管VDz构成。达林顿管的电流放大系数约为1000倍即可。R1为稳压管的限流电阻,R1、R2还作为达林顿管的基极偏置电阻。前置稳压器属于粗调稳压器,后级LDO为细调稳压器,二者组成复合式稳压器。其作用是将外部输入电压降低到+26V以下,使之低于MIC29150一12的最高输入电压值。该电路对前置调节器的精度指标以及对负载瞬态响应的指标要求并不高,因为这些指标可由后级LDO来实现。

选择R1和R2的参数表如表1所列。UI(min)、UI(max)分别为输入电压的最小值和最大值。当UI(max)<40V时,可省去R2;当UI(max)>40V时必须增加R2,通过R2进行散热。前置稳压器也承担一部分功率损耗。需要注意的是该复合式稳压器对最低输入电压也是有限制的,其输出电压必须低于输入电压的最小值,才能正常工作。稳压管的最大功耗为200mW。MIC29150—12的最大功耗为13W;VT的功耗低于15W。

2 LDO的并联使用方法
为获得大电流输出,可将两片或两片以上的LDO并联工作构成复合式稳压器。例如,采用两片LDO可将输出电流扩展到2倍;如采用3片LDO,即可将输出电流扩展到3倍,以此类推。这种方法的特点是将总输出功率平均分配给每个LDO,并能保持LDO的输出特性。在同样的总输出功率下,使用两片LDO配一个散热器,要比使用一片LDO配同一个散热器的散热效率提高大约33%。
将两片LDO并联使用时,必须使二者的电路参数及散热量能实现匹配。因为LDO中的PNP型调整管属于双极型晶体管,它具有负的电阻温度系数,当温度升高时,在输入电压不变的情况下通过调整管的电流会变大。如果两只调整管不能匹配或二者的工作温度不同,负载电流不能被两个LDO平均分配,通过其中一个调整管的电流就比通过另一个调整管的电流大。其结果是电流大的调整管将更热,促使电流继续增大,酿成“热量失控”的恶性循环后果,最终会导致最热的那片LD0损坏。
为使两个LDO能并联工作,一种简单而有效的方法是利用电流检测电阻和运算放大器,来监控通过每个LDO的电流并使之保持平衡。以MIC29712型7.5A大电流、可调输出式LD0为例,由两片MIC29712并联使用构成的+3.3V/15A的LDO电路如图2所示。两片MIC29712分别用LD01、LD02表示,其中LDOl作为主稳压器,LDO2为辅助稳压器。R1和R2为取样电阻,选择Rl=205kΩ、R2=124kΩ时,输出电压的计算公式为

选择R1=205kΩ、R2=124kΩ时,Un=3.29V≈3.3V。

R3和R5均为电流检测电阻,选择其阻值的原则是在适度的输出电流情况下,能提供一个足够大的输出电压,以便使运算放大器的输入失调电压可忽略不计。如果电阻太小,就会影响匹配;若阻值过大,复合式稳压器的压差将会增大。运算放大器MIC6211的反相输入端接LDO1的输出端,同相输入端接LDO2的输出端,运算放大器的输出端用来驱动LD02的调整端ADJ。利用运算放大器可监控LDO2的输出,使之与LDO1相匹配。MIC6211属于高性能通用运算放大器,电源电压范围是4~32V,采用单电源、双电源供电均可。其转换速率为6W/μs,增益带宽为2.5MHz,带内部增益补偿。具有反极性保护、输出限流保护和输出短路保护功能。反极性保护是指输入电压低于电源负端U-的电压时,能起到保护作用。
该项技术亦可应用于3个或更多个LDO的并联使用。实际上,只要为每个辅助稳压器都配一只电流检测电阻和运算放大器,即可实现任意数量稳压器的并联扩展应用。需要指出,这里是把可调式主稳压器LDO1的输出设定为+3.3V固定电压,但并不推荐用固定输出式LDO用作主稳压器。因为后者没有专门用于检测负载电压的ADJ端,并且当通过电流检测电阻的电流增加时输出电压会降低。
3 能从0V起调的LDO电路设计
某些实验室用的可调式线性稳压电源或供校准用的精密稳压电源,要求输出电压必须能从0V开始连续可调。但可调式LDO的调整范围只能从其基准电压UREF到最高输出电压,UREF一般为1.2V左右。下面介绍能实现从0V起调的两种方法。这两种情况下都能消除内部基准电压UREF对输出零点的影响,但要求反馈回路中的所有节点必须以UREF为参考点并工作在线性区。
3.1 利用外部基准电压实现LDO从0V起调的方法
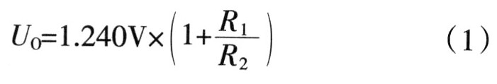
利用外部基准电压实现LDO从0V起调的电路如图3所示。电路中采用一片由美国NSC公司生产的带隙基准电压源LM4041-1.2,基准电压的典型值UREF′=1.225V,与MIC29152内部的1.240V基准电压UREF十分接近。LM4041-1.2属于低功耗精密基准电压源,输出电压精度优于1%,电压温度系数低至15×10-6/℃。其工作电流范围是60μA~12mA,输出噪声电压仅为20μV(有效值)。由P沟道结型场效应管2N3697和R3构成恒流源,给LM4041-1.2和取样电阻R1和R2提供77μA的恒定电流。其中,通过LM4041-1.2的恒定电流为70μA,通过R1和R2的恒定电流为7μA。当R1选用3MΩ可调电阻(或电位器)、R2=180kΩ时,Uo可在O~20V内连续调节。

该电路的特点是当R1=0时,Uo=0V,UADJ本应为0V,但由于LM404l一1.2给取样电阻分压器提供一个与LDO的输出电压等效的电压UREF′,加在ADJ端,因此可使UADJ提升到1.225V,以保证LDO能正常稳压;当R1=2.723MΩ时,根据式(1)可计算出Uo=20V,从而使输出电压能够从0V起调。
该电路的缺点是UREF′与UREF之间存在的微小差异,使实际输出电压的最小值为几毫伏至十几毫伏,严格讲还不能从0V起调。
3.2 利用运算放大器实现LDO从0V起调的方法
利用运算放大器确保LD0能从0V起调的电路如图4所示。A1、A2合用一片低功耗、低失调电压的双运放LM358。该电路有以下特点:第一,取样电阻分压器的下端并不直接接地,而是接A1的输出端;第二,调节电路由R3"R5组成,R5采用100kΩ电位器,设计时取R3=R1,R4=R2,这相当于将取样电阻分压器“复制”到调节电路中;第三,通过调节R5可提升取样电阻分压器的地电位,使Uo=0V时,UADJ=1.225V;第四,实际输出电压能严格的从0V起调,并且在调节过程中U0能平滑地升高,无跳变现象。

4 由LD0构成恒流源的电路设计
利用LDO或VLDO还可构成高稳定度、高效率的恒流源,适合对电池进行恒流充电。
4.1 由固定输出式LDO构成的恒流源
由固定输出式LDO构成的恒流源电路如图5所示。该恒流源可向负载RL提供某一恒定的电流IH,当负载发生变化时LDO通过改变调整管压降来维持IH不变,在Uo端与GND之间接固定电阻R,负载则接到GND与地之间。其恒流原理如下:因为LDO的输出电压U0稳定不变,所以通过R的电流(亦即通过外部负载RL上的电流)IH也不变。如果负载导致IH改变,R上的压降UR=IHR也随之改变。但LDO具有稳压作用,它通过自动调节内部PNP型调整管的压降来保证Uo(即UR)值不变,使IH不受负载变化的影响,从而实现了恒流输出。虽然稳压器的静态工作电流Id也流过RL,但由于Id很小,一般可忽略不计,因此计算IH的公式为


4.2 由超低压差线性稳压控制器构成的恒流源
超低压差线性稳压控制器内部不包含调整管,而是通过驱动外部PNP调整管或N沟道MOSFET构成LDO,这是它们与LDO的重要区别。由MIC5158型超低压差线性稳压控制器构成的恒流源电路如图6所示。MIC5158能直接驱动大功率N沟道MOSFET。由于MIC5158的限流电路是以内部比较器的35mV参考电压为基准的,因此,它具有独特的线性化的限流特性。

该恒流源具有电路简单、效率高、能输出大电流等优良性能。如果需要的话,可通过R1和R2来限制输出电压的最大值。它所适用的输出电压范围是OV~(U1一△U),取样电阻两端的压降仅为(IHRDS(ON)+35mV)。即使输出10A的恒定大电流,取样电阻的压降也仅为几百毫伏。输出电流由下式确定,即

当输入电压超过现有LDO的最高输入电压时,可在LD0的输入端增加一个“前置调节器”(Preregulator),以满足高压输入的条件。利用前置稳压器提高LDO输入电压的电路如图1所示。电路中采用一片由美国Micrel公司生产的MIC29150一12型低压差线性稳压器,其最高输入电压为+26V,输出为+12V/1A。前置稳压器由达林顿管VT,电阻R1和R2、25V/200mW的稳压管VDz构成。达林顿管的电流放大系数约为1000倍即可。R1为稳压管的限流电阻,R1、R2还作为达林顿管的基极偏置电阻。前置稳压器属于粗调稳压器,后级LDO为细调稳压器,二者组成复合式稳压器。其作用是将外部输入电压降低到+26V以下,使之低于MIC29150一12的最高输入电压值。该电路对前置调节器的精度指标以及对负载瞬态响应的指标要求并不高,因为这些指标可由后级LDO来实现。

选择R1和R2的参数表如表1所列。UI(min)、UI(max)分别为输入电压的最小值和最大值。当UI(max)<40V时,可省去R2;当UI(max)>40V时必须增加R2,通过R2进行散热。前置稳压器也承担一部分功率损耗。需要注意的是该复合式稳压器对最低输入电压也是有限制的,其输出电压必须低于输入电压的最小值,才能正常工作。稳压管的最大功耗为200mW。MIC29150—12的最大功耗为13W;VT的功耗低于15W。

2 LDO的并联使用方法
为获得大电流输出,可将两片或两片以上的LDO并联工作构成复合式稳压器。例如,采用两片LDO可将输出电流扩展到2倍;如采用3片LDO,即可将输出电流扩展到3倍,以此类推。这种方法的特点是将总输出功率平均分配给每个LDO,并能保持LDO的输出特性。在同样的总输出功率下,使用两片LDO配一个散热器,要比使用一片LDO配同一个散热器的散热效率提高大约33%。
将两片LDO并联使用时,必须使二者的电路参数及散热量能实现匹配。因为LDO中的PNP型调整管属于双极型晶体管,它具有负的电阻温度系数,当温度升高时,在输入电压不变的情况下通过调整管的电流会变大。如果两只调整管不能匹配或二者的工作温度不同,负载电流不能被两个LDO平均分配,通过其中一个调整管的电流就比通过另一个调整管的电流大。其结果是电流大的调整管将更热,促使电流继续增大,酿成“热量失控”的恶性循环后果,最终会导致最热的那片LD0损坏。
为使两个LDO能并联工作,一种简单而有效的方法是利用电流检测电阻和运算放大器,来监控通过每个LDO的电流并使之保持平衡。以MIC29712型7.5A大电流、可调输出式LD0为例,由两片MIC29712并联使用构成的+3.3V/15A的LDO电路如图2所示。两片MIC29712分别用LD01、LD02表示,其中LDOl作为主稳压器,LDO2为辅助稳压器。R1和R2为取样电阻,选择Rl=205kΩ、R2=124kΩ时,输出电压的计算公式为

选择R1=205kΩ、R2=124kΩ时,Un=3.29V≈3.3V。

R3和R5均为电流检测电阻,选择其阻值的原则是在适度的输出电流情况下,能提供一个足够大的输出电压,以便使运算放大器的输入失调电压可忽略不计。如果电阻太小,就会影响匹配;若阻值过大,复合式稳压器的压差将会增大。运算放大器MIC6211的反相输入端接LDO1的输出端,同相输入端接LDO2的输出端,运算放大器的输出端用来驱动LD02的调整端ADJ。利用运算放大器可监控LDO2的输出,使之与LDO1相匹配。MIC6211属于高性能通用运算放大器,电源电压范围是4~32V,采用单电源、双电源供电均可。其转换速率为6W/μs,增益带宽为2.5MHz,带内部增益补偿。具有反极性保护、输出限流保护和输出短路保护功能。反极性保护是指输入电压低于电源负端U-的电压时,能起到保护作用。
该项技术亦可应用于3个或更多个LDO的并联使用。实际上,只要为每个辅助稳压器都配一只电流检测电阻和运算放大器,即可实现任意数量稳压器的并联扩展应用。需要指出,这里是把可调式主稳压器LDO1的输出设定为+3.3V固定电压,但并不推荐用固定输出式LDO用作主稳压器。因为后者没有专门用于检测负载电压的ADJ端,并且当通过电流检测电阻的电流增加时输出电压会降低。
3 能从0V起调的LDO电路设计
某些实验室用的可调式线性稳压电源或供校准用的精密稳压电源,要求输出电压必须能从0V开始连续可调。但可调式LDO的调整范围只能从其基准电压UREF到最高输出电压,UREF一般为1.2V左右。下面介绍能实现从0V起调的两种方法。这两种情况下都能消除内部基准电压UREF对输出零点的影响,但要求反馈回路中的所有节点必须以UREF为参考点并工作在线性区。
3.1 利用外部基准电压实现LDO从0V起调的方法
利用外部基准电压实现LDO从0V起调的电路如图3所示。电路中采用一片由美国NSC公司生产的带隙基准电压源LM4041-1.2,基准电压的典型值UREF′=1.225V,与MIC29152内部的1.240V基准电压UREF十分接近。LM4041-1.2属于低功耗精密基准电压源,输出电压精度优于1%,电压温度系数低至15×10-6/℃。其工作电流范围是60μA~12mA,输出噪声电压仅为20μV(有效值)。由P沟道结型场效应管2N3697和R3构成恒流源,给LM4041-1.2和取样电阻R1和R2提供77μA的恒定电流。其中,通过LM4041-1.2的恒定电流为70μA,通过R1和R2的恒定电流为7μA。当R1选用3MΩ可调电阻(或电位器)、R2=180kΩ时,Uo可在O~20V内连续调节。

该电路的特点是当R1=0时,Uo=0V,UADJ本应为0V,但由于LM404l一1.2给取样电阻分压器提供一个与LDO的输出电压等效的电压UREF′,加在ADJ端,因此可使UADJ提升到1.225V,以保证LDO能正常稳压;当R1=2.723MΩ时,根据式(1)可计算出Uo=20V,从而使输出电压能够从0V起调。
该电路的缺点是UREF′与UREF之间存在的微小差异,使实际输出电压的最小值为几毫伏至十几毫伏,严格讲还不能从0V起调。
3.2 利用运算放大器实现LDO从0V起调的方法
利用运算放大器确保LD0能从0V起调的电路如图4所示。A1、A2合用一片低功耗、低失调电压的双运放LM358。该电路有以下特点:第一,取样电阻分压器的下端并不直接接地,而是接A1的输出端;第二,调节电路由R3"R5组成,R5采用100kΩ电位器,设计时取R3=R1,R4=R2,这相当于将取样电阻分压器“复制”到调节电路中;第三,通过调节R5可提升取样电阻分压器的地电位,使Uo=0V时,UADJ=1.225V;第四,实际输出电压能严格的从0V起调,并且在调节过程中U0能平滑地升高,无跳变现象。

4 由LD0构成恒流源的电路设计
利用LDO或VLDO还可构成高稳定度、高效率的恒流源,适合对电池进行恒流充电。
4.1 由固定输出式LDO构成的恒流源
由固定输出式LDO构成的恒流源电路如图5所示。该恒流源可向负载RL提供某一恒定的电流IH,当负载发生变化时LDO通过改变调整管压降来维持IH不变,在Uo端与GND之间接固定电阻R,负载则接到GND与地之间。其恒流原理如下:因为LDO的输出电压U0稳定不变,所以通过R的电流(亦即通过外部负载RL上的电流)IH也不变。如果负载导致IH改变,R上的压降UR=IHR也随之改变。但LDO具有稳压作用,它通过自动调节内部PNP型调整管的压降来保证Uo(即UR)值不变,使IH不受负载变化的影响,从而实现了恒流输出。虽然稳压器的静态工作电流Id也流过RL,但由于Id很小,一般可忽略不计,因此计算IH的公式为


4.2 由超低压差线性稳压控制器构成的恒流源
超低压差线性稳压控制器内部不包含调整管,而是通过驱动外部PNP调整管或N沟道MOSFET构成LDO,这是它们与LDO的重要区别。由MIC5158型超低压差线性稳压控制器构成的恒流源电路如图6所示。MIC5158能直接驱动大功率N沟道MOSFET。由于MIC5158的限流电路是以内部比较器的35mV参考电压为基准的,因此,它具有独特的线性化的限流特性。

该恒流源具有电路简单、效率高、能输出大电流等优良性能。如果需要的话,可通过R1和R2来限制输出电压的最大值。它所适用的输出电压范围是OV~(U1一△U),取样电阻两端的压降仅为(IHRDS(ON)+35mV)。即使输出10A的恒定大电流,取样电阻的压降也仅为几百毫伏。输出电流由下式确定,即

射频工程师养成培训教程套装,助您快速成为一名优秀射频工程师...
射频和天线工程师培训课程详情>>

