- 易迪拓培训,专注于微波、射频、天线设计工程师的培养
整流与滤波及线性串联型稳压电源工作原理
录入:edatop.com 点击:
一、 整流与滤波电路
整流电路的任务是利用二极管的单向导电性,把正、负交变的50Hz电网电压变成单方向脉动的直流电压。

整流电路只是将交流电变换为单方向的脉动电压和电流,由于后者含有较大的交流成分,通常还需在整流电路的输出端接入滤波电路,以滤除交流分量,从而得到平滑的直流电压。

由波形可知:
1.开关S打开时,电容两端电压为变压器付边的最大值

。
2 .开关S闭合,即为电容滤波电阻负载,当变压器付边电压大于电容上电压时

,电容充电,输出电压升高,当

时电容放电,输出下降。如此充电快,放电慢的不断反复,在负载上将得到比较平滑的输出电压。当负载电阻越大时,放电越慢,纹波电压越小,负载电阻小时,放电快,纹波大,而且输出电压低。
为此有三种情况下的输出电压估算值:
1)电容滤波,负载开路时

。
2)无电容滤波,电阻负载时,输出电压平均值为:

。

3)电容滤波,电阻负载时通常用下式进行估算

,通常按

估算。
为确保二极管安全工作,要求:不同电子设备要求其电源电压的平滑程度不同,为此可采用不同的滤波电路。常见的有电容滤波、电感滤波和复式滤波电路(两个或两个以上滤波元件组成)。

二、线性串联型稳压电路
整流滤波后的电压是不稳压的,在电网电压或负载变化时,该电压都会产生变化,而且纹波电压又大。所以,整流滤波后,还须经过稳压电路,才能使输出电压在一定的范围内稳定不变。
1.稳压电路(电源)的主要性能指标
输出的稳定电压值Vo,最大输出电流Imax,输出纹波电压V~,稳压系数(电压调整率)

,

该值越小,稳定性越好

。
输出电阻(内阻)

,

,内阻越小越好。
2.串联型稳压电路的基本结构基本思路:


串联型:


当输入电压(VI)改变时,能自动调节(VCE)电压的大小,使输出电压(Vo)保持恒定。例如:VI↑→Vo↑→经取样和放大电路后→IB↓→VCE↑→Vo↓
串联型稳压电路基本结构:

VI是整流滤波后的电压,T为调整管,A为比较放大电路,VREF为基准电压,它由稳压管Dz与限流电阻R构成。R1与R2组成反馈网络,是用来反映输出电压变化的取样环节。
电路也可以改画成以下形式,以便看图方便。

如把串联稳压电路看作反馈放大器(输入为VI,输出为Vo),则这种电路属于电压串联负反馈 。
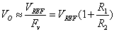
在深度负反馈条件下

,

,

。
这种稳压电路的主回路由调整管T与负载相串联构成,且T工作在线性状态,故称为线性串联式稳压电路。
输出电压Vo=VI-VCE,其变化量由反馈网络取样,并经放大电路(A)放大后去控制调整管T的基极电压,从而改变调整管T的VCE大小。
当输入电压VI增加(或负载电流Io减小)时,导致输出电压Vo增加,随之反馈电压VF=R2Vo/(R1+R2)=FvVo也增加(Fv为反馈系数)。VF与基准电压VREF相比较,其差值电压经比较放大电路放大后使调整管的VB和IC减小,于是调整管T的c-e间电压VCE增大,使Vo下降,从而维持Vo基本恒定。显然,这是电压负反馈电路基本性能。
整流电路的任务是利用二极管的单向导电性,把正、负交变的50Hz电网电压变成单方向脉动的直流电压。

整流电路只是将交流电变换为单方向的脉动电压和电流,由于后者含有较大的交流成分,通常还需在整流电路的输出端接入滤波电路,以滤除交流分量,从而得到平滑的直流电压。

由波形可知:
1.开关S打开时,电容两端电压为变压器付边的最大值

。
2 .开关S闭合,即为电容滤波电阻负载,当变压器付边电压大于电容上电压时

,电容充电,输出电压升高,当

时电容放电,输出下降。如此充电快,放电慢的不断反复,在负载上将得到比较平滑的输出电压。当负载电阻越大时,放电越慢,纹波电压越小,负载电阻小时,放电快,纹波大,而且输出电压低。
为此有三种情况下的输出电压估算值:
1)电容滤波,负载开路时

。
2)无电容滤波,电阻负载时,输出电压平均值为:

。

3)电容滤波,电阻负载时通常用下式进行估算

,通常按

估算。
为确保二极管安全工作,要求:不同电子设备要求其电源电压的平滑程度不同,为此可采用不同的滤波电路。常见的有电容滤波、电感滤波和复式滤波电路(两个或两个以上滤波元件组成)。

二、线性串联型稳压电路
整流滤波后的电压是不稳压的,在电网电压或负载变化时,该电压都会产生变化,而且纹波电压又大。所以,整流滤波后,还须经过稳压电路,才能使输出电压在一定的范围内稳定不变。
1.稳压电路(电源)的主要性能指标
输出的稳定电压值Vo,最大输出电流Imax,输出纹波电压V~,稳压系数(电压调整率)

,

该值越小,稳定性越好

。
输出电阻(内阻)

,

,内阻越小越好。
2.串联型稳压电路的基本结构基本思路:


串联型:


当输入电压(VI)改变时,能自动调节(VCE)电压的大小,使输出电压(Vo)保持恒定。例如:VI↑→Vo↑→经取样和放大电路后→IB↓→VCE↑→Vo↓
串联型稳压电路基本结构:

VI是整流滤波后的电压,T为调整管,A为比较放大电路,VREF为基准电压,它由稳压管Dz与限流电阻R构成。R1与R2组成反馈网络,是用来反映输出电压变化的取样环节。
电路也可以改画成以下形式,以便看图方便。

如把串联稳压电路看作反馈放大器(输入为VI,输出为Vo),则这种电路属于电压串联负反馈 。
在深度负反馈条件下

,

,

。
这种稳压电路的主回路由调整管T与负载相串联构成,且T工作在线性状态,故称为线性串联式稳压电路。
输出电压Vo=VI-VCE,其变化量由反馈网络取样,并经放大电路(A)放大后去控制调整管T的基极电压,从而改变调整管T的VCE大小。
当输入电压VI增加(或负载电流Io减小)时,导致输出电压Vo增加,随之反馈电压VF=R2Vo/(R1+R2)=FvVo也增加(Fv为反馈系数)。VF与基准电压VREF相比较,其差值电压经比较放大电路放大后使调整管的VB和IC减小,于是调整管T的c-e间电压VCE增大,使Vo下降,从而维持Vo基本恒定。显然,这是电压负反馈电路基本性能。
射频工程师养成培训教程套装,助您快速成为一名优秀射频工程师...
天线设计工程师培训课程套装,资深专家授课,让天线设计不再难...
上一篇:便携式设备中电源的工程学设计相关理论
下一篇:基于DSP的矩阵式三相/单相电源研究
射频和天线工程师培训课程详情>>

