- 易迪拓培训,专注于微波、射频、天线设计工程师的培养
补偿及测量高功率LED驱动器的控制回路
录入:edatop.com 点击:
数学模型一直都有助于判定特定设计的最佳补偿组件,然而,补偿 WLED 电流调节升压转换器的情况,则与补偿被设定为调节电压的相同转换器略微不同。以传统的方法测量控制回路相当不便,因为回馈 (FB) 引脚的阻抗不高,而且缺乏上端 FB 电阻。在参照 1 中,Ray Ridley 展示了简易小信号控制回路模型,适用于具备电流模式控制的升压转换器。下文说明 Ridley 模型应如何修改才能适用于 WLED 电流调节升压转换器,同时,也将说明如何测量升压转换器的控制回路。
回路组件
如图 1 所示,为了从输入电压提供较高或较低的调节输出电压,任何可调式 DC/DC 转换器都能够加以修改。在这类配置中,如果假设 ROUT 纯粹是电阻负载,则 VOUT = IOUT × ROUT。当DC/DC 转换器用来给 LED 供电时,它会借着调节下端 FB 电阻控制通过 LED 的电流,如图 2 所示。由于负载本身 (LED) 取代上端 FB 电阻的缘故,传统的小信号控制回路公式不再适用。DC 负载阻抗为

而且

从二极管资料表或从测量得出的 VFWD 是 ILED 的正向电压,而 n 是串联的 LED 数量。

图 1. 用于调节电压的可调式 DC/DC 转换器

图 2. 用于调节 LED 电流的可调式 DC/DC 转换器
然而,从小信号的角度来看,负载阻抗包含 REQ 以及位于 ILED 的 LED 动态阻抗 rD。虽然某些 LED 制造商提供不同电流量的rD标准 值,不过判定 rD 的最好方法是从所有制造商提供的 LED I-V 标准曲线得出该值。图 3 显示 OSRAM LW W5SM 高功率 LED 的I-V 曲线范例。rD 值是动态 (或小信号) 数量,其定义为电压变化除以电流变化,也就是 rD = ΔVFWD/ΔILED。若要从图 3 得出 rD,只需要从 VFWD 与 ILED 的起始处画出笔直的切线,然后计算斜率。举例来说,使用图 3 中切出的虚线,即可得出 rD = (3.5 – 2.0 V)/(1.000 – 0.010 A) = 1.51 W,而且 ILED = 350 mA。

图 3. OSRAM LW W5SM 的 I-V 曲线
小信号模型
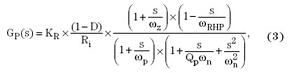
对于小信号模型,此处将以TPS61165 峰值电流模型转换器为例,它能驱动 3 个串联的 OSRAM LW W5SM 零件。图 4a 显示电流调节升压转换器的同等小信号模型,而图 4b 显示较为简化的模型

以及


表 1. 公式 3中两种转换器模型的差异

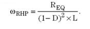
计算两种电路的负载周期 D 以及 VOUT 与 REQ 的修改值所使用的方式都相同。Sn 及 Se 分别是升压转换器的自然形成电感斜率与补偿斜率,而 fSW 是切换频率。关于电压调节升压转换器的小信号模型与电流调节升压转换器的模型,两者之间真正的差异来自乘以跨导用项 (1 – D)/Ri 的抗阻 KR 以及主要电极 wp。这些差异已在表 1 予以概述。详细信息请见参照 1。由于在调节电压的转换器中, RSENSE 值一般远低于 ROUT 值,因此,电流调节转换器的增益 (其中 ROUT = REQ) 几乎都低于电压调节转换器的增益。
测量回路
若要测量控制回路增益与电压调节转换器的相位,网络或专用回路增益/相位分析仪一般会使用 1:1 变压器将小信号通过小阻抗 (RINJ) 注入回路中。然后,分析仪便会根据频率测量并比较 A 点的注入信号与 R 点的回传信号,之后,报告幅度差异 (增益) 与时间延迟 (相位) 的比例。只要 A 点的阻抗远低于 R 点的阻抗,即可在回路中的任一处插入此阻抗,否则注入的信号会过大,因而干扰转换器的运作点。如图 5 所示,高阻抗节点是一般插入此阻抗的位置,也是 FB 电阻在输出电容 (低阻抗节点) 侦测输出电压的地方。

图 5. 电压调节转换器的控制回路测量
在电流调节配置中,如果负载本身是上端 FB 电阻,则无法通过与 LED 串联的方式将注入电阻插入。转换器的运作点必须先予以变更,才能将电阻插入于FB 引脚与感应电阻之间,如图 6 所示。在某些情况下,可能需要非反向单位增益缓冲放大器,以降低注入点的阻抗,并减少测量噪声。

图 6. 电流调节转换器的控制回路测量
用来测量回路的是Venable回路分析仪,它与图 6 中的测量设定相同但不含放大器,而且 RINJ = 51.1 W。电流调节转换器的模型是以 Mathcad 构建,并且使用 TPS61170 的数据表设计参数,其中的核心与 TPS61165 相同。当 VIN = 5 V 且 ILED 经设定为 350 mA 时,该模型会产生 TPS61165EVM 的预期回路响应,如图 7 所示,可便于与测得的数据进行比较。

图 7. 在 VIN = 5 V 且 ILED = 350 mA 的情况下所测得及模拟的回路增益与相位
观察 WLED 动态阻抗的变化,并参照 IC 放大器增益中标准 LED I-V 曲线及芯片间变化,便不难解释所测得及模拟增益两者之间的差异。
结论
数学模型虽然并非全然准确,但不失为设计人员设计 WLED 电流调节升压转换器时可以运用的初步方法。设计人员也能够以其中一种方法测量控制回路。
回路组件
如图 1 所示,为了从输入电压提供较高或较低的调节输出电压,任何可调式 DC/DC 转换器都能够加以修改。在这类配置中,如果假设 ROUT 纯粹是电阻负载,则 VOUT = IOUT × ROUT。当DC/DC 转换器用来给 LED 供电时,它会借着调节下端 FB 电阻控制通过 LED 的电流,如图 2 所示。由于负载本身 (LED) 取代上端 FB 电阻的缘故,传统的小信号控制回路公式不再适用。DC 负载阻抗为

而且

从二极管资料表或从测量得出的 VFWD 是 ILED 的正向电压,而 n 是串联的 LED 数量。

图 1. 用于调节电压的可调式 DC/DC 转换器

图 2. 用于调节 LED 电流的可调式 DC/DC 转换器
然而,从小信号的角度来看,负载阻抗包含 REQ 以及位于 ILED 的 LED 动态阻抗 rD。虽然某些 LED 制造商提供不同电流量的rD标准 值,不过判定 rD 的最好方法是从所有制造商提供的 LED I-V 标准曲线得出该值。图 3 显示 OSRAM LW W5SM 高功率 LED 的I-V 曲线范例。rD 值是动态 (或小信号) 数量,其定义为电压变化除以电流变化,也就是 rD = ΔVFWD/ΔILED。若要从图 3 得出 rD,只需要从 VFWD 与 ILED 的起始处画出笔直的切线,然后计算斜率。举例来说,使用图 3 中切出的虚线,即可得出 rD = (3.5 – 2.0 V)/(1.000 – 0.010 A) = 1.51 W,而且 ILED = 350 mA。

图 3. OSRAM LW W5SM 的 I-V 曲线
小信号模型
对于小信号模型,此处将以TPS61165 峰值电流模型转换器为例,它能驱动 3 个串联的 OSRAM LW W5SM 零件。图 4a 显示电流调节升压转换器的同等小信号模型,而图 4b 显示较为简化的模型

以及


表 1. 公式 3中两种转换器模型的差异

计算两种电路的负载周期 D 以及 VOUT 与 REQ 的修改值所使用的方式都相同。Sn 及 Se 分别是升压转换器的自然形成电感斜率与补偿斜率,而 fSW 是切换频率。关于电压调节升压转换器的小信号模型与电流调节升压转换器的模型,两者之间真正的差异来自乘以跨导用项 (1 – D)/Ri 的抗阻 KR 以及主要电极 wp。这些差异已在表 1 予以概述。详细信息请见参照 1。由于在调节电压的转换器中, RSENSE 值一般远低于 ROUT 值,因此,电流调节转换器的增益 (其中 ROUT = REQ) 几乎都低于电压调节转换器的增益。
测量回路
若要测量控制回路增益与电压调节转换器的相位,网络或专用回路增益/相位分析仪一般会使用 1:1 变压器将小信号通过小阻抗 (RINJ) 注入回路中。然后,分析仪便会根据频率测量并比较 A 点的注入信号与 R 点的回传信号,之后,报告幅度差异 (增益) 与时间延迟 (相位) 的比例。只要 A 点的阻抗远低于 R 点的阻抗,即可在回路中的任一处插入此阻抗,否则注入的信号会过大,因而干扰转换器的运作点。如图 5 所示,高阻抗节点是一般插入此阻抗的位置,也是 FB 电阻在输出电容 (低阻抗节点) 侦测输出电压的地方。

图 5. 电压调节转换器的控制回路测量
在电流调节配置中,如果负载本身是上端 FB 电阻,则无法通过与 LED 串联的方式将注入电阻插入。转换器的运作点必须先予以变更,才能将电阻插入于FB 引脚与感应电阻之间,如图 6 所示。在某些情况下,可能需要非反向单位增益缓冲放大器,以降低注入点的阻抗,并减少测量噪声。

图 6. 电流调节转换器的控制回路测量
用来测量回路的是Venable回路分析仪,它与图 6 中的测量设定相同但不含放大器,而且 RINJ = 51.1 W。电流调节转换器的模型是以 Mathcad 构建,并且使用 TPS61170 的数据表设计参数,其中的核心与 TPS61165 相同。当 VIN = 5 V 且 ILED 经设定为 350 mA 时,该模型会产生 TPS61165EVM 的预期回路响应,如图 7 所示,可便于与测得的数据进行比较。

图 7. 在 VIN = 5 V 且 ILED = 350 mA 的情况下所测得及模拟的回路增益与相位
观察 WLED 动态阻抗的变化,并参照 IC 放大器增益中标准 LED I-V 曲线及芯片间变化,便不难解释所测得及模拟增益两者之间的差异。
结论
数学模型虽然并非全然准确,但不失为设计人员设计 WLED 电流调节升压转换器时可以运用的初步方法。设计人员也能够以其中一种方法测量控制回路。
射频工程师养成培训教程套装,助您快速成为一名优秀射频工程师...
射频和天线工程师培训课程详情>>

