- 易迪拓培训,专注于微波、射频、天线设计工程师的培养
由运算放大器构成的低压差直流稳压电源
录入:edatop.com 点击:
1 引言
稳压电源模块在电路中使用广泛,目前流行的如LM78、ASM117系列等,多数只有3个引脚,结构简单,使用方便。通常输入与输出之间的压差大于2 V才能正常工作,但对较低电压电池供电的场合。一般增加2 V的供电电源需增加20%~40%(对应输出3 V或5 V)的成本和体积。用开关电源原理制作的低压差模块(如MAX605),可在输入电压与输出电压近乎相等的情况下输出稳定的电压,但对测力等电路需电源纹波较小的情况。针对上述问题。利用分立器件设计一种低压差稳压电源电路。电路器件选用常规器件,成本低。结构简单。实际电路经实验测试,具有很好的负载特性和电压稳定性。
2 电路工作原理
图1为低压层直流稳压电源电路原理图。该电路是由基准电压、电压放大和电流放大等3个环节组成。其中,基准电压由TL431产生,按图1中电路连接,当通过R0的电流在0.5"10 mA时可获得稳定的2.5 V基准输出。

输出电压的具体数值由运算放大器UA确定,采用同相放大器的优越性在于其输入阻抗极大,可很好地将TL431输出的2.5 V电压与后级电路隔离,使其不受负载变化的影响;运放与电阻R3和R2组成比例放大环节,可对基准电压按要求进行比例放大输出,但输出电压最大不能超过运放的电源电压。
电流放大采用两个三极管,UA通过驱动调整管VQ2控制调整管VQ1,组成反馈实现电流放大环节,对输出电压进行调节,从而实现稳压输出。二极管VD在运放UA低压输出时使调整管VQ2基极一发射极电压为负,使VQ2立即进入截止状态,电流Ic2迅速降低,VQ2的VCE升高导致VQ1的基极电压升高,使 VQ1的基极电流IB减少,进而减少输出电流ICQ1(βIB);反之同理。RL是输出负载,C0和C1是滤波电容。
3 电路主要参数设计
3.1 控制环节设计
控制环节回路等效图如图2和图3所示,其中图2为比例电压增益原理图,图3为电流放大原理图。


按照图2和图3,可得出控制环节回路方程:

式中,Irg为运放UA的输出端1的输出控制电流。
由式(2)可知,Irg通过控制VQ2啦的电流IC2控制VQ1的基极电流,IB1,R8控制调节管VQ2,进而控制VQ1的输出电流IC1,VQ2是与 VQ1形成串联负反馈,无需进一步放大VQ1的输出电流IC1,用R8对IC1分流。电路输出电压Vcc为5 V,驱动额定负载是350 Ω,供电电源是标准7 V输出的电池。运算放大器选LM358,取R1、R2为10 kΩ,TL431电流范围是100~150 mA,选用R1=3 kΩ,符合要求。VCC=(1+R2/R1)x2.5=5 V。合理选取R8和R9的电阻值,使VQ1和VQ2均工作在线性区。
3.2 调整管的选取与静态工作点的设置
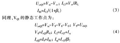
调整管VQ1和VQ2主要参数:(1)反向电压VCEO不小于Vin的2 倍的裕量;(2)最大允许电流ICM,不小于输出电流I0的2倍的裕量;(3)耗散功率PCM应在功率损耗的安全区内;通常为了安全可靠,参数应按照实际值的几倍选取。设置适当的静态工作点(即确定基极静态电流Ih,发射极电流Ie,集电极一发射极静态电压Uce),可以在保证输出稳定精度的同时使调整管的损耗最小。合适的静态工作点首先要求调整管工作在放大状态,其次要满足电网和负载波动情况下,Ib、Ie、Ucc尽量小,以减少损耗。设置静态工作点要选择合适的驱动管VQ1和偏置电阻R8、R9。VQ1的静态工作点为:

式中,Irg为运放的控制输出信号,Vin为电源电压,Vcc为5 V输出电压,RL为额定负载200Ω,VD是二极管导通电压0.7V。
由式(3)和(4)可以确定VQ2的参数,然后,计算电阻R9:

使用放大倍数β1、β2在30-80之间的调整管,放大倍数较大的调整管消耗功率较小,但稳定性降低,这里选取β为50,设计供电电源在5.2~9 V之间波动,为了防止电源电压高时烧毁调整管VQ2,加约1 kΩ的电阻R8以限流保护。
3.3 过流保护电路的设计
图3中,电阻Ri与三极管VQ3组成过流保护环节。输出电流过大时,取样电阻Ri上的电压大于0.7 V,VQ3导通,迫使调整管基极电压Vbe降低,直到关闭电源输出。R4=0.7/kIC。其中,LC为输出电流,K为最大过流系数,通常取值约1.5。 R7=(Vcc-Uce3)/Ie3≈Vrg/Ic3,限制Ic3不宜过大,以免VQ3过流损坏。
4 试验
图4为设计的一个直流稳压电源模块,输入电源为直流5~9 V的蓄电池组;分别对设计电路进行电源特性和负载特性试验,其中负载特性试验以输入的6.5 V蓄电池模拟实际使用工作环境。图5为其试验记录结果。输出纹波试验数据,当电源输入电压为5-11 V,输出纹波为5~8 mV。


5 结束语
通过分析与试验可看出,该直流电源稳压模块具有稳压精度高、负载特性好等特点,且电路简单,另外可利用接口P0监测实际电源,此电路已投入生产,通过实践检验该电路设计性能可靠,耗电少,可很好满足单电源供电应用情况。
稳压电源模块在电路中使用广泛,目前流行的如LM78、ASM117系列等,多数只有3个引脚,结构简单,使用方便。通常输入与输出之间的压差大于2 V才能正常工作,但对较低电压电池供电的场合。一般增加2 V的供电电源需增加20%~40%(对应输出3 V或5 V)的成本和体积。用开关电源原理制作的低压差模块(如MAX605),可在输入电压与输出电压近乎相等的情况下输出稳定的电压,但对测力等电路需电源纹波较小的情况。针对上述问题。利用分立器件设计一种低压差稳压电源电路。电路器件选用常规器件,成本低。结构简单。实际电路经实验测试,具有很好的负载特性和电压稳定性。
2 电路工作原理
图1为低压层直流稳压电源电路原理图。该电路是由基准电压、电压放大和电流放大等3个环节组成。其中,基准电压由TL431产生,按图1中电路连接,当通过R0的电流在0.5"10 mA时可获得稳定的2.5 V基准输出。

输出电压的具体数值由运算放大器UA确定,采用同相放大器的优越性在于其输入阻抗极大,可很好地将TL431输出的2.5 V电压与后级电路隔离,使其不受负载变化的影响;运放与电阻R3和R2组成比例放大环节,可对基准电压按要求进行比例放大输出,但输出电压最大不能超过运放的电源电压。
电流放大采用两个三极管,UA通过驱动调整管VQ2控制调整管VQ1,组成反馈实现电流放大环节,对输出电压进行调节,从而实现稳压输出。二极管VD在运放UA低压输出时使调整管VQ2基极一发射极电压为负,使VQ2立即进入截止状态,电流Ic2迅速降低,VQ2的VCE升高导致VQ1的基极电压升高,使 VQ1的基极电流IB减少,进而减少输出电流ICQ1(βIB);反之同理。RL是输出负载,C0和C1是滤波电容。
3 电路主要参数设计
3.1 控制环节设计
控制环节回路等效图如图2和图3所示,其中图2为比例电压增益原理图,图3为电流放大原理图。


按照图2和图3,可得出控制环节回路方程:

式中,Irg为运放UA的输出端1的输出控制电流。
由式(2)可知,Irg通过控制VQ2啦的电流IC2控制VQ1的基极电流,IB1,R8控制调节管VQ2,进而控制VQ1的输出电流IC1,VQ2是与 VQ1形成串联负反馈,无需进一步放大VQ1的输出电流IC1,用R8对IC1分流。电路输出电压Vcc为5 V,驱动额定负载是350 Ω,供电电源是标准7 V输出的电池。运算放大器选LM358,取R1、R2为10 kΩ,TL431电流范围是100~150 mA,选用R1=3 kΩ,符合要求。VCC=(1+R2/R1)x2.5=5 V。合理选取R8和R9的电阻值,使VQ1和VQ2均工作在线性区。
3.2 调整管的选取与静态工作点的设置
调整管VQ1和VQ2主要参数:(1)反向电压VCEO不小于Vin的2 倍的裕量;(2)最大允许电流ICM,不小于输出电流I0的2倍的裕量;(3)耗散功率PCM应在功率损耗的安全区内;通常为了安全可靠,参数应按照实际值的几倍选取。设置适当的静态工作点(即确定基极静态电流Ih,发射极电流Ie,集电极一发射极静态电压Uce),可以在保证输出稳定精度的同时使调整管的损耗最小。合适的静态工作点首先要求调整管工作在放大状态,其次要满足电网和负载波动情况下,Ib、Ie、Ucc尽量小,以减少损耗。设置静态工作点要选择合适的驱动管VQ1和偏置电阻R8、R9。VQ1的静态工作点为:

式中,Irg为运放的控制输出信号,Vin为电源电压,Vcc为5 V输出电压,RL为额定负载200Ω,VD是二极管导通电压0.7V。
由式(3)和(4)可以确定VQ2的参数,然后,计算电阻R9:

使用放大倍数β1、β2在30-80之间的调整管,放大倍数较大的调整管消耗功率较小,但稳定性降低,这里选取β为50,设计供电电源在5.2~9 V之间波动,为了防止电源电压高时烧毁调整管VQ2,加约1 kΩ的电阻R8以限流保护。
3.3 过流保护电路的设计
图3中,电阻Ri与三极管VQ3组成过流保护环节。输出电流过大时,取样电阻Ri上的电压大于0.7 V,VQ3导通,迫使调整管基极电压Vbe降低,直到关闭电源输出。R4=0.7/kIC。其中,LC为输出电流,K为最大过流系数,通常取值约1.5。 R7=(Vcc-Uce3)/Ie3≈Vrg/Ic3,限制Ic3不宜过大,以免VQ3过流损坏。
4 试验
图4为设计的一个直流稳压电源模块,输入电源为直流5~9 V的蓄电池组;分别对设计电路进行电源特性和负载特性试验,其中负载特性试验以输入的6.5 V蓄电池模拟实际使用工作环境。图5为其试验记录结果。输出纹波试验数据,当电源输入电压为5-11 V,输出纹波为5~8 mV。


5 结束语
通过分析与试验可看出,该直流电源稳压模块具有稳压精度高、负载特性好等特点,且电路简单,另外可利用接口P0监测实际电源,此电路已投入生产,通过实践检验该电路设计性能可靠,耗电少,可很好满足单电源供电应用情况。
射频工程师养成培训教程套装,助您快速成为一名优秀射频工程师...
射频和天线工程师培训课程详情>>

