- 易迪拓培训,专注于微波、射频、天线设计工程师的培养
LED-MR16射灯电源的问题及其BP1361解决方案
录入:edatop.com 点击:
随着LED技术的发展,带来了照明界的一场革命。尤其是1W和3W大功率LED技术的成熟和成本的降低,LED在E27、GU10、PAR灯和MR16等领域广泛应用。然而,在电子变压器驱动的3*1W的LED-MR16应用中,也存在一些问题。本文就电子变压器驱动3*1W的LED-MR16恒流驱动电源问题进行系统分析,并介绍BP1361构成的B2(Buck-Boost)解决方案。
电子变压器在驱动LED时的工作问题
为了更多了解电子变压器驱动LED的MR16射灯,这里先介绍电子变压器(以市场上买的飞利浦电子变压器为例)的工作原理以及在驱动MR16卤素灯的工作情况。图1为目前市场最为常用的电子变压器的原理图:

图1 常用电子变压器原理图
其工作原理简单可以简述为:上电后,通过R1,R2给C3充电。当Vc3>VDb1+VbeQ2时,Q2导通。此时会产生电流Imag1从M点→T1→T2_a→Q2→R6→GND。Imag1很快将T2磁化至饱和,使Q2关断。同时在退磁时打开Q1,产生电流Imag2从C4→Q1→R4→T2_a→T1→M点。之后重复以上工作。也就是说,在电路开启后其工作是依靠T2不断的磁化与退磁来维持,通常工作频为25"50KHz左右。在这里需要说明的是T2的磁化是建立在一定的磁化电流(Imag)的基础上的,在电路的各个参数设计完成后,磁化电流(Imag)的大小正比于输出功率。对于卤素灯通常的功率范围为10"50W,输出电压通常为12Vac,其负载等效模型为一纯阻。
那对于输出负载变成LED的MR16灯杯时,电子变压器的工作状就发生了变化。这主要由两个原因引起。
第一、对于LED的MR16灯杯通常的功率只有1"3W,而原先的电子变压器是按10"50W设计的,也就是说输出功率只有不到原来的1/10,在半桥回路中产生的磁化电流Imag已经不能使T2饱和,使电子变压器工作在不正常状态。
第二、图2为目前应用最为广泛的MR16灯杯中由BUCK电路构成的LED恒流驱动电源的原理图。从图中可以看出在整流桥(D1-D4)之后有一个很大的电解电容CE1(100"220uF)。对于电子变压器来说相当于负载由原来的纯组性负载变成了一个很大的容性负载。

图2 MR16 Buck恒流原理图
图3为电子变压器输出带1颗3W时的输出电压情况。

图3-A
放大后

图3-B
图3 变子变压器为MR16 LED灯的供电情况
从图3-A中可以看出电子变压器的输出电压受到100Hz(50Hz经过整流后)的调制。当输入电压在过零点附近时输出为零(占整个周期的1/3,约3mS),这就需要在LED恒流电源里有一个很大的电解电容(几百uF)去给Buck电路提供足够的能量来恒定LED的电流。
正如上面第二点所说,几百uF的容性负载对于电子变压器而言会使其一直工作于间歇状态如图3-B所示。结合图1和图2可以很容易分析出产生这种情况的原因:当电子变压器上电后,R1,R2给C3充电,当Vc3>VDb1+VbeQ2后,Q2导通工作,产生磁化电流(Imag)使整个半桥电路开始工作,并给LED驱动电源中的电解电容CE1及为LED提供能量(如图4-B中的A区)。当CE1中的电压被充至与电子变压器的输出电压相等时,电子变压器中的T1输出绕组中的电流为零,Imag也下降到零,从而使整个整流桥电路停振(如图4-B的B区)。停振后,R1,R2再次给C3充电,之后一直重复上面的工作(如图4-A)。通常不同生产厂家的电子变压器的间歇频率也不一样,这主要是R1,R2及C3的设计值不一样导致。

图4-A
放大后

图4-B 放大后
图4 电子变压器为MR16 LED灯的供电时的工作情况
BP1361在直流电压输入和单颗LED在MR16中的应用
虽然电子变压器在LED-MR16射灯里的工作状态不是很理想,但并不会对其可靠性产生太大的影响,这也是目前LED-MR16灯杯大量出货的基础。目前市场上也有很多的针对LED-MR16的专用恒流IC,上海晶丰明源半导体(BPSemi)推出的BP1361系列就是其中做得较好的一款IC。图5是BP1361的应用原理图。

图5 BP1361应用原理图
从图5中可以看出,其应用电路只有很少的外围元件。除此外,还可以做到很宽的输入电压范围从5V到30V;宽输入电压输出精度达到±3%;很高的系统效率,最高达97%;开路/短路/过温保护;PWM或模拟调光。
对于直流电压输入或者电子变压器驱动单颗LED的MR16灯杯应用中,降压恒流基本可以满足需要。
图6与图7是BP1361在驱动1W及3W的LED在降压恒流应用中的输出特性。可以看到在输入电压很宽的范围其恒流精度可以做到±2.5%以内。


图6a 1W LED输出电流与输入电压 图6b 1W LED输出电流变化率与输入电压


图7a 3W LED输出电流与输入电压 图7b 3W LED输出电流变化率与输入电压
BP1361在3*1W 的LED-MR16灯杯里的应用
正如本文开头所说的,虽然BUCK电路在单颗LED-MR16灯杯中的应用可以做到很好的恒流。但在多颗串联的应用中就成了问题。主要是因为以下几个原因(结合图1和图2来说明):
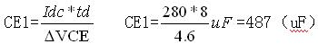
1.在输出功做到3*1W时,恒流电路中的储能电容CE1就需要最大的容量。比如:3颗LED正向电压为3*3.3=9.9V,电子变压器输出峰值电压约为(12V-1V(整流桥压降))*1.414=15.5V,在100Hz的周期内需要滤波电容CE1给输出提供能量的时间最长约为td=8mS。就算Buck电路工作于90%的占空比9.9 *1.1=10.9V,忽略采样电压(100mV)、开关管和电感引起的压降,那么在8mS的时间内ΔVCE只有15.5-10.9=4.6V。在输出电流为Iout=350mA时,电容的放电平均电流为Icd=Pout/Vin/Eff =3/12/0.9=280mA, 则CE1的容量就需要:

由此可看出在3*1W的应用中需要一个大于487(uF)的电容才能使Buck电路正常工作,这么大容量的电容放在体积要求很苛刻的MR16灯杯中是不可能的。
2.另外,市场上很多的电子变压器都带有输出短路保护功能。实验证明,大多数带有输出短路保护功能的电子变压器,在输出电容(CE1)加大到500uF左右时,就会被电子变压器误认为输出短路而使电子变压器出现保护不工作
由此可说明Buck电路用于 3*1W 的LED-MR16不是很合适。那有没有一些好的办法,在牺牲一定的恒流精度,也不用这么大的电解电容(CE1)来实现驱动3颗1W的LED呢?针对这种情况,目前市面上出现的一些方案,比如Cuk方案,如图8。我们以市场上买来的一款Cuk作对比测试,数据仅供参考。

图8 Cuk电路组成的3*1W MR16灯杯电路
这款电路的利用了Cuk电路的升降压原理解决了前面提到的需要一个很大的输入电容(CE1)的情况。但从市场反应以及在实验室里的测试情况,发现它还是存在一些不足的地方。
首先,由于Cuk电路对回路中的互感器(图8中的T1,应用磁集成技术)要求很高,除了价格比较贵外,也不是通用器件。这对于用客户而言不是一件什么好事。
其次,从实验室里的测试数据来看。对于3*1W,输出电流为350mA时,所测试到的数据也并不是太好。如图9、图10及图11。

图9 输出电流随输入电压变化曲线图

图10 输出电流的变化率随输入电压变化曲线图

图11 系统效率随输入电压变化的曲线图
从图9中可以看出,在输入电压为7V以下时,电路基本不工作,且LED灯出现闪烁现象。在7V到17V的区间内输出电流变化有230mA,达到输出电流的65%。图10可以很清楚的看出输出电流的变化率与输入电压的变化关系。另外其系统效率也不是很好,温升比较厉害,如图11。
针对Cuk电路存在以上的问题,上海晶丰明源半导体(BPSemi)利用BP1361开发出了针对3颗1W串联,性能更为优越的B2(Buck-Boost)方案。图12是其应用原理图。

图12 B2(Buck-Boost)原理图
从图12中可以看出,由B2构成的3颗1W串联方案,其电路更为简单。只需用很少的外围元件,同之前的Buck电路中应用的元件基本一样(采用电阻由0.3欧姆换成0.15欧姆,输出并联一个电容)。更重要的是没有Cuk电路里面那个复杂的电感。
从实验室的测试数据来看,B2方案同样也比Cuk电路更好性能。如图13、图14及图15。

图13 输出电流随输入电压变化曲线图

图14 输出电流的变化率随输入电压变化曲线图

图15 系统效率随输入电压变化的曲线图
从图13可以看出,BP1361的B2方案可做到更低的工作电压(图中红线部分,BP1361从4.8V开始工作)。在7V到17V的区间内输出电流变化为输出电流的58%,比Cuk方案低7%,图14为输出电流的变化率与输入电压的变化关系。其系统效率也要比Cuk方案好,在7V时,B 2方案为62.5%,Cuk方案为52.5%,高10%。
通过以上的分析以及实验发现通过降压DC-DC改造的Cuk和B2方案都不是真正意思上的升降压型的恒流控制,但是我们发现针对于3*1W的LED-MR16应用,B2方案很好地满足了大多数客户应用的需要。因为电子变压器通过整流滤波出来的波形如图16所示VCE,最高电压15.8V,最低5.6V,平均值11.5V。LED-MR16输出电流IOUT最高值380mA,最小值200mA,平均值328mA。这对于LED其亮度和寿命主要由输出电流平均值决定的来说,BP1361的B2方案好正是一种性价比极好的解决方案。

图16 B 2方案用电子变压器带动3*1W时的工作波形
图16中我们发现VCE的电压最低到5.6V(不同电子变压器VCE值会有差异),这就对驱动芯片的工作电压的范围就提出了要求,如果工作电压不能到达5.6V或更低,则需要更大的滤波电容(这对灯杯体积提出了更高的要求),否则LED输出电流就会在VCE低于芯片工作电压时降为零,就可能会出现100Hz的低频闪烁,如图17所示3*1W的LED-MR16射灯在输出电压低于驱动芯片工作电压时工作波形。

图17 输出电压低于驱动芯片工作电压时工作波形
总结
LED-MR16射灯相比卤素灯具有功耗低、热量小、寿命长和不用处理卤素等优势,LED-MR16射灯代替卤素射灯将是大势所趋。当然,如何解决LED-MR16射灯跟电子变压器兼容等问题将会影响LED-MR16射灯的发展。本文介绍了电子变压器驱动3*1W的LED-MR16射灯驱动电源的问题及其解决方案,为LED-MR16兼容电子变压器探索了一种性价比很好的驱动电源的实现方法。
电子变压器在驱动LED时的工作问题
为了更多了解电子变压器驱动LED的MR16射灯,这里先介绍电子变压器(以市场上买的飞利浦电子变压器为例)的工作原理以及在驱动MR16卤素灯的工作情况。图1为目前市场最为常用的电子变压器的原理图:

图1 常用电子变压器原理图
其工作原理简单可以简述为:上电后,通过R1,R2给C3充电。当Vc3>VDb1+VbeQ2时,Q2导通。此时会产生电流Imag1从M点→T1→T2_a→Q2→R6→GND。Imag1很快将T2磁化至饱和,使Q2关断。同时在退磁时打开Q1,产生电流Imag2从C4→Q1→R4→T2_a→T1→M点。之后重复以上工作。也就是说,在电路开启后其工作是依靠T2不断的磁化与退磁来维持,通常工作频为25"50KHz左右。在这里需要说明的是T2的磁化是建立在一定的磁化电流(Imag)的基础上的,在电路的各个参数设计完成后,磁化电流(Imag)的大小正比于输出功率。对于卤素灯通常的功率范围为10"50W,输出电压通常为12Vac,其负载等效模型为一纯阻。
那对于输出负载变成LED的MR16灯杯时,电子变压器的工作状就发生了变化。这主要由两个原因引起。
第一、对于LED的MR16灯杯通常的功率只有1"3W,而原先的电子变压器是按10"50W设计的,也就是说输出功率只有不到原来的1/10,在半桥回路中产生的磁化电流Imag已经不能使T2饱和,使电子变压器工作在不正常状态。
第二、图2为目前应用最为广泛的MR16灯杯中由BUCK电路构成的LED恒流驱动电源的原理图。从图中可以看出在整流桥(D1-D4)之后有一个很大的电解电容CE1(100"220uF)。对于电子变压器来说相当于负载由原来的纯组性负载变成了一个很大的容性负载。

图2 MR16 Buck恒流原理图
图3为电子变压器输出带1颗3W时的输出电压情况。

图3-A
放大后

图3-B
图3 变子变压器为MR16 LED灯的供电情况
从图3-A中可以看出电子变压器的输出电压受到100Hz(50Hz经过整流后)的调制。当输入电压在过零点附近时输出为零(占整个周期的1/3,约3mS),这就需要在LED恒流电源里有一个很大的电解电容(几百uF)去给Buck电路提供足够的能量来恒定LED的电流。
正如上面第二点所说,几百uF的容性负载对于电子变压器而言会使其一直工作于间歇状态如图3-B所示。结合图1和图2可以很容易分析出产生这种情况的原因:当电子变压器上电后,R1,R2给C3充电,当Vc3>VDb1+VbeQ2后,Q2导通工作,产生磁化电流(Imag)使整个半桥电路开始工作,并给LED驱动电源中的电解电容CE1及为LED提供能量(如图4-B中的A区)。当CE1中的电压被充至与电子变压器的输出电压相等时,电子变压器中的T1输出绕组中的电流为零,Imag也下降到零,从而使整个整流桥电路停振(如图4-B的B区)。停振后,R1,R2再次给C3充电,之后一直重复上面的工作(如图4-A)。通常不同生产厂家的电子变压器的间歇频率也不一样,这主要是R1,R2及C3的设计值不一样导致。

图4-A
放大后

图4-B 放大后
图4 电子变压器为MR16 LED灯的供电时的工作情况
BP1361在直流电压输入和单颗LED在MR16中的应用
虽然电子变压器在LED-MR16射灯里的工作状态不是很理想,但并不会对其可靠性产生太大的影响,这也是目前LED-MR16灯杯大量出货的基础。目前市场上也有很多的针对LED-MR16的专用恒流IC,上海晶丰明源半导体(BPSemi)推出的BP1361系列就是其中做得较好的一款IC。图5是BP1361的应用原理图。

图5 BP1361应用原理图
从图5中可以看出,其应用电路只有很少的外围元件。除此外,还可以做到很宽的输入电压范围从5V到30V;宽输入电压输出精度达到±3%;很高的系统效率,最高达97%;开路/短路/过温保护;PWM或模拟调光。
对于直流电压输入或者电子变压器驱动单颗LED的MR16灯杯应用中,降压恒流基本可以满足需要。
图6与图7是BP1361在驱动1W及3W的LED在降压恒流应用中的输出特性。可以看到在输入电压很宽的范围其恒流精度可以做到±2.5%以内。


图6a 1W LED输出电流与输入电压 图6b 1W LED输出电流变化率与输入电压


图7a 3W LED输出电流与输入电压 图7b 3W LED输出电流变化率与输入电压
BP1361在3*1W 的LED-MR16灯杯里的应用
正如本文开头所说的,虽然BUCK电路在单颗LED-MR16灯杯中的应用可以做到很好的恒流。但在多颗串联的应用中就成了问题。主要是因为以下几个原因(结合图1和图2来说明):
1.在输出功做到3*1W时,恒流电路中的储能电容CE1就需要最大的容量。比如:3颗LED正向电压为3*3.3=9.9V,电子变压器输出峰值电压约为(12V-1V(整流桥压降))*1.414=15.5V,在100Hz的周期内需要滤波电容CE1给输出提供能量的时间最长约为td=8mS。就算Buck电路工作于90%的占空比9.9 *1.1=10.9V,忽略采样电压(100mV)、开关管和电感引起的压降,那么在8mS的时间内ΔVCE只有15.5-10.9=4.6V。在输出电流为Iout=350mA时,电容的放电平均电流为Icd=Pout/Vin/Eff =3/12/0.9=280mA, 则CE1的容量就需要:

由此可看出在3*1W的应用中需要一个大于487(uF)的电容才能使Buck电路正常工作,这么大容量的电容放在体积要求很苛刻的MR16灯杯中是不可能的。
2.另外,市场上很多的电子变压器都带有输出短路保护功能。实验证明,大多数带有输出短路保护功能的电子变压器,在输出电容(CE1)加大到500uF左右时,就会被电子变压器误认为输出短路而使电子变压器出现保护不工作
由此可说明Buck电路用于 3*1W 的LED-MR16不是很合适。那有没有一些好的办法,在牺牲一定的恒流精度,也不用这么大的电解电容(CE1)来实现驱动3颗1W的LED呢?针对这种情况,目前市面上出现的一些方案,比如Cuk方案,如图8。我们以市场上买来的一款Cuk作对比测试,数据仅供参考。

图8 Cuk电路组成的3*1W MR16灯杯电路
这款电路的利用了Cuk电路的升降压原理解决了前面提到的需要一个很大的输入电容(CE1)的情况。但从市场反应以及在实验室里的测试情况,发现它还是存在一些不足的地方。
首先,由于Cuk电路对回路中的互感器(图8中的T1,应用磁集成技术)要求很高,除了价格比较贵外,也不是通用器件。这对于用客户而言不是一件什么好事。
其次,从实验室里的测试数据来看。对于3*1W,输出电流为350mA时,所测试到的数据也并不是太好。如图9、图10及图11。

图9 输出电流随输入电压变化曲线图

图10 输出电流的变化率随输入电压变化曲线图

图11 系统效率随输入电压变化的曲线图
从图9中可以看出,在输入电压为7V以下时,电路基本不工作,且LED灯出现闪烁现象。在7V到17V的区间内输出电流变化有230mA,达到输出电流的65%。图10可以很清楚的看出输出电流的变化率与输入电压的变化关系。另外其系统效率也不是很好,温升比较厉害,如图11。
针对Cuk电路存在以上的问题,上海晶丰明源半导体(BPSemi)利用BP1361开发出了针对3颗1W串联,性能更为优越的B2(Buck-Boost)方案。图12是其应用原理图。

图12 B2(Buck-Boost)原理图
从图12中可以看出,由B2构成的3颗1W串联方案,其电路更为简单。只需用很少的外围元件,同之前的Buck电路中应用的元件基本一样(采用电阻由0.3欧姆换成0.15欧姆,输出并联一个电容)。更重要的是没有Cuk电路里面那个复杂的电感。
从实验室的测试数据来看,B2方案同样也比Cuk电路更好性能。如图13、图14及图15。

图13 输出电流随输入电压变化曲线图

图14 输出电流的变化率随输入电压变化曲线图

图15 系统效率随输入电压变化的曲线图
从图13可以看出,BP1361的B2方案可做到更低的工作电压(图中红线部分,BP1361从4.8V开始工作)。在7V到17V的区间内输出电流变化为输出电流的58%,比Cuk方案低7%,图14为输出电流的变化率与输入电压的变化关系。其系统效率也要比Cuk方案好,在7V时,B 2方案为62.5%,Cuk方案为52.5%,高10%。
通过以上的分析以及实验发现通过降压DC-DC改造的Cuk和B2方案都不是真正意思上的升降压型的恒流控制,但是我们发现针对于3*1W的LED-MR16应用,B2方案很好地满足了大多数客户应用的需要。因为电子变压器通过整流滤波出来的波形如图16所示VCE,最高电压15.8V,最低5.6V,平均值11.5V。LED-MR16输出电流IOUT最高值380mA,最小值200mA,平均值328mA。这对于LED其亮度和寿命主要由输出电流平均值决定的来说,BP1361的B2方案好正是一种性价比极好的解决方案。

图16 B 2方案用电子变压器带动3*1W时的工作波形
图16中我们发现VCE的电压最低到5.6V(不同电子变压器VCE值会有差异),这就对驱动芯片的工作电压的范围就提出了要求,如果工作电压不能到达5.6V或更低,则需要更大的滤波电容(这对灯杯体积提出了更高的要求),否则LED输出电流就会在VCE低于芯片工作电压时降为零,就可能会出现100Hz的低频闪烁,如图17所示3*1W的LED-MR16射灯在输出电压低于驱动芯片工作电压时工作波形。

图17 输出电压低于驱动芯片工作电压时工作波形
总结
LED-MR16射灯相比卤素灯具有功耗低、热量小、寿命长和不用处理卤素等优势,LED-MR16射灯代替卤素射灯将是大势所趋。当然,如何解决LED-MR16射灯跟电子变压器兼容等问题将会影响LED-MR16射灯的发展。本文介绍了电子变压器驱动3*1W的LED-MR16射灯驱动电源的问题及其解决方案,为LED-MR16兼容电子变压器探索了一种性价比很好的驱动电源的实现方法。
射频工程师养成培训教程套装,助您快速成为一名优秀射频工程师...
射频和天线工程师培训课程详情>>

