- 易迪拓培训,专注于微波、射频、天线设计工程师的培养
一步步优化反激式电源设计
录入:edatop.com 点击:
作者:德州仪器公司重点细分市场及业务开发部经理Michele Sclocchi
反激式是最为广泛采用的隔离式电源拓扑结构,因为它可以用一个低边开关晶体管和有限的外部元件数提供多个隔离输出。不过,反激式电源也存在一些特殊性,如果设计人员没有充分理解并对其进行分析,就可能限制它的整体表现。
针对这种拓扑结构的系列文章将以非常简单的数学方法揭去所有反激式电源设计的神秘面纱,指导设计人员完成一个良好优化的设计。
反激式转换器
根据应用的不同,直流-直流应用(DC/DC应用)可能需要多个输出,而且需要输出隔离。此外,输入与输出的隔离可能需要符合安全标准或提供阻抗匹配。
隔离式电源不仅可以防止用户接触到潜在的致命电压和电流,而且具有性能优势。利用中断接地回路,隔离式电源可以保持仪器精度,并可以在不牺牲总线益处的条件下很容易通过负电源总线提供正稳压电压。
对设计人员来说,反激式拓扑结构历来是输出功率100W以下的电源隔离式转换器的首选。这种拓扑结构只需要一个磁性元件和一个输出整流管,因而具有简单和低成本的优势,同时它也可以轻松实现多路输出。
而反激式拓扑结构的缺点是:它需要一个高容值的输出电容,功率开关管和输出二极管的电流应力较高,气隙区涡流损耗较高,变压器铁芯较大以及可能存在的EMI问题。
反激式转换器源于降压-升压拓扑结构,其主要缺点是:只有在开关MOSFET导通时间内,该转换器才从源极收集能量。在后来的关断期间,来自一次侧绕组的这种能量从电感传递到输出端。这是反激式和降压-升压拓扑结构的独特特点。(图1)

图1:运行在连续传导模式下的典型反激式电源

图2:典型反激式转换器的利用因数与占空比的关系,最大化利用因数的占空比为30-40%。
一次侧电流和二次侧电流同时流过时,反激式变压器并不像传统变压器那样正常工作,实际上只有一小部分能量(磁化能量)被存储在变压器中。反激式变压器更像是同一铁芯上的多个电感器,而非一个典型的变压器。理想的情况是,变压器并不存储能量,所有的能量都在瞬间从一次侧转移到二次侧。
反激式变压器可用作储能装置,能量存储在铁芯的气隙或坡莫合金粉芯的分布式气隙当中。
电感变压器的设计应尽量减少漏感、交流绕组损耗和磁芯损耗。
漏感是一次侧电感的一部分,未与二次侧电感相互耦合。保持尽可能低的漏感十分重要,因为它会降低变压器的效率,还会导致开关器件的漏极出现尖峰。漏感可被看作为存储在变压器中的部分能量,它不会转移到二次侧和负载。这种能量需要通过一个外部缓冲器在一次侧耗散掉。
缓冲器的配置将在后面予以讨论。
当MOSFET开启且电压施加在一次侧绕组时,一次侧电流线性上升。输入电流的变化是由输入电压、变压器一次侧电感和导通时间决定的。在这段时间内,能量被存储在变压器铁芯中,输出二极管D1被反向偏置,能量不会转移到输出负载。
当MOSFET关闭时,磁场开始下降,颠倒了一次侧和二次侧绕组之间的极性。D1被正向偏置,能量转移到负载。
断续传导模式与连续传导模式:
反激式转换器像任何其他的拓扑结构一样有两种不同的工作模式——断续模式和连续模式。当输出电流的增加超过一定值时,断续模式设计的电路将转为连续模式。在断续模式下,导通时间内存储在一次侧的所有能量都会于下一周期开始之前完全转移到二次侧和负载;而且,在二次电流达到零值和下一个周期开始间的瞬间还会有死区时间。在连续模式下,当下一个周期开始时,仍会有一些能量留在二次侧。反激式转换器可以在两种模式下运行,但它具有不同的特征。
断续模式 一方面具有较高的峰值电流,因此在关断时有较高的输出电压尖峰。另一方面,它具有更快的负载瞬态响应,一次侧电感较低,因此变压器尺寸可以较小。二极管的反向恢复时间并不重要,因为在反向电压施加之前正向电流为零。在断续模式下,晶体管的开启随零集电极电流出现,降低了传导EMI的噪声。
连续模式 具有较低的峰值电流,并因此降低了输出电压尖峰。不幸的是,由于它的右半平面(RHP)零点迫使转换器的总带宽降低,所以其控制回路比较复杂。由于连续传导模式对大多数应用而言是更加的选择,因此以上仅对该模式进行了更多的细节分析。
确定反激式变压器:绕组匝数比及其电感
设计人员不得不处理的第一个难题就是确定反激式变压器。通常他们可以从反激式电源变压器标准目录中进行选择,而无需更昂贵的定制变压器。许多供应商都可以针对不同应用和功率大小提供完整系列的变压器,但重要的是要了解如何选择最合适的变压器。
除了二次侧绕组的功率大小和匝数,变压器还可根据一次侧/二次侧绕组匝数比,以及一次侧或二次侧电感来分类。
如果忽略开关MOSFET和输出整流二极管两端压降的影响,在稳态运行条件下,导通时间()的伏*秒应该等于关断期间()伏*秒:

式中:
Vin 是输入电压
Vout 是输出电压
Nps 是反激式变压器的一次侧匝数/二次侧匝数匝比
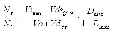
那么,最大占空比的数匝比和最小输入输出电压之间的直接关系是:

其中D为占空比:/开关周期。
在许多情况下,选定的最大占空比为50%,但是在宽输入电压范围的应用中,重要的是要了解如何优化以下关系:最大占空比、变压器匝比、峰值电流和额定电压。
反激式拓扑结构的主要优点之一是可以在占空比大于50%的条件下工作。最大占空比的增加降低了变压器一次侧的峰值电流,从而达到一次侧铜变压器更高利用系数的效果,并降低输入源的纹波。同时,最大占空比的增加可增加主开关MOSFET漏源极之间的最大应力电压,并增加二次侧的峰值电流。
在开始转换器设计之前,重要的是要了解最大占空比、变压器一次侧/二次侧匝数比(Np/Ns)、一次侧MOSFET的最大电压应力、一次侧和二次侧最大电流之间的关系。
公式(2)给出了输出电压Vo和输入电压Vi(因为其简单性没有考虑Q1和二次侧整流管Q2两端的压降)之间的主要关系。为了确保在整个输入电压范围Vo的稳压,最大占空比可以任意选定一个<1的理论值。
然后可以计算Np/Ns:

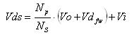
由此选出的表示主MOSFET的漏源极之间的最大电压,由公式(4)及公式(5)和(6)给出,分别表示了变压器一次侧和二次侧的平均电流。
式中:
是二次侧整流二极管的正向压降
是传导期间开关MOSFET的压降
是整体电源效率
是最大输出电流
通过最大化占空比的利用系数U(D)函数可以得到最佳占空比:

利用系数(Ui)是用输出功率除以二次侧开关MOSFET和整流二极管的总最大应力之和得出的。
图中的两条曲线显示了只考虑开关MOSFET应力(蓝色虚线)计算出来的利用系数,以及考虑了二次侧开关MOSFET和整流二极管(红色虚线)的利用系数。
要优化额定输入电压的电源效率,一次侧/二次侧变压器匝比应利用占空比来计算,以使利用系数最大化,其典型值在30-40%之间。
上面的曲线考虑的是有源元件上的理论应力电压。在实践中,更重要的是评估MOSFET最大应力电压和变压器数匝比是怎样随其选择的最大占空比而变化的,并选择一个可以在开关MOSFET的一定最大击穿电压内给出“圆形(round)”匝数比值的值。
确定一次侧电感
选择一次侧和二次侧电感有几个标准。
第一,选择可以确保从满载到某些最小负载均在连续模式运行的一次侧电感。
第二,通过确定最大二次侧纹波电流来计算一次侧和二次侧电感。
第三,计算一次侧电感,以保持尽可能高的右半平面零点(RHP),从而最大限度地提高闭环穿越频率。
在实践中,第一个标准只用于特殊情况,而选择的磁化电感可作为变压器尺寸、峰值电流和RHP零点之间很好的折衷。
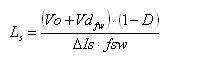
为了通过确定二次侧最大纹波电流来计算一次侧和二次侧电感,可以用下式计算出二次侧电感()和一次侧电感():

式中是开关频率,是允许的二次侧纹波电流,通常设置在约为输出电流有效值的30-50%:

那么,等效一次侧电感可从下式获得:

如前所述,一次侧电感和占空比会影响右半平面零点(RHP)。RHP增加了闭环控制特性的相位滞后,迫使最大穿越频率不超过RHP频率的1/4。
RHP是占空比、负载和电感的函数,可以引发和增加环路增益,同时降低环路相位裕度。通常的做法是确定最差情况的RHPZ频率,并设置环路单位增益频率低于RHPZ的三分之一。
在反激式拓扑结构中,计算RHPZ的公式是:

可以选择一次侧电感来削弱这种不良效果。
图3的曲线显示了一次侧电感对一次侧和二次侧电流和RHP零点的影响:随着电感的增加纹波电流会减小,因此输入/输出纹波电压和电容大小也可能减小。但增加的电感增加了变压器一次侧二次侧绕组数,同时减少了RHP零点。

图3:典型反激式设计的一次侧电感与一次侧和二次侧电流和RHP零点的关系。
常识建议不应使用过大的电感,以免影响整个系统的整体闭环性能和尺寸,还有反激式变压器的损耗。上述图形和公式只有在连续传导模式下的反激式运行才是有效的。
选择功率开关MOSFET并计算其损耗
MOSFET的选择基于最大应力电压、最大峰值输入电流、总功率损耗、最大允许工作温度,以及驱动器的电流驱动能力。MOSFET的源漏击穿(Vds)必须大于:

MOSFET的连续漏电流(Id)必须大于一次侧峰值电流(,公式15)。
除了最大额定电压和最大额定电流,MOSFET的其他三个重要参数是Rds(on)、栅极阈值电压和栅极电容。
开关MOSFET的损耗有三种类型,即导通损耗、开关损耗和栅极电荷损耗:
导通损耗等于损耗,因此在导通状态下源极和漏极之间的总电阻要尽可能的低。
开关损耗等于:开关时间*Vds*I*频率。开关时间、上升时间和下降时间是MOSFET栅漏极米勒电荷Qgd、驱动器内部电阻和阈值电压的函数,最小栅极电压Vgs(th)有助于电流通过MOSFET的漏源极。
栅极电荷损耗是由栅极电容充电,以及随后的每个周期对地放电引起的。栅极电荷损耗等于:频率* Qg(tot)* Vdr
不幸的是,电阻最低的器件往往有较高的栅极电容。
开关损耗也会受栅极电容的影响。如果栅极驱动器对大容量电容充电,则MOSFET需要时间进行线性区提升,则损耗增加。上升时间越快,开关损耗越低。不幸的是,这将导致高频噪声。
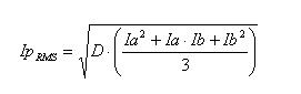
导通损耗不取决于频率,它还取决于和一次侧RMS电流的平方:

在连续传导模式下,反激式运行的一次侧电流看起来像图4上部所示的梯形波形。

图4:换向期间MOSFET两端的电流和电压波形.
Ib等于一次侧峰值电流:

Ia是从以上的公式(5)得出的平均电流,减去一半ΔIp电流为:

那么开关管的RMS电流可从下式得到:

或其迅速接近:

开关损耗()取决于转换期间的电压和电流、开关频率和开关时间,如图4所示。
在导通期间,MOSFET两端的电压为输入电压加反映在一次侧的输出电压,电流等于平均中间抽头(central top)电流减去一半ΔIp:


在关闭过程中,MOSFET两端的电压为输入电压加反映在一次侧绕组的输出电压,再加上用于钳位的齐纳钳位电压和吸收漏感。开关管关断电流为一次侧峰值电流。

开关时间取决于最大栅极驱动电流和MOSFET的总栅极电荷,MOSFET寄生电容是调节MOSFET开关时间的最重要的参数。电容Cgs和Cgd取决于器件的几何尺寸并与漏源极电压成反比。
通常MOSFET制造商没有直接提供这些电容值,但是可以从Ciss、Coss和Crss值获得。
导通开关时间可以使用下列公式用栅极电荷来估计:


式中:
Qgd是栅漏极电荷
Qgs是栅源极电荷
是当驱动电压被拉升至驱动电压时的导通时间驱动电阻
是当驱动电压被下拉至地电压时的内部驱动电阻
是栅源极阈值电压(MOSFET开始导通的栅极电压)
缓冲器:
漏感可以被看作是与变压器的一次侧电感串联的寄生电感,其一次侧电感的一部分没有与二次侧电感相互耦合。当开关MOSFET关闭时,存储在一次侧电感中的能量通过正向偏置二极管移动到二次侧和负载。存储在漏感中的能量没有地方可去,则变成了开关引脚(MOSFET漏极)上巨大的电压尖峰。漏感可以通过短路二次侧绕组来进行测量,而一次侧电感的测量通常由变压器制造商给出。
耗散漏感能量的一种常用方法是通过一个与一次侧绕组并联的齐纳二极管来阻断与之串联的二极管实现的,如图5所示。
漏感能量必须通过一个外部钳位缓冲器来耗散:

图5:齐纳钳位电路

齐纳电压应低于开关MOSFET的最大漏源电压减去最大输入电压,但要高到足以能够在很短的时间内耗散这一能量才可以。
齐纳二极管的最大功率损耗为:

反激式设计资源:
为了支持反激式设计,美国国家半导体(编者注:现已被TI收购)开发了特别适合反激式应用的一系列PWM稳压器和控制器。在其公司网站(www.power.national.com)上就可以找到典型的反激式参考设计、应用注解和在线仿真工具,可以引导设计人员很好的优化反激式电源设计。
图6显示了一个采用LM5000稳压器的典型5W反激式电源,它是用WEBENCH(r) 仿真的,其输入电压变化范围从10至35V,1A时的输出电压等于5V。该设计遵循上述过程,Coilcraft变压器的一次侧与二次侧匝数比等于3,一次侧电感为80μH,可确保良好的稳压输出电压,最大限度地将一次侧峰值电流降至1.3A以下,也使内部开关MOSFET两端的最大电压低于60V。80μF的一次侧电感保证了二次侧纹波电流峰-峰值在平均电流的30%以内,同时保持20kHz以上的右半平面零点。

图6:采用WEBENCH在线仿真工具的典型5W反激式设计
WEBENCH是网上设计工具,用四个简单步骤即可完成实现一个完整的开关电源设计。图7和图8显示了用WEBENCH设计获得的波特图和开关波形。

图7-8:输出电压和开关引脚的波特图和开关波形
反激式是最为广泛采用的隔离式电源拓扑结构,因为它可以用一个低边开关晶体管和有限的外部元件数提供多个隔离输出。不过,反激式电源也存在一些特殊性,如果设计人员没有充分理解并对其进行分析,就可能限制它的整体表现。
针对这种拓扑结构的系列文章将以非常简单的数学方法揭去所有反激式电源设计的神秘面纱,指导设计人员完成一个良好优化的设计。
反激式转换器
根据应用的不同,直流-直流应用(DC/DC应用)可能需要多个输出,而且需要输出隔离。此外,输入与输出的隔离可能需要符合安全标准或提供阻抗匹配。
隔离式电源不仅可以防止用户接触到潜在的致命电压和电流,而且具有性能优势。利用中断接地回路,隔离式电源可以保持仪器精度,并可以在不牺牲总线益处的条件下很容易通过负电源总线提供正稳压电压。
对设计人员来说,反激式拓扑结构历来是输出功率100W以下的电源隔离式转换器的首选。这种拓扑结构只需要一个磁性元件和一个输出整流管,因而具有简单和低成本的优势,同时它也可以轻松实现多路输出。
而反激式拓扑结构的缺点是:它需要一个高容值的输出电容,功率开关管和输出二极管的电流应力较高,气隙区涡流损耗较高,变压器铁芯较大以及可能存在的EMI问题。
反激式转换器源于降压-升压拓扑结构,其主要缺点是:只有在开关MOSFET导通时间内,该转换器才从源极收集能量。在后来的关断期间,来自一次侧绕组的这种能量从电感传递到输出端。这是反激式和降压-升压拓扑结构的独特特点。(图1)

图1:运行在连续传导模式下的典型反激式电源

图2:典型反激式转换器的利用因数与占空比的关系,最大化利用因数的占空比为30-40%。
一次侧电流和二次侧电流同时流过时,反激式变压器并不像传统变压器那样正常工作,实际上只有一小部分能量(磁化能量)被存储在变压器中。反激式变压器更像是同一铁芯上的多个电感器,而非一个典型的变压器。理想的情况是,变压器并不存储能量,所有的能量都在瞬间从一次侧转移到二次侧。
反激式变压器可用作储能装置,能量存储在铁芯的气隙或坡莫合金粉芯的分布式气隙当中。
电感变压器的设计应尽量减少漏感、交流绕组损耗和磁芯损耗。
漏感是一次侧电感的一部分,未与二次侧电感相互耦合。保持尽可能低的漏感十分重要,因为它会降低变压器的效率,还会导致开关器件的漏极出现尖峰。漏感可被看作为存储在变压器中的部分能量,它不会转移到二次侧和负载。这种能量需要通过一个外部缓冲器在一次侧耗散掉。
缓冲器的配置将在后面予以讨论。
当MOSFET开启且电压施加在一次侧绕组时,一次侧电流线性上升。输入电流的变化是由输入电压、变压器一次侧电感和导通时间决定的。在这段时间内,能量被存储在变压器铁芯中,输出二极管D1被反向偏置,能量不会转移到输出负载。
当MOSFET关闭时,磁场开始下降,颠倒了一次侧和二次侧绕组之间的极性。D1被正向偏置,能量转移到负载。
断续传导模式与连续传导模式:
反激式转换器像任何其他的拓扑结构一样有两种不同的工作模式——断续模式和连续模式。当输出电流的增加超过一定值时,断续模式设计的电路将转为连续模式。在断续模式下,导通时间内存储在一次侧的所有能量都会于下一周期开始之前完全转移到二次侧和负载;而且,在二次电流达到零值和下一个周期开始间的瞬间还会有死区时间。在连续模式下,当下一个周期开始时,仍会有一些能量留在二次侧。反激式转换器可以在两种模式下运行,但它具有不同的特征。
断续模式 一方面具有较高的峰值电流,因此在关断时有较高的输出电压尖峰。另一方面,它具有更快的负载瞬态响应,一次侧电感较低,因此变压器尺寸可以较小。二极管的反向恢复时间并不重要,因为在反向电压施加之前正向电流为零。在断续模式下,晶体管的开启随零集电极电流出现,降低了传导EMI的噪声。
连续模式 具有较低的峰值电流,并因此降低了输出电压尖峰。不幸的是,由于它的右半平面(RHP)零点迫使转换器的总带宽降低,所以其控制回路比较复杂。由于连续传导模式对大多数应用而言是更加的选择,因此以上仅对该模式进行了更多的细节分析。
确定反激式变压器:绕组匝数比及其电感
设计人员不得不处理的第一个难题就是确定反激式变压器。通常他们可以从反激式电源变压器标准目录中进行选择,而无需更昂贵的定制变压器。许多供应商都可以针对不同应用和功率大小提供完整系列的变压器,但重要的是要了解如何选择最合适的变压器。
除了二次侧绕组的功率大小和匝数,变压器还可根据一次侧/二次侧绕组匝数比,以及一次侧或二次侧电感来分类。
如果忽略开关MOSFET和输出整流二极管两端压降的影响,在稳态运行条件下,导通时间()的伏*秒应该等于关断期间()伏*秒:

式中:
Vin 是输入电压
Vout 是输出电压
Nps 是反激式变压器的一次侧匝数/二次侧匝数匝比
那么,最大占空比的数匝比和最小输入输出电压之间的直接关系是:

其中D为占空比:/开关周期。
在许多情况下,选定的最大占空比为50%,但是在宽输入电压范围的应用中,重要的是要了解如何优化以下关系:最大占空比、变压器匝比、峰值电流和额定电压。
反激式拓扑结构的主要优点之一是可以在占空比大于50%的条件下工作。最大占空比的增加降低了变压器一次侧的峰值电流,从而达到一次侧铜变压器更高利用系数的效果,并降低输入源的纹波。同时,最大占空比的增加可增加主开关MOSFET漏源极之间的最大应力电压,并增加二次侧的峰值电流。
在开始转换器设计之前,重要的是要了解最大占空比、变压器一次侧/二次侧匝数比(Np/Ns)、一次侧MOSFET的最大电压应力、一次侧和二次侧最大电流之间的关系。
公式(2)给出了输出电压Vo和输入电压Vi(因为其简单性没有考虑Q1和二次侧整流管Q2两端的压降)之间的主要关系。为了确保在整个输入电压范围Vo的稳压,最大占空比可以任意选定一个<1的理论值。
然后可以计算Np/Ns:

由此选出的表示主MOSFET的漏源极之间的最大电压,由公式(4)及公式(5)和(6)给出,分别表示了变压器一次侧和二次侧的平均电流。
式中:
是二次侧整流二极管的正向压降
是传导期间开关MOSFET的压降
是整体电源效率
是最大输出电流
通过最大化占空比的利用系数U(D)函数可以得到最佳占空比:

利用系数(Ui)是用输出功率除以二次侧开关MOSFET和整流二极管的总最大应力之和得出的。
图中的两条曲线显示了只考虑开关MOSFET应力(蓝色虚线)计算出来的利用系数,以及考虑了二次侧开关MOSFET和整流二极管(红色虚线)的利用系数。
要优化额定输入电压的电源效率,一次侧/二次侧变压器匝比应利用占空比来计算,以使利用系数最大化,其典型值在30-40%之间。
上面的曲线考虑的是有源元件上的理论应力电压。在实践中,更重要的是评估MOSFET最大应力电压和变压器数匝比是怎样随其选择的最大占空比而变化的,并选择一个可以在开关MOSFET的一定最大击穿电压内给出“圆形(round)”匝数比值的值。
确定一次侧电感
选择一次侧和二次侧电感有几个标准。
第一,选择可以确保从满载到某些最小负载均在连续模式运行的一次侧电感。
第二,通过确定最大二次侧纹波电流来计算一次侧和二次侧电感。
第三,计算一次侧电感,以保持尽可能高的右半平面零点(RHP),从而最大限度地提高闭环穿越频率。
在实践中,第一个标准只用于特殊情况,而选择的磁化电感可作为变压器尺寸、峰值电流和RHP零点之间很好的折衷。
为了通过确定二次侧最大纹波电流来计算一次侧和二次侧电感,可以用下式计算出二次侧电感()和一次侧电感():

式中是开关频率,是允许的二次侧纹波电流,通常设置在约为输出电流有效值的30-50%:

那么,等效一次侧电感可从下式获得:

如前所述,一次侧电感和占空比会影响右半平面零点(RHP)。RHP增加了闭环控制特性的相位滞后,迫使最大穿越频率不超过RHP频率的1/4。
RHP是占空比、负载和电感的函数,可以引发和增加环路增益,同时降低环路相位裕度。通常的做法是确定最差情况的RHPZ频率,并设置环路单位增益频率低于RHPZ的三分之一。
在反激式拓扑结构中,计算RHPZ的公式是:

可以选择一次侧电感来削弱这种不良效果。
图3的曲线显示了一次侧电感对一次侧和二次侧电流和RHP零点的影响:随着电感的增加纹波电流会减小,因此输入/输出纹波电压和电容大小也可能减小。但增加的电感增加了变压器一次侧二次侧绕组数,同时减少了RHP零点。

图3:典型反激式设计的一次侧电感与一次侧和二次侧电流和RHP零点的关系。
常识建议不应使用过大的电感,以免影响整个系统的整体闭环性能和尺寸,还有反激式变压器的损耗。上述图形和公式只有在连续传导模式下的反激式运行才是有效的。
选择功率开关MOSFET并计算其损耗
MOSFET的选择基于最大应力电压、最大峰值输入电流、总功率损耗、最大允许工作温度,以及驱动器的电流驱动能力。MOSFET的源漏击穿(Vds)必须大于:

MOSFET的连续漏电流(Id)必须大于一次侧峰值电流(,公式15)。
除了最大额定电压和最大额定电流,MOSFET的其他三个重要参数是Rds(on)、栅极阈值电压和栅极电容。
开关MOSFET的损耗有三种类型,即导通损耗、开关损耗和栅极电荷损耗:
导通损耗等于损耗,因此在导通状态下源极和漏极之间的总电阻要尽可能的低。
开关损耗等于:开关时间*Vds*I*频率。开关时间、上升时间和下降时间是MOSFET栅漏极米勒电荷Qgd、驱动器内部电阻和阈值电压的函数,最小栅极电压Vgs(th)有助于电流通过MOSFET的漏源极。
栅极电荷损耗是由栅极电容充电,以及随后的每个周期对地放电引起的。栅极电荷损耗等于:频率* Qg(tot)* Vdr
不幸的是,电阻最低的器件往往有较高的栅极电容。
开关损耗也会受栅极电容的影响。如果栅极驱动器对大容量电容充电,则MOSFET需要时间进行线性区提升,则损耗增加。上升时间越快,开关损耗越低。不幸的是,这将导致高频噪声。
导通损耗不取决于频率,它还取决于和一次侧RMS电流的平方:

在连续传导模式下,反激式运行的一次侧电流看起来像图4上部所示的梯形波形。

图4:换向期间MOSFET两端的电流和电压波形.
Ib等于一次侧峰值电流:

Ia是从以上的公式(5)得出的平均电流,减去一半ΔIp电流为:

那么开关管的RMS电流可从下式得到:

或其迅速接近:

开关损耗()取决于转换期间的电压和电流、开关频率和开关时间,如图4所示。
在导通期间,MOSFET两端的电压为输入电压加反映在一次侧的输出电压,电流等于平均中间抽头(central top)电流减去一半ΔIp:


在关闭过程中,MOSFET两端的电压为输入电压加反映在一次侧绕组的输出电压,再加上用于钳位的齐纳钳位电压和吸收漏感。开关管关断电流为一次侧峰值电流。

开关时间取决于最大栅极驱动电流和MOSFET的总栅极电荷,MOSFET寄生电容是调节MOSFET开关时间的最重要的参数。电容Cgs和Cgd取决于器件的几何尺寸并与漏源极电压成反比。
通常MOSFET制造商没有直接提供这些电容值,但是可以从Ciss、Coss和Crss值获得。
导通开关时间可以使用下列公式用栅极电荷来估计:


式中:
Qgd是栅漏极电荷
Qgs是栅源极电荷
是当驱动电压被拉升至驱动电压时的导通时间驱动电阻
是当驱动电压被下拉至地电压时的内部驱动电阻
是栅源极阈值电压(MOSFET开始导通的栅极电压)
缓冲器:
漏感可以被看作是与变压器的一次侧电感串联的寄生电感,其一次侧电感的一部分没有与二次侧电感相互耦合。当开关MOSFET关闭时,存储在一次侧电感中的能量通过正向偏置二极管移动到二次侧和负载。存储在漏感中的能量没有地方可去,则变成了开关引脚(MOSFET漏极)上巨大的电压尖峰。漏感可以通过短路二次侧绕组来进行测量,而一次侧电感的测量通常由变压器制造商给出。
耗散漏感能量的一种常用方法是通过一个与一次侧绕组并联的齐纳二极管来阻断与之串联的二极管实现的,如图5所示。
漏感能量必须通过一个外部钳位缓冲器来耗散:

图5:齐纳钳位电路

齐纳电压应低于开关MOSFET的最大漏源电压减去最大输入电压,但要高到足以能够在很短的时间内耗散这一能量才可以。
齐纳二极管的最大功率损耗为:

反激式设计资源:
为了支持反激式设计,美国国家半导体(编者注:现已被TI收购)开发了特别适合反激式应用的一系列PWM稳压器和控制器。在其公司网站(www.power.national.com)上就可以找到典型的反激式参考设计、应用注解和在线仿真工具,可以引导设计人员很好的优化反激式电源设计。
图6显示了一个采用LM5000稳压器的典型5W反激式电源,它是用WEBENCH(r) 仿真的,其输入电压变化范围从10至35V,1A时的输出电压等于5V。该设计遵循上述过程,Coilcraft变压器的一次侧与二次侧匝数比等于3,一次侧电感为80μH,可确保良好的稳压输出电压,最大限度地将一次侧峰值电流降至1.3A以下,也使内部开关MOSFET两端的最大电压低于60V。80μF的一次侧电感保证了二次侧纹波电流峰-峰值在平均电流的30%以内,同时保持20kHz以上的右半平面零点。

图6:采用WEBENCH在线仿真工具的典型5W反激式设计
WEBENCH是网上设计工具,用四个简单步骤即可完成实现一个完整的开关电源设计。图7和图8显示了用WEBENCH设计获得的波特图和开关波形。

图7-8:输出电压和开关引脚的波特图和开关波形
射频工程师养成培训教程套装,助您快速成为一名优秀射频工程师...
天线设计工程师培训课程套装,资深专家授课,让天线设计不再难...
上一篇:LED死灯多种原因分析
工程师必看
下一篇:线性电源与开断电源的区别
射频和天线工程师培训课程详情>>

