- 易迪拓培训,专注于微波、射频、天线设计工程师的培养
滤波扼流圈设计方法
录入:edatop.com 点击:
在电子设备中,将交流电经整流后得到脉动直流电,为了获得平滑的直流电流,必须采用电容滤波或电感滤波,以减少整流后的纹波电压,虽然许多小功率的整流电路,只需在整流后并联上一只大容量的电解电容器,即可满足要求。但对直流负载功率达几百瓦的整流电路,单靠电容器滤波是不够的,因为加大电容器的容量,它的体积也要增大,另外,当负载电流变化时,直流电压的波动也会增大,输出特性变差。如果在整流后采用一个滤波扼流圈,与电容器配合接成π形滤波电路,或者接成倒L形滤波电路,那么,滤波效果要好得多了,见图1所示。

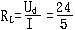
如何确定滤波扼流圈的电感量 L?在图1中,先计算负载电阻

的阻值:

(Ω)
那么,滤波扼流圈的电感量L可以根据负载电阻

的大小,按下式计算电感量L:

(亨)
当电源频率f=50Hz时,则

(亨)
例如: 经整流、滤波后的负载电压为24V,直流电流I为5A。此时负载电阻

=4.8Ω。那么要求滤波扼流圈的电感量L:

即电感量为5毫亨,直流电流为5A。
由于在滤波扼流圈中通过的是脉动直流电流,其中主要的是直流成分,也有少量的交流成分,即在交直流同时磁化下工作的。因此在铁芯中产生很强的直流磁通,甚至使铁芯中的磁通达到饱和状态。制造这样的扼流圈,在铁芯的磁路中都留有一定的空气隙lg以防止直流磁通的饱和。滤波扼流圈的铁芯体积V、线圈匝数N和空气隙lg,是由三个有相互关系的电气参数,即:电感量L、直流磁化电流I和线圈两端的交流的电压U"而决定的。
滤波扼流圈的匝数、和通过的直流电流,因而在铁芯中产生直流磁通,同时在直流电流中还含有纹波电压,因此在铁芯中也含有一部分交变的磁通,它叠加在直流磁通上,见图2所示。

滤波扼流圈的磁路是由铁芯的磁路长度

和空气隙lg两部分组成。虽然磁路长度

极大于空气隙lg,但这两部分是不能直接相加的。因为这两部分的导磁率μ是不同的,在空气隙中的导磁率是1,而在铁芯中的导磁率视铁芯的饱和程度而定。磁路中有空气隙的,其有效导磁率μe一般在100" 1000。
在铁芯中的导磁率与空气隙中的导磁率两者比值极大,而空气隙对磁通的阻力很大。所以某个滤波扼流圈,当通过的直流磁化电流变动时,而电感量的变化很小,那么这种扼流圈称为线性扼流圈。
假如磁路中的空气隙lg很小,当直流磁化电流变动时,使电感量也引起变动,如通过的直流电流变小时,电感量L增大,当通过直流电流增大时,电感量L减小,(如音频乙类功率放大电路)。这种扼流圈则称为非线性扼流圈,又叫做摇摆扼流圈。 滤波扼流圈铁芯体积V的大小,与

的乘积成正比例,所以设计时,先要按表一选定某一型号的铁芯,并求出

的比值,再从图3的曲线上求得

的对应值,此时即可计算绕组匝数N:

(匝)
导线直径d也根据表一提供的电流密度J进行计算:

(mm)
现举例设计一个10mH、5Ad.c.的滤波扼流圈,用于50Hz整流电路上,电压降不大于1.5V。
计算步序:
1.计算


=0.01x

=0.25
在图3的中部区间内。
2.按表1选择铁芯,并计算

选择EI26×28,铁芯体积V=108

代入下式:

然后在图3的纵座标上,找到23×

,并找到对应的H值为40。

3.计算线圈匝数
因为H=

=40
所以N=

=125圈
4.计算导线直径d

=1.35 mm
按线规表选择 QE-1.32 漆包线。
5.表一中所列的铁芯系列,是变压器厂常用的规格,一般都配有塑料骨架,本例中QE-1.32漆包线绕125圈,正好能绕在EI-26×28的骨架上,线圈厚度为10mm。
6.平均匝长lo
lo=2×(29+31)+10π=151 mm
7.导线总长L
L=Nlo=125×0.151=18.9m
8.直流电阻R20℃

9.电压降Ur
Ur=I

=5×0.242=1.21V
此电压降Ur接近并小于预定值1.5V,比较合适。如果计算Ur值大于预定值。则应重选大一号的铁芯。减少圈数,增大导线直径。如果客户对Ur未提出要求。也应以表一提供的电流密度J计算导线直径,若设计时J取得偏高,则导线偏细,线包温升就会偏高。
10.空气隙lg
在图3的曲线上,本例计算正好在两个点0.004"0.005之间,可取0.0045

=lg,由于EI型铁芯磁路中要遇到两个空气隙,所以计算空气隙时应除以2lg=

=0.35mm
即在装配铁芯时,在EI型铁芯之间垫以0.35mm厚的绝缘纸板,由于铁芯材质不同,导磁率也有高低,在测试时,可调整空气隙的大小,以达到需要的电感量。

现将EI16×24铁芯滤波扼流圈参数列于表二、EI26×28铁芯滤波扼流圈参数列于表三中,供设计时参考。



如何确定滤波扼流圈的电感量 L?在图1中,先计算负载电阻

的阻值:

(Ω)
那么,滤波扼流圈的电感量L可以根据负载电阻

的大小,按下式计算电感量L:

(亨)
当电源频率f=50Hz时,则

(亨)
例如: 经整流、滤波后的负载电压为24V,直流电流I为5A。此时负载电阻

=4.8Ω。那么要求滤波扼流圈的电感量L:

即电感量为5毫亨,直流电流为5A。
由于在滤波扼流圈中通过的是脉动直流电流,其中主要的是直流成分,也有少量的交流成分,即在交直流同时磁化下工作的。因此在铁芯中产生很强的直流磁通,甚至使铁芯中的磁通达到饱和状态。制造这样的扼流圈,在铁芯的磁路中都留有一定的空气隙lg以防止直流磁通的饱和。滤波扼流圈的铁芯体积V、线圈匝数N和空气隙lg,是由三个有相互关系的电气参数,即:电感量L、直流磁化电流I和线圈两端的交流的电压U"而决定的。
滤波扼流圈的匝数、和通过的直流电流,因而在铁芯中产生直流磁通,同时在直流电流中还含有纹波电压,因此在铁芯中也含有一部分交变的磁通,它叠加在直流磁通上,见图2所示。

滤波扼流圈的磁路是由铁芯的磁路长度

和空气隙lg两部分组成。虽然磁路长度

极大于空气隙lg,但这两部分是不能直接相加的。因为这两部分的导磁率μ是不同的,在空气隙中的导磁率是1,而在铁芯中的导磁率视铁芯的饱和程度而定。磁路中有空气隙的,其有效导磁率μe一般在100" 1000。
在铁芯中的导磁率与空气隙中的导磁率两者比值极大,而空气隙对磁通的阻力很大。所以某个滤波扼流圈,当通过的直流磁化电流变动时,而电感量的变化很小,那么这种扼流圈称为线性扼流圈。
假如磁路中的空气隙lg很小,当直流磁化电流变动时,使电感量也引起变动,如通过的直流电流变小时,电感量L增大,当通过直流电流增大时,电感量L减小,(如音频乙类功率放大电路)。这种扼流圈则称为非线性扼流圈,又叫做摇摆扼流圈。 滤波扼流圈铁芯体积V的大小,与

的乘积成正比例,所以设计时,先要按表一选定某一型号的铁芯,并求出

的比值,再从图3的曲线上求得

的对应值,此时即可计算绕组匝数N:

(匝)
导线直径d也根据表一提供的电流密度J进行计算:

(mm)
现举例设计一个10mH、5Ad.c.的滤波扼流圈,用于50Hz整流电路上,电压降不大于1.5V。
计算步序:
1.计算


=0.01x

=0.25
在图3的中部区间内。
2.按表1选择铁芯,并计算

选择EI26×28,铁芯体积V=108

代入下式:

然后在图3的纵座标上,找到23×

,并找到对应的H值为40。

3.计算线圈匝数
因为H=

=40
所以N=

=125圈
4.计算导线直径d

=1.35 mm
按线规表选择 QE-1.32 漆包线。
5.表一中所列的铁芯系列,是变压器厂常用的规格,一般都配有塑料骨架,本例中QE-1.32漆包线绕125圈,正好能绕在EI-26×28的骨架上,线圈厚度为10mm。
6.平均匝长lo
lo=2×(29+31)+10π=151 mm
7.导线总长L
L=Nlo=125×0.151=18.9m
8.直流电阻R20℃

9.电压降Ur
Ur=I

=5×0.242=1.21V
此电压降Ur接近并小于预定值1.5V,比较合适。如果计算Ur值大于预定值。则应重选大一号的铁芯。减少圈数,增大导线直径。如果客户对Ur未提出要求。也应以表一提供的电流密度J计算导线直径,若设计时J取得偏高,则导线偏细,线包温升就会偏高。
10.空气隙lg
在图3的曲线上,本例计算正好在两个点0.004"0.005之间,可取0.0045

=lg,由于EI型铁芯磁路中要遇到两个空气隙,所以计算空气隙时应除以2lg=

=0.35mm
即在装配铁芯时,在EI型铁芯之间垫以0.35mm厚的绝缘纸板,由于铁芯材质不同,导磁率也有高低,在测试时,可调整空气隙的大小,以达到需要的电感量。

现将EI16×24铁芯滤波扼流圈参数列于表二、EI26×28铁芯滤波扼流圈参数列于表三中,供设计时参考。


射频工程师养成培训教程套装,助您快速成为一名优秀射频工程师...
射频和天线工程师培训课程详情>>

