- 易迪拓培训,专注于微波、射频、天线设计工程师的培养
电源层和接地层电容
多层PCB通常包括一对或多对电压和接地层。电源层的功能等同于一个低电感的电容器,能够约束在元件和信道上产生的RF电容。机壳一般会有多个接地点连接到接地层,有助于减小板子的机壳和板间、板中的电压梯度。电压梯度是共模射频场的主要来源,也是机壳到地的射频电源的来源。
和电容一样,电源和接地层也有非常小的等效引线长度电感,但没有ESR。不过在多数层板中,两个部件间的最大板间电感远远小于1nH。
板间电容的理论计算公式为

其中,ε0=8.85pF/m为自由空间介电常数;εr为充满电源平面和地平面之间介质的相对介电常数;A为电源平面和地平面重叠部分的面积;d为电源平面和地平面之间的距离。
实际的电容值通常小于这个计算值。一般地,网络分析、数学计算或模拟实验将给出电源层的实际电感值,还可以定出全部电路层的阻抗值及潜在自谐振频率。
因为在多层PCB中通常是用分立的去耦电容,所以必须考虑慢边缘速率在低频时电容器的值,通常这个频率范围小于25 MHz。
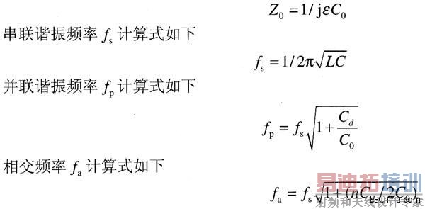
在图所示中,“裸板”的阻抗非常接近理想去耦电容器的阻抗,理想去耦电容器为只有纯电容,没有附加电感和电阻的电容器。理想阻抗的计算式为
串联谐振频率夭计算式如下并联谐振频率几计算式如下
其中,n等于分立电容器数目;Gd是分立电容器电容;气是电源层的接地层结构的电容值。
当频率高于fa,附加的n个分立去耦电容不能带来附加的好处,这是因为裸板的阻抗远远小于有独立电容器负载时的阻抗。当接近负载板极点频率(并联共振)时,负载板阻抗的值异常高,负载板的去耦性能比无负载(没有附加分立去耦电容器)时差很多。分析结果清楚地表明,减小去耦电容器连线的串联电感是获得在宽频范围内理想性能的关键。

图 具有分立电容的电源和接地层的去耦效果
在式(5-4)、式(5-5)和式(5-6)中,并联谐振对应于极点,串联谐振对应于零点。当提供多个电容器时,极点和零点将交替出现。因此,在每一对串联谐振频率之间都有一个并联谐振。两个串联谐振间总存在一个并联谐振点。
射频工程师养成培训教程套装,助您快速成为一名优秀射频工程师...

