- 易迪拓培训,专注于微波、射频、天线设计工程师的培养
用于功率开关的电阻-电容(RC)缓冲电路设计
录入:edatop.com 点击:
功率开关是所有功率转换器的核心组件。功率开关的工作性能直接决定了产品的可靠性和效率。若要提升功率转换器开关电路的性能,可在功率开关上部署缓冲器,抑制电压尖峰,并减幅开关断开时电路电感产生的振铃。正确设计缓冲器可提升可靠性和效率,并降低EMI。在各种不同类型的缓冲器中,电阻电容(RC)缓冲器是最受欢迎的缓冲器电路。本文介绍功率开关为何需要使用缓冲器。此外还提供一些实用小技巧,助您实现最优缓冲器设计。

图1: 四种基本的功率开关电路
有多种不同的拓扑用于功率转换器、电机驱动器和电灯镇流器中。图1显示四种基本的功率开关电路。在所有四种基本电路中——事实上在大部分功率开关电路中——蓝线以内表示的是同样的开关二极管电感网络。该网络在所有这些电路中均具有相同的特性。因此,可利用图2中的简化电路进行开关瞬变时针对功率开关的开关性能分析。由于开关瞬变期间,电感电流几乎不变,因此采用电流源代替电感,如图所示。该电路的理想电压和电流开关波形同样如图2所示。

图2 简化的功率开关电路及其理想开关波形
MOSFET开关关断时,它两端的电压将上升。然而,电流IL将继续流过MOSFET,直到开关电压到达Vol。二极管导通后,电流IL开始下降。MOSFET开关导通时,情况相反,如图所示。这类开关称为“硬开关”。开关瞬变期间,必须同时支持最大电压和最大电流。因此,这种“硬开关”会使MOSFET开关承受高电压应力。

图3 MOSFET开关关断瞬变时的电压过冲
在实际电路中,开关应力要高得多,因为存在寄生电感(Lp)和寄生电容(Cp),如图4所示。由于PCB布局与走线,Cp包含开关输出电容和杂散电容。Lp包含PCB路由寄生电感和MOSFET引线电感。这些来自功率器件的寄生电感和电容组成滤波器,并在关断瞬变发生后立即产生谐振,从而将过量电压振铃叠加到器件上,如图3所示。若要抑制峰值电压,可在开关上部署一个典型RC缓冲器,如图4所示。电阻值必须接近需减幅的寄生谐振阻抗值。缓冲器电容必须大于谐振电路电容,同时又必须足够小,以便将电阻功耗保持在最低水平。

图4: 电阻电容缓冲器配置
如果功耗并非关键因素,那么有一种方法可以快速设计RC缓冲器。由经验可知,选择缓冲器电容Csnub,使其等于开关输出电容值与安装电容估算值之和的两倍。选择缓冲器电阻Rsnub ,所以:

Rsnub上的功耗可估算如下(给定开关频率fs):

当这一简单的经验设计不再限制峰值电压时,便可执行优化步骤。
优化RC缓冲器: 在那些功率损耗很重要的应用中,应当采用优化设计。
首先,测量MOSFET开关节点(SW)在关断时的振铃频率(Fring)。在MOSFET上焊接一个100 pF低ESR薄膜电容。增加电容,直到振铃频率为初始测量值的一半。现在,由于振铃频率与电路电感和电容乘积的平方根成反比,开关总输出电容(增加的电容与初始寄生电容之和)增加四倍。因此,寄生电容Cp为外部所增加电容值的1/3。现在,式通过下可获得寄生电感Lp:

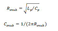
一旦求出寄生电感Lp和寄生电容Cp,缓冲器电阻Rsnub和电容Csnub便可根据下列计算进行选择。

如果发现缓冲器电阻值过低,可对其进一步微调以降低振铃。
Rsnub上的功耗(给定开关频率fs)等于。

图1: 四种基本的功率开关电路
有多种不同的拓扑用于功率转换器、电机驱动器和电灯镇流器中。图1显示四种基本的功率开关电路。在所有四种基本电路中——事实上在大部分功率开关电路中——蓝线以内表示的是同样的开关二极管电感网络。该网络在所有这些电路中均具有相同的特性。因此,可利用图2中的简化电路进行开关瞬变时针对功率开关的开关性能分析。由于开关瞬变期间,电感电流几乎不变,因此采用电流源代替电感,如图所示。该电路的理想电压和电流开关波形同样如图2所示。

图2 简化的功率开关电路及其理想开关波形
MOSFET开关关断时,它两端的电压将上升。然而,电流IL将继续流过MOSFET,直到开关电压到达Vol。二极管导通后,电流IL开始下降。MOSFET开关导通时,情况相反,如图所示。这类开关称为“硬开关”。开关瞬变期间,必须同时支持最大电压和最大电流。因此,这种“硬开关”会使MOSFET开关承受高电压应力。

图3 MOSFET开关关断瞬变时的电压过冲
在实际电路中,开关应力要高得多,因为存在寄生电感(Lp)和寄生电容(Cp),如图4所示。由于PCB布局与走线,Cp包含开关输出电容和杂散电容。Lp包含PCB路由寄生电感和MOSFET引线电感。这些来自功率器件的寄生电感和电容组成滤波器,并在关断瞬变发生后立即产生谐振,从而将过量电压振铃叠加到器件上,如图3所示。若要抑制峰值电压,可在开关上部署一个典型RC缓冲器,如图4所示。电阻值必须接近需减幅的寄生谐振阻抗值。缓冲器电容必须大于谐振电路电容,同时又必须足够小,以便将电阻功耗保持在最低水平。

图4: 电阻电容缓冲器配置
如果功耗并非关键因素,那么有一种方法可以快速设计RC缓冲器。由经验可知,选择缓冲器电容Csnub,使其等于开关输出电容值与安装电容估算值之和的两倍。选择缓冲器电阻Rsnub ,所以:

Rsnub上的功耗可估算如下(给定开关频率fs):

当这一简单的经验设计不再限制峰值电压时,便可执行优化步骤。
优化RC缓冲器: 在那些功率损耗很重要的应用中,应当采用优化设计。
首先,测量MOSFET开关节点(SW)在关断时的振铃频率(Fring)。在MOSFET上焊接一个100 pF低ESR薄膜电容。增加电容,直到振铃频率为初始测量值的一半。现在,由于振铃频率与电路电感和电容乘积的平方根成反比,开关总输出电容(增加的电容与初始寄生电容之和)增加四倍。因此,寄生电容Cp为外部所增加电容值的1/3。现在,式通过下可获得寄生电感Lp:

一旦求出寄生电感Lp和寄生电容Cp,缓冲器电阻Rsnub和电容Csnub便可根据下列计算进行选择。

如果发现缓冲器电阻值过低,可对其进一步微调以降低振铃。
Rsnub上的功耗(给定开关频率fs)等于。
射频工程师养成培训教程套装,助您快速成为一名优秀射频工程师...
天线设计工程师培训课程套装,资深专家授课,让天线设计不再难...
上一篇:电容引脚断裂失效的机理和解决方法
下一篇:元器件选型之安规电容篇
射频和天线工程师培训课程详情>>

