- 易迪拓培训,专注于微波、射频、天线设计工程师的培养
用不到5秒的时间设计出输出阻抗完全平坦的电压调节器模块
录入:edatop.com 点击:
任何涉及电源完整性的讨论都会把大量重点放在目标阻抗和平坦阻抗要求概念上。但我们怎样才能设计出具有平坦阻抗特性的电压调节器模块(VRM)呢?本文除了讨论这个特定问题外,还将介绍如何在不到5s的时间内完成这个设计。
假设你还没有计算要求的目标阻抗值,因为这是这个设计问题中的难点。如果你已经知道设计目标阻抗,那么你很幸运,因为你已进入“不到……”这一步,可以直接到第二步。我知道你很是怀疑,但既然这只是一个5s的设计,我希望你能对我耐心点,你会发现我是认真的。虽然需要花点时间解释这个过程,但最终我会向你展示如何在不到5s的时间内完成整个过程。
使用电流模式或电流模式仿真拓扑可以极大地方便设计过程,而且可以减少控制环路的复杂性。虽然有许多器件可供选择,但本文将TI公司的LM25116作为例子,不仅因为我手头有它的评估板,而且因为这个特殊的评估板只需要最少量的修改就能实现想要的平坦阻抗。LM25116是一种仿真的峰值电流模式控制器,也包含要求的斜率补偿和电流波形斜率。使用一个简单、容易计算的电容就能进行这些功能设定。
这个设计过程只需一次简单的2端口阻抗测量就能验证阻抗的平坦性,当然还有其它多种简单测量方法值得推荐。最终设计在搭建完成后还可以方便地使用片状元件微调阻抗进行优化,本文也对为何有必要做这种微调进行了讨论。
确定目标阻抗
假定你了解VRM的电压和电流要求,那就可以使用典型的目标阻抗计算值确定VRM的输出阻抗。
拿12V输入、3.3V/10A输出VRM要求作为例子,目标阻抗的计算公式是:

这是最大可允许的阻抗。为了允许元件容差,并为开关纹波和动态负载要求提供足够的裕量,目标阻抗一般被设定得低得多。最差情况分析确保不会超过最大值。在这个例子中,标称的设计目标阻抗被设为14mΩ,部分原因是为了尽量减少对评估板的修改,因为这个修改有些难度。
最关键的步骤
至此我们已经完成了大半的电压调节器模块(VRM)设计,还需要一次计算来确定基本的VRM特性——跨导。电流模式转换器是最简单的实现方式,因为它能被表示为跨导方块。VRM的输出阻抗与跨导(Gfs)直接相关,关系式是:

因为我们已知目标阻抗,所以可以根据这个公式算出Gfs。

简单的计算可以证明,这个解可以生成无限频率范围内的理想阻抗。图1是仿真原理图,图2是仿真得到的输出阻抗。

图1:70A/V的跨导源与负反馈连接在一起(注意SRC1中的负号)。SRC2是一种交流信号,用于监视与频率有关的输出阻抗。

图2:仿真结果展示了与承诺一样完全平坦的14mΩ阻抗,从而确认了阻抗和跨导之间的关系。
在理想世界中,电压调节器模块(VRM)设计真的就这么简单,到此已经设计完毕。但在现实世界中,存在一些局限和限制因素,需要再多做一些功课来解决。我们可以在几分钟内完成实际的设计,或在几秒内用仿真器自动完成这个设计过程。
实际局限性
应对这些局限性的设计过程非常简单:
1.确定要求的输出阻抗和有效串联电阻(ESR),并选择电容;
2.确定功率级跨导(通常根据电流极限、RDSon或DCR);
3.确定误差放大器增益和极点频率;
4.确定输出电感;
5.确定电流模式仿真设计时的斜坡电容,或标准电流模式控制下的斜率补偿;
6.测量输出阻抗,必要时进行微调。
我们已经确定,VRM要求70的跨导以提供14mΩ的阻抗。第一个问题是控制环路带宽不能是无限的,因此必须限制为一个实际的带宽。为了避免在开关频率附近发生奇怪的行为,该频率的实际限值是开关频率的1/10至1/6。在超出这个带宽时,电容控制阻抗,因此电容的等效串联电阻(ESR)等于目标阻抗,我们这个例子中为14mΩ。
输出电容
开关频率明显是折中的结果,因为更高的开关频率可以导致更小的电容和电感,但也会导致更高的损耗。电容阻抗被设为取得单位增益带宽,因此交越频率点的电容电抗和跨导的乘积必须等于单位1。

由于我们已经确定,跨导是目标阻抗的倒数,因此我们可以将交越频率设在开关频率的1/10和1/6之间。

为了方便起见,保留评估板上已经使用的250kHz设置。由于想要的目标阻抗是14mΩ,所以要求的总电容在270uF和450uF之间,等效串联电阻(ESR)应接近14mΩ。最终我们选择了单个330uF/15mΩ电容(KEMET T520D337M006ATE015)。根据公式3计算交越频率的结果大约为35kHz,正好在开关频率的1/10和1/6之间。
功率级
总跨导是误差放大器增益和功率级跨导的乘积。功率级跨导通常根据确立的电流极限确定。在一些实现中,MOSFET的RDSon或输出电感的DCR被用来检测电流,在这种情况下这些特性定义了功率级跨导。
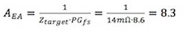
LM25116评估板的功率级跨导由10mΩ的电流检测电阻(R11)和电流检测放大器增益(10)设定,并满足10A的电流极限。最终的功率级跨导等于:

这是测量有好处的地方之一,因为这些低值电流检测电阻并不总是表里如一的。使用四线欧姆表测量到的R11在线电阻约为12mΩ,导致功率级跨导减小为8.3。通过测量作为负载电流函数的误差放大器输出电压可以验证实际的跨导。图3显示了测量结果和拟合的趋势线。注意电流极限由于这个增加的电阻而稍低于10A,但为了方便起见仍保留了这个电阻,因为更换电阻有点困难。

图3:在评估板上测量得到的误差放大器输出电压与输出电流关系。曲线拟合趋势线指示跨导为8.6,接近于用四线欧姆计获得的值。
误差放大器和补偿
在确定功率级跨导和总跨导值后,就可以确定误差放大器增益了:

评估原理图中与误差放大器有关的部分如图4所示。

图4:评估板部分原理图显示必须调整分压器(R3和R4)将输出电压从5V改变到3.3V。另外还有其它多处改变。
为了获得平坦的阻抗特性,要求改变几个元件。具体来说,为了调整5V输出使其在0A时接近3.37V、并在5A的平均电流时输出3.3V,必须改变电阻R3。电容C6要用一个0Ω的电阻短路,因为我们要的不是低频恢复,而是平坦阻抗。C5也可能要求修改,以消除输出电容的ESR产生的零点。
首先,将R3从3.74KΩ改变为2.2KΩ,得到想要的3.37V输出。然后由R10和R3的比值确定误差放大器增益。

由于安装好的R10值非常接近18kΩ,因此可以保持不变。C5的选择原则是利用R3和C5形成的极点抵消输出电容和ESR组成的零点。

由于必须删除原始的100pF电容,我测量到安装C5的空白焊盘处电容为20pF,因此需要安装236pF的电容。最终装上了220pF电容。
输出电感
虽然输出电感并不是影响输出阻抗的主要因素,但使用合适的值也非常重要。电感值与纹波电流之间的关系是:

评估板使用的是6uH的电感,虽然可以减小到4.7uH,但更换起来比较困难。因此这个6uH电感被保留了下来。
模拟的电流模式控制也要求做一个斜坡出来,以便重构电感电流斜率。这个电容就是图4中的C4。
对于LM25116来说,斜坡充电电流是5uA,C4值可以这样计算:
已安装值是220pF,虽然可以安装240pF,但两者已经相当接近,因此保留原样不变。
最终模型和仿真
最终仿真模型可以做到控制环路稳定性、小信号交流阻抗以及大小信号瞬态响应结果的仿真(见图5)。

图5:简化后的状态空间平均模型显示了误差放大器电路、功率级跨导和输出电容。
对原始评估板设计(蓝色)和平坦阻抗设计(红色)仿真得到的阻抗如图6所示。结果阻抗是14mΩ,跟期望的一样相当平坦。

图6:修改后的VRM阻抗仿真显示出非常平坦的响应和1.8nH的超额电感。用于仿真目的的简单VRM模型就是14mΩ加1.8nH。
测量得到的阻抗也相当平坦,均在理想的14mΩ阻抗值附近。低频值可以用电阻R10进行微调,而60kHz附近的少许阻抗峰可以用C5进行微调。在250kHz处的少许凹陷是由于ESR稍小引起的。可以使用ESR稍高一点的电容改善这个范围内的平坦度。这里显示的平坦度对几乎所有电源分配网络(PDN)应用来说都足够了。

图7:双端口阻抗测量结果显示 在14mΩ和1.8nH电感时具有平坦响应。这个电感值是从10MHz时的112mΩ计算得到的。

因此许多信号完整性(SI)仿真器要求的简单L-R模型是13mΩ和1.8nH。减小这个电感的一种方法是并联多个电容。电容的电感值基本上独立于电容值,更多的与外壳尺寸有关。将两个相同系列的150uF 35mΩ电容并联在一起可以将电感值减小到约1nH,如果用100uF 45mΩ的电容则可以得到700pH的电感。而且并联较小的电容成本通常也不高,只是需要占用更多的PCB面积。
一般还要用去耦电容来减小使用点的电感,但这种去耦电路并不是VRM的典型部分。
将网络分析仪端口1的电缆移动到50Ω任意波形发生器(AWG)输出端,将分析仪端口2的电缆移动到50Ω通道示波器输入端,即可将双端口阻抗测量转换到时域进行。图8显示了平均阶跃响应(红色)和开关纹波(黄色)。方形部分确认了平坦的阻抗特性。边缘有点圆是因为ESR有点低造成的(见图8)。

图8:通过将网络分析仪替换为一条AWG电缆和一台示波器就可以得到时域响应。红色代表平均响应,纹波包含在黄色轨迹中。
本文小结
我们成功地通过修改评估板设计产生了想要的14mΩ平坦阻抗。虽然解释这个过程花的时间超过了5s,但这个过程很容易自动化,只需把设计要求作为输入,并允许其它项在仿真器中或使用电子表格自动确定。表1所示的电子表格可以根据设计输入计算每个参数。每个结论都可以被覆盖。举例来说,计算得到的目标阻抗最大值是33mΩ,这也被输入进可以被覆盖的设定目标阻抗单元格。
表1所示的电子表格接受绿色的输入设计参数,然后计算剩余的参数。

表1
最小电容和最大电容限值也是计算出来的,而最终入选值还可供选择,选定值再用于剩下的计算。这些覆盖值也允许其它输入,包括PGFS和输出电感。重要的是,这些决定和选择要按此顺序进行。
备注:这份电子表格将在2016年1月份举行的DesignCon 2016上作为电源完整性训练营的一部分加以提供和解释。
假设你还没有计算要求的目标阻抗值,因为这是这个设计问题中的难点。如果你已经知道设计目标阻抗,那么你很幸运,因为你已进入“不到……”这一步,可以直接到第二步。我知道你很是怀疑,但既然这只是一个5s的设计,我希望你能对我耐心点,你会发现我是认真的。虽然需要花点时间解释这个过程,但最终我会向你展示如何在不到5s的时间内完成整个过程。
使用电流模式或电流模式仿真拓扑可以极大地方便设计过程,而且可以减少控制环路的复杂性。虽然有许多器件可供选择,但本文将TI公司的LM25116作为例子,不仅因为我手头有它的评估板,而且因为这个特殊的评估板只需要最少量的修改就能实现想要的平坦阻抗。LM25116是一种仿真的峰值电流模式控制器,也包含要求的斜率补偿和电流波形斜率。使用一个简单、容易计算的电容就能进行这些功能设定。
这个设计过程只需一次简单的2端口阻抗测量就能验证阻抗的平坦性,当然还有其它多种简单测量方法值得推荐。最终设计在搭建完成后还可以方便地使用片状元件微调阻抗进行优化,本文也对为何有必要做这种微调进行了讨论。
确定目标阻抗
假定你了解VRM的电压和电流要求,那就可以使用典型的目标阻抗计算值确定VRM的输出阻抗。
拿12V输入、3.3V/10A输出VRM要求作为例子,目标阻抗的计算公式是:

这是最大可允许的阻抗。为了允许元件容差,并为开关纹波和动态负载要求提供足够的裕量,目标阻抗一般被设定得低得多。最差情况分析确保不会超过最大值。在这个例子中,标称的设计目标阻抗被设为14mΩ,部分原因是为了尽量减少对评估板的修改,因为这个修改有些难度。
最关键的步骤
至此我们已经完成了大半的电压调节器模块(VRM)设计,还需要一次计算来确定基本的VRM特性——跨导。电流模式转换器是最简单的实现方式,因为它能被表示为跨导方块。VRM的输出阻抗与跨导(Gfs)直接相关,关系式是:

因为我们已知目标阻抗,所以可以根据这个公式算出Gfs。

简单的计算可以证明,这个解可以生成无限频率范围内的理想阻抗。图1是仿真原理图,图2是仿真得到的输出阻抗。

图1:70A/V的跨导源与负反馈连接在一起(注意SRC1中的负号)。SRC2是一种交流信号,用于监视与频率有关的输出阻抗。

图2:仿真结果展示了与承诺一样完全平坦的14mΩ阻抗,从而确认了阻抗和跨导之间的关系。
在理想世界中,电压调节器模块(VRM)设计真的就这么简单,到此已经设计完毕。但在现实世界中,存在一些局限和限制因素,需要再多做一些功课来解决。我们可以在几分钟内完成实际的设计,或在几秒内用仿真器自动完成这个设计过程。
实际局限性
应对这些局限性的设计过程非常简单:
1.确定要求的输出阻抗和有效串联电阻(ESR),并选择电容;
2.确定功率级跨导(通常根据电流极限、RDSon或DCR);
3.确定误差放大器增益和极点频率;
4.确定输出电感;
5.确定电流模式仿真设计时的斜坡电容,或标准电流模式控制下的斜率补偿;
6.测量输出阻抗,必要时进行微调。
我们已经确定,VRM要求70的跨导以提供14mΩ的阻抗。第一个问题是控制环路带宽不能是无限的,因此必须限制为一个实际的带宽。为了避免在开关频率附近发生奇怪的行为,该频率的实际限值是开关频率的1/10至1/6。在超出这个带宽时,电容控制阻抗,因此电容的等效串联电阻(ESR)等于目标阻抗,我们这个例子中为14mΩ。
输出电容
开关频率明显是折中的结果,因为更高的开关频率可以导致更小的电容和电感,但也会导致更高的损耗。电容阻抗被设为取得单位增益带宽,因此交越频率点的电容电抗和跨导的乘积必须等于单位1。

由于我们已经确定,跨导是目标阻抗的倒数,因此我们可以将交越频率设在开关频率的1/10和1/6之间。

为了方便起见,保留评估板上已经使用的250kHz设置。由于想要的目标阻抗是14mΩ,所以要求的总电容在270uF和450uF之间,等效串联电阻(ESR)应接近14mΩ。最终我们选择了单个330uF/15mΩ电容(KEMET T520D337M006ATE015)。根据公式3计算交越频率的结果大约为35kHz,正好在开关频率的1/10和1/6之间。
功率级
总跨导是误差放大器增益和功率级跨导的乘积。功率级跨导通常根据确立的电流极限确定。在一些实现中,MOSFET的RDSon或输出电感的DCR被用来检测电流,在这种情况下这些特性定义了功率级跨导。
LM25116评估板的功率级跨导由10mΩ的电流检测电阻(R11)和电流检测放大器增益(10)设定,并满足10A的电流极限。最终的功率级跨导等于:

这是测量有好处的地方之一,因为这些低值电流检测电阻并不总是表里如一的。使用四线欧姆表测量到的R11在线电阻约为12mΩ,导致功率级跨导减小为8.3。通过测量作为负载电流函数的误差放大器输出电压可以验证实际的跨导。图3显示了测量结果和拟合的趋势线。注意电流极限由于这个增加的电阻而稍低于10A,但为了方便起见仍保留了这个电阻,因为更换电阻有点困难。

图3:在评估板上测量得到的误差放大器输出电压与输出电流关系。曲线拟合趋势线指示跨导为8.6,接近于用四线欧姆计获得的值。
误差放大器和补偿
在确定功率级跨导和总跨导值后,就可以确定误差放大器增益了:

评估原理图中与误差放大器有关的部分如图4所示。

图4:评估板部分原理图显示必须调整分压器(R3和R4)将输出电压从5V改变到3.3V。另外还有其它多处改变。
为了获得平坦的阻抗特性,要求改变几个元件。具体来说,为了调整5V输出使其在0A时接近3.37V、并在5A的平均电流时输出3.3V,必须改变电阻R3。电容C6要用一个0Ω的电阻短路,因为我们要的不是低频恢复,而是平坦阻抗。C5也可能要求修改,以消除输出电容的ESR产生的零点。
首先,将R3从3.74KΩ改变为2.2KΩ,得到想要的3.37V输出。然后由R10和R3的比值确定误差放大器增益。

由于安装好的R10值非常接近18kΩ,因此可以保持不变。C5的选择原则是利用R3和C5形成的极点抵消输出电容和ESR组成的零点。

由于必须删除原始的100pF电容,我测量到安装C5的空白焊盘处电容为20pF,因此需要安装236pF的电容。最终装上了220pF电容。
输出电感
虽然输出电感并不是影响输出阻抗的主要因素,但使用合适的值也非常重要。电感值与纹波电流之间的关系是:

评估板使用的是6uH的电感,虽然可以减小到4.7uH,但更换起来比较困难。因此这个6uH电感被保留了下来。
模拟的电流模式控制也要求做一个斜坡出来,以便重构电感电流斜率。这个电容就是图4中的C4。
对于LM25116来说,斜坡充电电流是5uA,C4值可以这样计算:
已安装值是220pF,虽然可以安装240pF,但两者已经相当接近,因此保留原样不变。
最终模型和仿真
最终仿真模型可以做到控制环路稳定性、小信号交流阻抗以及大小信号瞬态响应结果的仿真(见图5)。

图5:简化后的状态空间平均模型显示了误差放大器电路、功率级跨导和输出电容。
对原始评估板设计(蓝色)和平坦阻抗设计(红色)仿真得到的阻抗如图6所示。结果阻抗是14mΩ,跟期望的一样相当平坦。

图6:修改后的VRM阻抗仿真显示出非常平坦的响应和1.8nH的超额电感。用于仿真目的的简单VRM模型就是14mΩ加1.8nH。
测量得到的阻抗也相当平坦,均在理想的14mΩ阻抗值附近。低频值可以用电阻R10进行微调,而60kHz附近的少许阻抗峰可以用C5进行微调。在250kHz处的少许凹陷是由于ESR稍小引起的。可以使用ESR稍高一点的电容改善这个范围内的平坦度。这里显示的平坦度对几乎所有电源分配网络(PDN)应用来说都足够了。

图7:双端口阻抗测量结果显示 在14mΩ和1.8nH电感时具有平坦响应。这个电感值是从10MHz时的112mΩ计算得到的。

因此许多信号完整性(SI)仿真器要求的简单L-R模型是13mΩ和1.8nH。减小这个电感的一种方法是并联多个电容。电容的电感值基本上独立于电容值,更多的与外壳尺寸有关。将两个相同系列的150uF 35mΩ电容并联在一起可以将电感值减小到约1nH,如果用100uF 45mΩ的电容则可以得到700pH的电感。而且并联较小的电容成本通常也不高,只是需要占用更多的PCB面积。
一般还要用去耦电容来减小使用点的电感,但这种去耦电路并不是VRM的典型部分。
将网络分析仪端口1的电缆移动到50Ω任意波形发生器(AWG)输出端,将分析仪端口2的电缆移动到50Ω通道示波器输入端,即可将双端口阻抗测量转换到时域进行。图8显示了平均阶跃响应(红色)和开关纹波(黄色)。方形部分确认了平坦的阻抗特性。边缘有点圆是因为ESR有点低造成的(见图8)。

图8:通过将网络分析仪替换为一条AWG电缆和一台示波器就可以得到时域响应。红色代表平均响应,纹波包含在黄色轨迹中。
本文小结
我们成功地通过修改评估板设计产生了想要的14mΩ平坦阻抗。虽然解释这个过程花的时间超过了5s,但这个过程很容易自动化,只需把设计要求作为输入,并允许其它项在仿真器中或使用电子表格自动确定。表1所示的电子表格可以根据设计输入计算每个参数。每个结论都可以被覆盖。举例来说,计算得到的目标阻抗最大值是33mΩ,这也被输入进可以被覆盖的设定目标阻抗单元格。
表1所示的电子表格接受绿色的输入设计参数,然后计算剩余的参数。

表1
最小电容和最大电容限值也是计算出来的,而最终入选值还可供选择,选定值再用于剩下的计算。这些覆盖值也允许其它输入,包括PGFS和输出电感。重要的是,这些决定和选择要按此顺序进行。
备注:这份电子表格将在2016年1月份举行的DesignCon 2016上作为电源完整性训练营的一部分加以提供和解释。
射频工程师养成培训教程套装,助您快速成为一名优秀射频工程师...
射频和天线工程师培训课程详情>>

