- 易迪拓培训,专注于微波、射频、天线设计工程师的培养
教你如何正确的为开关电源选择其适合的电感
录入:edatop.com 点击:
电感常为储能元件,也常与电容一起用在输入滤波和输出滤波电路上, 用来平滑电流。电感也被称为扼流圈,特点是流过其上的电流有“很大的惯性”。换句话说,由于磁通连续特性,电感上的电流必须是连续的,否则将会产生很大的 电压尖峰。
电感为磁性元件,自然有磁饱和的问题。有的应用允许电感饱和,有的应用允许电感从一定电流值开始进入饱和, 也有的应用不允许电感出现饱和,这要求在具体线路中进行区分。大多数情况下,电感工作在“线性区”,此时电感值为一常数,不随着端电压与电流而变化。但 是,开关电源存在一个不可忽视的问题,即电感的绕线将导致两个分布参数(或寄生参数),一个是不可避免的绕线电阻,另一个是与绕制工艺、材料有关的分布式 杂散电容。杂散电容在低频时影响不大,但随频率的提高而渐显出来,当频率高到某个值以上时,电感也许变成电容特性了。如果将杂散电容“集中”为一个电容, 则从电感的等效电路可以看出在某一频率后所呈现的电容特性。
当分析电感在线路中的工作状况或者绘制电压电流波形图时,不妨考虑下面几个特点:
1. 当电感L中有电流I流过时,电感储存的能量为:
E=0.5×L×I2 (1)
2. 在一个开关周期中,电感电流的变化(纹波电流峰峰值)与电感两端电压的关系为:
V=(L×di)/dt (2)
由此可看出,纹波电流的大小跟电感值有关。
3. 就像电容有充、放电电流一样,电感器也有充、放电电压过程。电容上的电压与电流的积分(安·秒)成正比,电感上的电流与电压的积分(伏·秒)成正比。只要电感电压变化,电流变化率di/dt也将变化;正向电压使电流线性上升,反向电压使电流线性下降。
计算出正确的电感值对选用合适的电感和输出电容以获得最小的输出电压纹波而言非常重要。流过开关电源电感器的电流由交流和直流两种分量组成,因为交流分量具有较高的频率,所以它会通过输出电容流入地,产生相应的输出纹波电压dv=di×RESR。这个纹波电压应尽可能低,以免影响电源系统的正常操作,一般要求峰峰值为10mV~500mV。
纹波电流的大小同样会影响电感器和输出电容的尺寸,纹波电流一般设定为最大输出电流的10%~30%,因此对降压型电源来说,流过电感的电流峰值比电源输出电流大5%~15%。
降压型开关电源的电感选择
为降压型开关电源选择电感器时,需要确定最大输入电压、输出电压、电源开关频率、最大纹波电流、占空比。下面以图2为例说明降压型开关电源电感值的计算,首先假设开关频率为300kHz、输入电压范围12V±10%、输出电流为1A、最大纹波电流300mA。
最大输入电压值为13.2V,对应的占空比为:
D=Vo/Vi=5/13.2=0.379 (3)
其中,Vo为输出电压、Vi为输出电压。当开关管导通时,电感器上的电压为:
V=Vi-Vo=8.2V (4)
当开关管关断时,电感器上的电压为:
V=-Vo-Vd=-5.3V (5)
dt=D/F (6)
把公式2/3/6代入公式2得出:

升压型开关电源的电感选择
对于升压型开关电源的电感值计算,除了占空比与电感电压的关系式有所改变外,其它过程跟降压型开关电源的计算方式一样。以图3为例进行计算,假设开关频率为 300kHz、输入电压范围5V±10%、输出电流为500mA、效率为80%,则最大纹波电流为450mA,对应的占空比为:
D=1-Vi/Vo=1-5.5/12=0.542 (7)
当开关管导通时,电感器上的电压为:
V=Vi=5.5V (8)
当开关管关断时,电感器上的电压为:
V=Vo+Vd-Vi=6.8V (9)
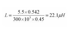
把公式6/7/8代入公式2得出:

请注意,升压电源与降压电源不同,前者的负载电流并不是一直由电感电流提供。当开关管导通时,电感电流经过开关管流入地,而负载电流由输出电容提供,因此输 出电容必须有足够大的储能容量来提供这一期间负载所需的电流。但在开关管关断期间,流经电感的电流除了提供给负载,还给输出电容充电。
一般而言,电感值变大,输出纹波会变小,但电源的动态响应也会相应变差,所以电感值的选取可以根据电路的具体应用要求来调整以达到最理想效果。开关频率的提高可以让电感值变小,从而让电感的物理尺寸变小,节省电路板空间,因此目前的开关电源有往高频发展的趋势,以适应电子产品的体积越来越小的要求。
电感为磁性元件,自然有磁饱和的问题。有的应用允许电感饱和,有的应用允许电感从一定电流值开始进入饱和, 也有的应用不允许电感出现饱和,这要求在具体线路中进行区分。大多数情况下,电感工作在“线性区”,此时电感值为一常数,不随着端电压与电流而变化。但 是,开关电源存在一个不可忽视的问题,即电感的绕线将导致两个分布参数(或寄生参数),一个是不可避免的绕线电阻,另一个是与绕制工艺、材料有关的分布式 杂散电容。杂散电容在低频时影响不大,但随频率的提高而渐显出来,当频率高到某个值以上时,电感也许变成电容特性了。如果将杂散电容“集中”为一个电容, 则从电感的等效电路可以看出在某一频率后所呈现的电容特性。
当分析电感在线路中的工作状况或者绘制电压电流波形图时,不妨考虑下面几个特点:
1. 当电感L中有电流I流过时,电感储存的能量为:
E=0.5×L×I2 (1)
2. 在一个开关周期中,电感电流的变化(纹波电流峰峰值)与电感两端电压的关系为:
V=(L×di)/dt (2)
由此可看出,纹波电流的大小跟电感值有关。
3. 就像电容有充、放电电流一样,电感器也有充、放电电压过程。电容上的电压与电流的积分(安·秒)成正比,电感上的电流与电压的积分(伏·秒)成正比。只要电感电压变化,电流变化率di/dt也将变化;正向电压使电流线性上升,反向电压使电流线性下降。
计算出正确的电感值对选用合适的电感和输出电容以获得最小的输出电压纹波而言非常重要。流过开关电源电感器的电流由交流和直流两种分量组成,因为交流分量具有较高的频率,所以它会通过输出电容流入地,产生相应的输出纹波电压dv=di×RESR。这个纹波电压应尽可能低,以免影响电源系统的正常操作,一般要求峰峰值为10mV~500mV。
纹波电流的大小同样会影响电感器和输出电容的尺寸,纹波电流一般设定为最大输出电流的10%~30%,因此对降压型电源来说,流过电感的电流峰值比电源输出电流大5%~15%。
降压型开关电源的电感选择
为降压型开关电源选择电感器时,需要确定最大输入电压、输出电压、电源开关频率、最大纹波电流、占空比。下面以图2为例说明降压型开关电源电感值的计算,首先假设开关频率为300kHz、输入电压范围12V±10%、输出电流为1A、最大纹波电流300mA。
最大输入电压值为13.2V,对应的占空比为:
D=Vo/Vi=5/13.2=0.379 (3)
其中,Vo为输出电压、Vi为输出电压。当开关管导通时,电感器上的电压为:
V=Vi-Vo=8.2V (4)
当开关管关断时,电感器上的电压为:
V=-Vo-Vd=-5.3V (5)
dt=D/F (6)
把公式2/3/6代入公式2得出:

升压型开关电源的电感选择
对于升压型开关电源的电感值计算,除了占空比与电感电压的关系式有所改变外,其它过程跟降压型开关电源的计算方式一样。以图3为例进行计算,假设开关频率为 300kHz、输入电压范围5V±10%、输出电流为500mA、效率为80%,则最大纹波电流为450mA,对应的占空比为:
D=1-Vi/Vo=1-5.5/12=0.542 (7)
当开关管导通时,电感器上的电压为:
V=Vi=5.5V (8)
当开关管关断时,电感器上的电压为:
V=Vo+Vd-Vi=6.8V (9)
把公式6/7/8代入公式2得出:

请注意,升压电源与降压电源不同,前者的负载电流并不是一直由电感电流提供。当开关管导通时,电感电流经过开关管流入地,而负载电流由输出电容提供,因此输 出电容必须有足够大的储能容量来提供这一期间负载所需的电流。但在开关管关断期间,流经电感的电流除了提供给负载,还给输出电容充电。
一般而言,电感值变大,输出纹波会变小,但电源的动态响应也会相应变差,所以电感值的选取可以根据电路的具体应用要求来调整以达到最理想效果。开关频率的提高可以让电感值变小,从而让电感的物理尺寸变小,节省电路板空间,因此目前的开关电源有往高频发展的趋势,以适应电子产品的体积越来越小的要求。
射频工程师养成培训教程套装,助您快速成为一名优秀射频工程师...
天线设计工程师培训课程套装,资深专家授课,让天线设计不再难...
上一篇:详解LED过流过压干扰防护措施
下一篇:上电复位电路的使用策略
射频和天线工程师培训课程详情>>

