- 易迪拓培训,专注于微波、射频、天线设计工程师的培养
浅谈电能质量电网谐波
录入:edatop.com 点击:
摘要:之前我们有接到客户说在用我们E8000电能质量分析仪,测量谐波电压总谐波畸变率是3.4%,问不知道是否属于正常范围
”我暂时不回答这个问题先,这里想跟大家浅谈一下关电网谐波。
谐波的定义
交流非正弦信号可以分解为不同频率的正弦分量的线性组合。当正弦波分量的频率与原交流信号的频率相同时,称为基波。谐波,狭义讲,是指电流中所含有的频率为基波的整数倍的电量,一般是指对周期性的非正弦电量进行傅里叶级数分解,其余大于基波频率的电流产生的电量。从广义上讲,由于交流电网有效分量为工频单一频率,因此任何与工频频率不同的成分都可以称之为谐波。当正弦波分量的频率是原交流信号的频率的非整数倍时,称为分数谐波,也称分数次谐波或间谐波。对于任意一复合周期振动函数y(T)按傅氏级数分解表示为:第一项称均值或直流分量,第二项为基波或基本振动,第三项称二次谐波,依此类推或把二次谐波以后的统称为高次谐波。

谐波的产生原因
在电力系统中,谐波产生的根本原因是由于非线性负载所致。主要非线性负载有UPS、开关电源、整流器、变频器、逆变器等。当电流流经负载时,与所加的电压不呈线性关系,就形成非正弦电流,即电路中有谐波产生。

谐波的相关术语及计算公式
1、谐波(分量)harmonic(component)
对周期性交流量进行付立叶级数分解得到频率为基波频率大于1 整数倍的分量。
2、谐波次数(h)harmonic order(h)
谐波频率与基波频率的整数比。
3、谐波含量(电压或电流)harmonic content (for voltage or current)
从周期性交流量中减去基波分量后所得的量。

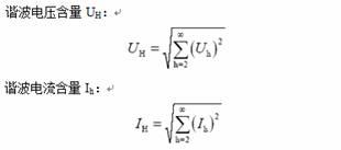
4、谐波含有率harmonic ratio(HR)
周期性交流量中含有的第h 次谐波分量的方均根值与基波分量的方均根值之比(用百分数表示),第h次谐波电压含有率以HRUh表示;第h次谐波电流含有率以HRIh表示。



5、总谐波畸变率total harmonic distortion(THD)
周期性交流量中的谐波含量的方均根值与其基波分量的方均根值之比(用百分数表示)。电压总谐波畸变率以THDu 表示;电流总谐波畸变率以THDi表示。

6、短时间谐波short duration harmonics
冲击持续的时间不超过2s,且两次冲击之间的间隔时间不小于30s的电流所含有的谐波及其引起的谐波电压。
国标谐波限值
《中华人民共和国国家标准GB/T 14549-1993》对公用电网谐波有着明确的限值规定。
1、公共电网谐波电压(相电压)限值
表1:公共电网谐波电压(相电压)

2、谐波电流允许值
公共联接点的全部用户向该点注入的谐波电流分量(方均根值)不应超过表2种规定的允许值。当公共联接点处的最小短路容量不同于基准短路容量时,表2中的谐波电流允许值的换算见附录B(补充件)。
表2:注入公共联接点的谐波电流允许值


注:220kV基准短路容量取2000MVA。
通过上文,想必也就不难回答客户询问的问题。客户的电网是10KV,测出来的电压总谐波畸变率3.4%,那么根据国标要求是小于4%,处于合格范围内。
谐波的定义
交流非正弦信号可以分解为不同频率的正弦分量的线性组合。当正弦波分量的频率与原交流信号的频率相同时,称为基波。谐波,狭义讲,是指电流中所含有的频率为基波的整数倍的电量,一般是指对周期性的非正弦电量进行傅里叶级数分解,其余大于基波频率的电流产生的电量。从广义上讲,由于交流电网有效分量为工频单一频率,因此任何与工频频率不同的成分都可以称之为谐波。当正弦波分量的频率是原交流信号的频率的非整数倍时,称为分数谐波,也称分数次谐波或间谐波。对于任意一复合周期振动函数y(T)按傅氏级数分解表示为:第一项称均值或直流分量,第二项为基波或基本振动,第三项称二次谐波,依此类推或把二次谐波以后的统称为高次谐波。

谐波的产生原因
在电力系统中,谐波产生的根本原因是由于非线性负载所致。主要非线性负载有UPS、开关电源、整流器、变频器、逆变器等。当电流流经负载时,与所加的电压不呈线性关系,就形成非正弦电流,即电路中有谐波产生。

谐波的相关术语及计算公式
1、谐波(分量)harmonic(component)
对周期性交流量进行付立叶级数分解得到频率为基波频率大于1 整数倍的分量。
2、谐波次数(h)harmonic order(h)
谐波频率与基波频率的整数比。
3、谐波含量(电压或电流)harmonic content (for voltage or current)
从周期性交流量中减去基波分量后所得的量。

4、谐波含有率harmonic ratio(HR)
周期性交流量中含有的第h 次谐波分量的方均根值与基波分量的方均根值之比(用百分数表示),第h次谐波电压含有率以HRUh表示;第h次谐波电流含有率以HRIh表示。



5、总谐波畸变率total harmonic distortion(THD)
周期性交流量中的谐波含量的方均根值与其基波分量的方均根值之比(用百分数表示)。电压总谐波畸变率以THDu 表示;电流总谐波畸变率以THDi表示。

6、短时间谐波short duration harmonics
冲击持续的时间不超过2s,且两次冲击之间的间隔时间不小于30s的电流所含有的谐波及其引起的谐波电压。
国标谐波限值
《中华人民共和国国家标准GB/T 14549-1993》对公用电网谐波有着明确的限值规定。
1、公共电网谐波电压(相电压)限值
表1:公共电网谐波电压(相电压)

2、谐波电流允许值
公共联接点的全部用户向该点注入的谐波电流分量(方均根值)不应超过表2种规定的允许值。当公共联接点处的最小短路容量不同于基准短路容量时,表2中的谐波电流允许值的换算见附录B(补充件)。
表2:注入公共联接点的谐波电流允许值


注:220kV基准短路容量取2000MVA。
通过上文,想必也就不难回答客户询问的问题。客户的电网是10KV,测出来的电压总谐波畸变率3.4%,那么根据国标要求是小于4%,处于合格范围内。
射频工程师养成培训教程套装,助您快速成为一名优秀射频工程师...
天线设计工程师培训课程套装,资深专家授课,让天线设计不再难...
上一篇:高频电子变压器及其发展方向
下一篇:直流稳压电源之一:整流电路
射频和天线工程师培训课程详情>>

